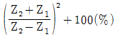
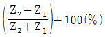
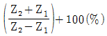
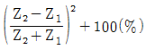
진동제진성능을 나타내는 파동에너지 반사율을 나타내는 수식으로 옳은 것은? (단, Z1, Z2는 각각 재료별 특성 임피던스이다.)
지금 시작하기 →

・・・ 문제은행 소음진동기사(구)(2017년 1회) 67번

소음진동기사(구) 2017년 03월 67번

진동제진성능을 나타내는 파동에너지 반사율을 나타내는 수식으로 옳은 것은? (단, Z1, Z2는 각각 재료별 특성 임피던스이다.)

1
2
3
4
단축키
이전 문제로 이동은 키를 누르고, 다음 문제로 이동은 키를 누르세요
이전 문제 , 다음 문제
문제(100)
13 음의 용어 및 성질에 관한 설명으로 옳지 않은 것은? 14 소음과 관련된 A와 B의 용어의 연결로 옳지 않은 것은? 15 진동에 관련된 표현과 그 단위(Unit)를 연결한 것으로 옳지 않은 것은? 16 각 주파수에 대한 공해진동의 신체적 영향으로 가장 거리가 먼 것은? 17 평균흡음율이 0.02인 방을 방음처리하여 평균흡음율을 0.27로 만들었다. 이 때 흡음으로 인한 감음량은 몇 dB인가? 18 다음 중 사람이 느끼는 최소 진동 역치 범위(dB)로 가장 적합한 것은? 19 항공기 소음을 소음계의 D특성으로 측정한 값이 104dB(D)였다. 이 때 감각소음레벨(PNL)은 대략 몇 PN dB인가? 20 중심주파수가 3550Hz인 경우 차단주파수 범위로 가장 알맞은 것은? (단, 1/3옥타브 필터(정비형) 기준) 21 방음벽 재료로 음향특성 및 구조강도 이외에 고려하여야 하는 사항으로 가장 거리가 먼 것은? 22 다음 표는 어떤 자재의 1/3 옥타브 대역으로 측정한 중심주파수별 흡음율이다. 감음계수(NRC)는 얼마인가? 23 흡음재료 선택 및 사용상의 유의점에 관한 설명으로 옳지 않은 것은? 24 자유공간에서 중심주파수 125Hz로부터 10dB이상의 소음을 차단할 수 있는 방음벽을 설계하고자 한다. 음원에서 수음점까지의 음의 회절경로와 직접경로 간의 경로차가 0.55m라면 중심주파수 125Hz에서의 Fresnel number는? (단, 음속은 340m/s)
25 산업기계에서 발생하는 유체역학적 원인인 기류음의 방지대책과 가장 거리가 먼 것은? 26 소형기계가 세 벽이 만나는 모서리에 놓여서 가동될 때, 음에너지 밀도는 공장 바닥 위에 놓여서 가동될 때와 비교하여 어떻게 변화되는가? 27 6m×4m×5m의 방이 있다. 이 방의 평균 흡음율이 0.2일 때 잔향시간(초)은? 28 음장입사 질량법칙이 만족되는 영역에서 면밀도 250kg/m2인 단일벽체에 1000Hz의 음이 벽면에 난입사 할 때, 이 벽체의 투과손실(dB)은? 29 다음 중 방음벽에 관한 설명으로 가장 거리가 먼 것은? 30 취출구 소음기의 직경이 100mm, 취출유속이 280m/sec에서 발생되는 주된 소음의 주파수는? 31 음향파워레벨이 일정한 기계가 실내에서 운전되고 있다. 실내 음향특성 등의 변화에 따른 실내소음의 변화특성으로 가장 적합한 것은? 32 팽창형 소음기의 입구 및 팽창부의 직경이 각각 55cm, 125cm일 때, 기대할 수 있는 최대투과손실(dB)은? 33 흡음에 관한 설명으로 옳지 않은 것은? 34 흡음덕트형 소음기의 최대 감음 주파수의 범위로 가장 적합한 것은? (단, 덕트 내경=0.5m, 음속=340m/s 기준) 35 부피 5500m3, 내부표적 1850m2인 공장의 평균흡음율이 0.28일 때 평균자유행로(WFP, m)는? 36 균질의 단일벽 두께를 20% 올리면 일치효과의 한계주파수는 어떻게 변화하겠는가? (단, 기타 조건은 일정함)
37 파이프 반경이 0.5m인 파이프 벽에서 전파되는 종파의 전파속도가 5326m/s인 경우 파이프의 링 주파수(Hz)는? 38 구멍 직경 9mm, 구멍 간의 상하좌우간격 22mm, 판두께 12mm인 다공판을 55mm의 배후공기층을 두고 설치할 경우 공명(흡음) 주파수(Hz)는? (단, 기온은 145℃ 이고, 구멍의 크기는 음의 파장에 비해 매우 작다.) 39 동일한 재료(면밀도 200kg/m2)로 구성된 공기층의 두께가 16cm인 중공이중벽이 있다. 500Hz에서 단일벽체의 투과손실이 46dB일 때, 중공이중벽의 저음역에서의 공명 주파수는 약 몇 Hz에서 발생되겠는가? (단, 음의 전파속도는 343m/s, 공기의 밀도는 1.2kg/cm3이다.) 40 용적 175m3, 표면적 150m2인 잔향실의 잔향시간은 4.5초이다. 만약 이 잔향시의 바닥에 12m2의 흡음재를 부착하여 측정한 잔향시간이 3.1초가 된다면 잔향실법에 의한 흡음재의 흡음율은? 41 철도진동 측정자료 평가표 서식에 반드시 기재되어야 하는 사항으로 거리가 먼 것은? 42 소음 측정기의 청감 보정회로를 C 특성에 놓고 측정한 결과치가 A특성에 놓고 측정한 결과치보다 클 경우 소음의 주된 음역은? 43 다음은 소음의 환경기준 측정방법 중 측정점에 관한 설명이다. ( )안에 알맞은 것은? 44 도로교통진동 측정자료 평가표 서식에 기재되어야 하는 사항으로 가장 거리가 먼 것은? 45 규제기준중 생활진동 측정시 진동레벨계의 감각보정 회로는 별도 규정이 없을 경우 어디에 고정하여 측정하여야 하는가? 46 도로교통소음을 측정하고자 할 때, 소음계의 동특성은 원칙적으로 어떤 모드로 측정하여야 하는가? 47 표준음 발생기의 용도로 가장 적합한 것은? 48 측정하고자 하는 소음도가 지시계기의 범위내에 있도록 하기 위한 감쇠기는?
49 표준진동 발생기(calibrator)의 발생진동의 오차는 얼마 이내(기준)이어야 하는가? 50 A공장에서 기계를 가동시켜 진동레벨을 측정한 결과 81dB이었고, 기계를 정지하고 진동레벨을 측정하니 74dB 이었다. 이 때 기계의 대상진동 레벨(dB)은? 51 다음은 배경진동을 보정하여 대상진동레벨로 하는 기준이다. ( )안에 알맞은 것은? 52 환경기준 중 소음측정 시 밤시간대(22:00~06:00) 측정소음도의 측정시간 간격 및 측정횟수 기준으로 옳은 것은? (단, 측정점은 낮시간대에 측정한 지점과 동일) 53 진동배출허용기준 측정 시 진동픽업의 설치장소로 부적당한 곳은? 54 진동레벨기록기를 사용하여 측정진동레벨을 측정할 때, 기록지상의 지시치가 불규칙적이고 대폭 변화하는 경우 도로교통진동 측정자료 분석에 사용되는 방법으로 옳은 것은? 55 소음계의 구조별 성능기준에 관한 설명으로 옳지 않은 것은? 56 규제기준 중 발파소음 측정방법에 대한 설명으로 옳지 않은 것은? 57 발파소음 측정자료 평가표 서식에 기록되어야 하는 사항으로 거리가 먼 것은? 58 진동레벨계의 성능에 관한 설명으로 옳지 않은 것은? 59 다음은 디지털 진동자동분석계를 사용할 경우 생활진동의 자료분석방법이다. ( )안에 알맞은 것은? 60 항공기소음을 측정하여 구한 1일 WECPNL이 다음과 같을 때 7일간 WECPNL은?
61 다음 방진대책 중 가진력 저감의 예로 적절치 않은 것은? 62 2개의 같은 스프링으로 탄성지지한 기계에서 스프링을 빼낸 후 4개의 지지점에 균등하게 탄성지지하여 고유진동수를 1/4로 낮추고자 할 때 1개의 스프링 정수는 어떻게 되어야 하는가? 63 아래 그림 진동계의 고유 진동수는? 64 아래 그림과 같이 진동계가 강제 진동을 하고 있으며, 그 진폭 X일 때, 기초에 전달되는 최대힘은? 65 진동방지계획 수립 시 다음 보기 중 일반적으로 가장 먼저 이루어지는 것은? 66 질량 400kg인 물체가 4개의 지지점 위에서 평탄진동할 때 정적수축 1cm의 스프링으로 이계를 탄성지지하여 90%의 절연율을 얻고자 한다면 최저 강제진동수(Hz)는? (단, 감쇠비는 0임) 67 진동제진성능을 나타내는 파동에너지 반사율을 나타내는 수식으로 옳은 것은? (단, Z1, Z2는 각각 재료별 특성 임피던스이다.) 68 기계를 방진하기 위해서 사용되는 금속 스프링의 장점과 거리가 먼 것은? 69 그림과 같은 1 자유도계 진동계가 있다. 이계가 수직방향 X(t)으로 진동하는 경우 이 진동계의 운동방정식으로 옳은 것은? (단, k=스프링정수, c=감쇠계수, f(t)=외부가진력) 70 다음 질량-스프링 계의 운동 방정식을 옳게 나타낸 것은? (단, 질량 m은 3kg, 개별 스프링 정수 k=10N/m, 감쇠는 무시한다.) 71 고유진동수에 대한 강제진동수의 비가 2일 때, 진동전달율 T는? 72 진동수 25Hz, 파형의 전진폭이 0.0002m/s인 정현진동의 진동가속도레벨(dB)은? (단, 기준 10-5 m/s2)
73 정현파 진동에서 진동가속도의 실효치와 최대치 사이의 관계식으로 옳은 것은? 74 그림과 같이 질량 m인 물체가 외팔보의 자유단에 달려있을 때 계의 진동의 고유진동수를 구하는 식으로 옳은 것은? (단, 보의 무게는 무시, 보의 길이는 L, 강성계수 E, 면적관성모멘트 I) 75 어떤 질점의 운동변위가 x=7sin(12πt-π/3)cm로 표시될 때 가속도의 최대치 (m/s2)는? 76 고무절연기 위에 설치된 기계가 1500rpm에서 22.5%의 전단율을 가질 때 평형상태에서 절연기의 정적처짐(㎝)은? 77 점성감쇠 강제진동의 진폭이 최대가 되기 위해서 진동수의 비는 어떤 식으로 표시되는가? (단, ξ = 감쇠비) 78 2개의 조화우동 X1 = 9coswt, X2 = 12sinwt를 합성하면 진폭(㎝)은 얼마인가? (단, 진폭의 단위는 ㎝으로 한다.) 79 무게 10N인 물체가 스프링정수 15n/㎝인 스프링에 매달려 있다고 한다. 이 계의 고유각진동수 (Wn rad/s)는? 80 기계의 중량이 50N인 왕복동 압축기가 있다. 분당 회전수가 6000이고, 상하 방향 불평형력이 6N이며, 기초는 콘크리트 재질로써 탄성지지 되어 있으나, 진동전달력이 2N이었다면 진동계의 고유진동수(Nz)는? 81 소음진동관리법규상 시·도지사가 법에 의하여 상시측정한 소음·진동에 관한 자료를 환경부장관에게 제출하여야 하는 기간기준으로 옳은 것은? 82 소음진동관리법상 용어의 뜻으로 옳지 않은 것은? 83 소음진동관리법령상 소음·진동 배출시설의 설치신고 또는 설치허가대상에서 제외되는 지역과 가장 거리가 먼 것은? (단, 기타의 경우는 고려않음) 84 소음진동관리법령상 항공기소음영향도 (WECPNL) 기준으로 옳은 것은?
85 소음진동관리법규상 특정공사의 사전신고대상 기계·장비의 종류에 해당하지 않는 것은? 86 소음진동관리법규상 과태료 부과기준으로 옳지 않은 것은? 87 소음진동관리법규상 운행차 정기검사대행자의 기술능력기준에 해당하지 않는 자격소지자는? 88 소음진동관리법규상 철도진동의 관리기준으로 옳은 것은? (단, 상업지역, 야간(22;00~06:00)) 89 소음진동관리법상 환경부장관은 인증시험대행기관이 다른 사람에게 자신의 명의로 인증시험을 하게 하는 행위를 한 경우에는 그 지정을 취소하거나 기간을 정하여 업무의 전부나 일부의 정지를 명할 수 있는데, 이 때 명할 수 있는 업무정지 기간은? 90 소음진동관리법규상 도시지역 중 일반공업지역 및 전용공업지역의 낮시간 공장소음 배출허용 기준은 70dB(A) 이하이다. 충격음이 있는 경우의 기준은?(오류 신고가 접수된 문제입니다. 반드시 정답과 해설을 확인하시기 바랍니다.) 91 소음진동관리법령상 운행차 소음허용기준으로 정하고 있는 항목으로 옳은 것은? 92 소음진동관리법규상 소음지도의 작성기간의 시작일은 소음지도 작성계획의 고시 후 얼마 경과한 날로 하는가? 93 소음진동관리법상 거짓의 소음도표지를 붙인자에 대한 벌칙기준은? 94 다음 중 환경정책기본법령상 소음환경기준이 가장 낮은 지역은? 95 소음진동관리법규상 방진시설로 보기 어려운 것은? 96 소음진동관리법규상 환경부령이 정하는 특정공사의 기준으로 옳지 않은 것은? (단, 규정된 기계·장비를 5일 이상 사용 하는 공사임)
App Store Google Play
오늘학습 예시 이미지

시험에 합격하려면
복습을 제대로 해야 합니다.

오늘학습은 스스로 기억을 떠올리고 계획적으로 복습할 수 있도록 설계돼 있어요.
그것도, 가장 과학적인 방식으로요!

능동적 회상

능동적 회상
(Active Recall)

배운 내용을 단순 읽으며 반복하는 것이 아니라,
능동적으로 기억하고 있는지를
스스로 테스트하며
공부할 수 있는
학습 환경을 제공해 학습 효과를 높여요

간격 반복 학습

간격 반복 학습
(Spaced Repetition)

에빙하우스 망각곡선을 바탕으로
가장 최적의 시점에 복습을 제공하여
배운 내용이 잊히지 않도록 장기 기억화해요

Data 기반의
뇌과학적 복습 시스템

학습 결과 Data를 분석해, 문제별 최적화된
반복 학습량을
자동으로 분배해요.
학습에 소요되는 시간을 최소화하는
동시에
단기 기억을 장기 기억으로 전환해줘요.

36만 개 이상의
기출문제 무료 제공

공무원 및 약 300여종의 자격증 시험 기출문제
36만개
이상을 무료로 이용할 수 있어요.
여러 앱을 설치할 필요
없이, 오늘학습 하나로
모든 시험을 준비할 수 있어요.

다양한 문제 유형으로 만드는
나만의 단어장&문제집

기출 외에도 외워야 하는 내용은
객관식, 주관식, 카드, 빈칸
등 다양한 형식으로
직접 만들어 보세요. 내 학습 스타일에
맞게
나만의 단어장과 문제집을 만들 수 있어요.

시험별 체계적인
문제 관리

시험에 문제를 추가해 체계적으로
관리할 수 있어요.
주제나 단원별로
분류하고 싶다면,
시험에 챕터를 만들어
문제를 추가할 수도 있어요.

수십만 명이
오늘학습을 사랑합니다

앱 스토어 평점 4.9
구글 플레이 평점 4.8
누적 회원수 100,000+
지금 오늘학습을
시작해보세요
지금 시작하기
문제 선택