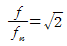
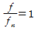
외부에서 가해지는 강제진동수 f와 계의 고유진동수 fn의 비(Ratio) 관계에서 전달력과 외력이 같은 경우는?
지금 시작하기 →

・・・ 문제은행 소음진동기사(구)(2020년 2회) 17번

소음진동기사(구) 2020년 09월 17번

외부에서 가해지는 강제진동수 f와 계의 고유진동수 fn의 비(Ratio) 관계에서 전달력과 외력이 같은 경우는?

1
2
3
4
단축키
이전 문제로 이동은 키를 누르고, 다음 문제로 이동은 키를 누르세요
이전 문제 , 다음 문제
문제(100)
13 음장의 종류 중 음원의 직접음과 벽에 의한 반사음이 중첩되는 구역을 무엇이라고 하는가? 14 청력에 관한 내용으로 옳지 않은 것은? 15 1자유도 진동계의 고유진동수 fn을 나타낸 식으로 옳지 않은 것은? (단, ωn: 고유각진동수, m: 질량, k: 스프링정수, W: 중량, g: 중력가속도이다.) 16 EPNL은 어떤 종류의 소음을 평가하기 위한 지표인가? 17 외부에서 가해지는 강제진동수 f와 계의 고유진동수 fn의 비(Ratio) 관계에서 전달력과 외력이 같은 경우는? 18 인체의 청각기관에 관한 설명 중 거리가 먼 것은? 19 지향계수가 2.5이면 지향지수는? 20 A공장 내 소음원에 대하여 소음도를 측정한 결과 각각 L1=88dB, L2=96dB, L3=100dB이었다. 이 소음원을 동시에 가동시킬 때의 합성 소음도는? 21 가로, 세로, 높이가 각각 6m×5m×3m인 방의 흡음률이 바닥 0.1, 천장 0.2 벽 0.15이다. 이 방의 천장 및 벽을 흡음처리하여 그 흡음률을 각각 0.73, 0.62로 개선할 때의 실내소음 저감량은 약 몇 dB인가? 22 동일 백색잡음을 주파수 분석할 경우 1/1옥타브밴드 중심주파수 1000Hz의 음압레벨은 1/3옥타브밴드 중심주파수 250Hz의 음압레벨보다 몇 dB 높겠는가? 23 겨울철에 빌딩의 창문 또는 출입문의 틈새에서 강한 소음이 발생한다. 소음발생의 주요인은? 24 다음 중 고체음에 대한 방지대책으로 거리가 먼 것은?
25 감음계수에 관한 설명으로 옳은 것은? 26 다음 중 방음벽에 의한 소음감쇠량의 대부분을 차지하는 것은? 27 차음과 차음재료의 선정 및 사용상 유의점에 대한 설명으로 가장 거리가 먼 것은? 28 평균흡음률 0.04인 실내의 평균음압레벨을 85dB에서 80dB로 낮추기 위해서는 평균흡음률을 약 얼마로 해야 하는가? 29 입구 및 팽창부의 직경이 각각 50cm, 120cm인 팽창형 소음기에 의해 기대할 수 있는 대략적인 최대투과손실치는 약 몇 dB인가? (단, 대상주파수는 한계주파수보다 작다. (f<fc범위이다.)) 30 가로, 세로, 높이가 3m, 5m, 2m인 방의 평균흡음률이 0.2일 때 실정수는 약 몇 m2인가? 31 단일 벽의 일치효과에 관한 설명 중 옳지 않은 것은? 32 방음겉씌우개(lagging)에 관한 설명으로 옳지 않은 것은? 33 흡음재료의 선택 및 사용상 유의점으로 거리가 먼 것은? 34 공장의 벽체가 다음 표와 같이 구성되어 있다. 벽체의 통합 투과 손실은 약 몇 dB인가? 35 동일한 재료(면밀도 200kg/m2)로 구성된 공기층의 두께가 16cm인 중공이중벽이 있다. 500Hz에서 단일벽체의 투과손실이 46dB일 때, 중공이중벽의 저음역에서의 공명주파수는 약 몇 Hz에서 발생되겠는가? (단, 음의 전파속도는 343m/s, 공기의 밀도는 1.2kg/m3이다.) 36 공장소음을 방지하기 위해서 공장 건설시 고려해야 할 사항으로 가장 거리가 먼 것은?
37 표면적이 20m2이고, PWLs 110dB인 소음원을 파장에 비해 큰 방음상자로 밀폐하였다. 방음상자의 표면적은 120m2이고, 방음상자 내의 평균흡음률이 0.6일 때 방음상자 내의 고주파 음압레벨은 약 몇 dB인가? 38 파워레벨이 77dB인 기계가 4대, 75dB인 기계 1대가 동시에 가동할 때 파워레벨의 합은 몇 dB인가? 39 단일벽의 차음특성 커브에서 질량제어영역의 기울기 특성으로 옳은 것은? 40 팽창형 소음기의 특성이 아닌 것은? 41 규제기준 중 발파진동 측정 시 디지털 진동자동분석계를 사용할 때의 샘플주기는 얼마로 놓는가? (단, 측정진동레벨 분석이다.) 42 다음은 소음의 배출허용기준 측정 시 측정지점수 선정기준에 관한 설명이다. ( )안에 알맞은 것은? 43 규정에도 불구하고 규제기준 중 생활소음 측정 시 피해가 우려되는 곳의 부지경계선보다 3층 거실에서 소음도가 더 클 경우 측정점은 거실창문 밖의 몇 m 떨어진 지점으로 해야 하는 것이 가장 적합한가? 44 다음은 철도진동관리기준 측정방법 중 분석절차에 관한 기준이다. ( ㉠ )안에 알맞은 것은? 45 소음계의 구성부분 중 진동레벨계의 진동픽업에 해당되는 것은? 46 동일건물 내 사업장 소음을 측정하였다. 1지점에서의 측정치가 각각 70dB(A), 75dB(A), 2지점에서의 측정치가 각각 75dB(A), 79dB(A)로 측정되었을 때, 이 사업장의 측정소음도는? 47 다음은 레벨레인지 변환기에 대한 설명이다. ( )안에 알맞은 것은? 48 환경기준 중 소음측정방법에 따라 소음을 측정할 때 밤 시간대(22:00~06:00)에는 낮 시간대에 측정한 측정지점에서 몇 시간 간격으로 몇 회 이상 측정하여 산술평균한 값을 측정소음도로 하는가?
61 다음 방진재료에 대한 설명으로 가장 거리가 먼 것은? 62 회전속도가 1200rpm인 원심팬이 있다. 방진스프링으로 탄성지지를 시켰더니 1cm의 정적처짐이 발생하였다. 이 때 진동전달률은 약 몇 %인가? (단, 스프링의 감쇠는 무시한다.) 63 진동방지대책을 세우고자 한다. 다음 중 일반적으로 가장 먼저 해야 할 것은? 64 다음 중 내부 감쇠계수가 가장 큰 지반의 종류는? 65 무게 W인 물체가 스프링 상수 k인 스프링에 의해 지지되어 있을 때 운동 방정식은 다음과 같다. 여기서 고유진동수[Hz]를 나타내는 식으로 옳은 것은? 66 정현진동의 가속도 최대진폭이 3×10-2m/s2일 때, 진동가속도 레벨(VAL)은 약 몇 dB인가? (단, 기준은 10-5m/s2이다.) 67 어떤 질점의 운동변위가 아래와 같을 때 최대속도를 구하면 약 몇 cm/s인가? 68 진동발생이 크지 않은 공장기계의 대표적인 지반진동 차단 구조물은 개방식 방진구이다. 이러한 방지구의 설계 시 다음 중 가장 중요한 인자는? 69 쇠로된 금속관 사이의 접속부에 고무를 넣어 진동 절연하고자 한다. 파동에너지 반사율이 95%가 되면, 전달되는 진동의 감쇠량은 대략 몇 dB가 되는가? 70 현장에서 계의 고유 진동수를 간단히 알 수 있는 방법은 질량 m인 물체를 탄성지지체에 올려 놓고 처짐량 δst를 측정하는 것이다. 고유진동수(fn)를 구하는 식으로 옳은 것은? 71 금속 스프링을 이용하여 방진지지 할 때, 로킹(Rocking)이 일어나지 않도록 하기 위한 조치로 가장 거리가 먼 것은? 72 금속관의 플랜지부에 고무를 부착하여 제진하려고 한다. 금속관의 특성임피던스는 40×106kg/m2·s, 고무의 특성 임피던스 4×106kg/m2·s이라고 할 때, 진동감쇠량은 약 몇 dB인가?(오류 신고가 접수된 문제입니다. 반드시 정답과 해설을 확인하시기 바랍니다.)
85 환경정책기본법령상 국가 및 지방자치단체가 환경기준이 적절히 유지되도록 환경에 관한 법령의 제정과 행정계획의 수립 또는 사업을 집행할 경우에 고려하여야 할 사항과 가장 거리가 먼 것은? 86 소음·진동관리법령상 공사장 방음시설 설치기준으로 옳지 않은 것은? 87 소음·진동관리법령상에서 사용하는 용어의 뜻으로 옳지 않은 것은? 88 소음·진동관리법령상 소음발생건설기계 소음도 검사기관의 지정기준 중 시설 및 장비기준으로 옳지 않은 것은? 89 소음·진동관리법령상 항공기 소음의 한도기준에 관한 설명으로 옳은 것은? 90 소음·진동관리법령상 진동배출시설에 해당하는 것은? (단, 동력을 사용하는 시설 및 기계·기구로 한정한다.) 91 소음·진동관리법령상 행정처분기준에 관한 사항으로 옳지 않은 것은? 92 소음·진동관리법령상 자동차 사용정지표지에 관한 설명으로 옳은 것은? 93 소음·진동관리법령상 녹지지역의 주간시간대의 철도소음의 관리(한도)기준은? 94 소음·진동관리법령상 소음발생건설기계의 종류에 해당하지 않는 것은? 95 다음은 소음·진동관리법령상 상시 측정자료의 제출에 관한 사항이다. ( )안에 가장 적합한 것은? 96 다음은 소음·진동관리법령상 자동차제작자의 권리·의무승계신고에 관한 사항이다. ( )안에 알맞은 것은?
App Store Google Play
오늘학습 예시 이미지

시험에 합격하려면
복습을 제대로 해야 합니다.

오늘학습은 스스로 기억을 떠올리고 계획적으로 복습할 수 있도록 설계돼 있어요.
그것도, 가장 과학적인 방식으로요!

능동적 회상

능동적 회상
(Active Recall)

배운 내용을 단순 읽으며 반복하는 것이 아니라,
능동적으로 기억하고 있는지를
스스로 테스트하며
공부할 수 있는
학습 환경을 제공해 학습 효과를 높여요

간격 반복 학습

간격 반복 학습
(Spaced Repetition)

에빙하우스 망각곡선을 바탕으로
가장 최적의 시점에 복습을 제공하여
배운 내용이 잊히지 않도록 장기 기억화해요

Data 기반의
뇌과학적 복습 시스템

학습 결과 Data를 분석해, 문제별 최적화된
반복 학습량을
자동으로 분배해요.
학습에 소요되는 시간을 최소화하는
동시에
단기 기억을 장기 기억으로 전환해줘요.

36만 개 이상의
기출문제 무료 제공

공무원 및 약 300여종의 자격증 시험 기출문제
36만개
이상을 무료로 이용할 수 있어요.
여러 앱을 설치할 필요
없이, 오늘학습 하나로
모든 시험을 준비할 수 있어요.

다양한 문제 유형으로 만드는
나만의 단어장&문제집

기출 외에도 외워야 하는 내용은
객관식, 주관식, 카드, 빈칸
등 다양한 형식으로
직접 만들어 보세요. 내 학습 스타일에
맞게
나만의 단어장과 문제집을 만들 수 있어요.

시험별 체계적인
문제 관리

시험에 문제를 추가해 체계적으로
관리할 수 있어요.
주제나 단원별로
분류하고 싶다면,
시험에 챕터를 만들어
문제를 추가할 수도 있어요.

수십만 명이
오늘학습을 사랑합니다

앱 스토어 평점 4.9
구글 플레이 평점 4.8
누적 회원수 100,000+
지금 오늘학습을
시작해보세요
지금 시작하기
문제 선택