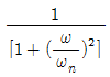
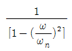
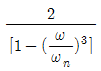
진동절연의 문제에서 전달률을 사용하는데 여기서 말하는 전달률을 바르게 표시한 것은? (단, ω: 가진력의 각진동수, ωn: 계의 고유각진동수이다.)
지금 시작하기 →

・・・ 문제은행 소음진동기사(구)(2021년 1회) 71번

소음진동기사(구) 2021년 05월 71번

진동절연의 문제에서 전달률을 사용하는데 여기서 말하는 전달률을 바르게 표시한 것은? (단, ω: 가진력의 각진동수, ωn: 계의 고유각진동수이다.)

1
2
3
4
단축키
이전 문제로 이동은 키를 누르고, 다음 문제로 이동은 키를 누르세요
이전 문제 , 다음 문제
문제(100)
25 밀도가 150kg/m3이고 두께가 5mm인 합판을 벽체로부터 50mm의 공기층을 두고 설치할 경우 판 진동에 의한 흡음 주파수는 약 몇 Hz인가? (단, 공기밀도는 1.2kg/m3, 기온은 20℃이다.) 26 실내의 평균 흡음률을 구하는 방법으로 틀린 것은? 27 실정수가 126m2인 방에 음향파워레벨이 123dB인 음원이 있을 때 실내(확산음장)의 평균음압레벨은 몇 dB인가? (단, 음원은 전체 내면의 반사율이 아주 큰 잔향실 기준이다.) 28 방음대책의 방법에서 전파경로 대책에 대한 설명으로 틀린 것은? 29 방음벽 설치 시 유의점으로 가장 거리가 먼 것은? 30 다음 발파소음 감소대책으로 가장 거리가 먼 것은? 31 기류음에 대한 방지대책으로 적절하지 않은 것은? 32 구멍직경 8mm, 구멍 간의 상하좌우 간격 20mm, 두께 10mm인 다공판을 45mm의 공기층을 두고 설치할 경우 공명주파수는 약 몇 Hz인가? (단, 음속은 340m/s이다.) 33 음이 수직 입사할 때 이 벽체의 반사율은 0.45이었다. 이 때의 투과손실(TL)은 약 몇 dB인가? (단, 경계면에서 음이 흡수되지 않는다고 가정한다.) 34 다음 중 옥외에 있는 소음원에 대한 소음방지 대책으로 가장 적절하지 않은 것은? 35 다음 중 흡음 덕트형 소음기에서 최대 감음 주파수의 범위로 가장 적합한 것은? (단, λ: 대상음 파장, D: 덕트 내경이다.) 36 그림과 같은 방음벽에서 직접음의 회절 감쇠치가 12dB(A), 반사음의 회절 감쇠치가 15dB(A), 투과 손실치가 16dB(A)이다. 직접음과 반사음을 모두 고려한 이 방음벽의 회절 감쇠치는 약 몇 dB(A)인가?
37 정격 유속(rated flow)조건하에서 측정하는 것을 제외하고는 소음원에 소음기를 부착하기 전과 후의 공간상의 어떤 특정위치에서 측정한 음압레벨의 차와 그 측정위치로 정의되는 소음기의 성능표시는? 38 방음상자의 설계 시 검토해야할 사항과 거리가 먼 것은? 39 목(neck)과 공동(cavity)으로 구성된 헬름홀츠(Helmholtz) 공명기를 진동계의 스프링-질량-댐퍼 시스템과 등가시켰을 때, 질량과 관련 있는 인자로 옳게 나타낸 것은? (단, 목의 음향저항은 무시하며, 목 단면적: S, 목의 길이: L, 목의 유효길이: Le, 공동의 단면적: A, 공동의 높이: H, 공기의 밀도: ρ이다.) 40 면적 S1, S2에서 투과율이 각각 γ1, γ2의 2부분으로 되어 있는 벽의 총합투과손실(TL)을 아래와 같이 나타낼 때, 투과손실 20dB의 창 10m2와 투과손실 30dB의 벽부분 100m2인 벽의 총투과 손실은 약 몇 dB인가? 41 도로교통소음한도 측정방법에서 디지털 소음자동분석계를 사용할 경우 측정자료 분석방법으로 옳은 것은? 42 진동 측정기기 중 지시계기의 눈금오차는 얼마 이내이어야 하는가? 43 소음ㆍ진동공정시험기준상 공장소음 측정자료 평가표 서식의 측정기기란에 기재되어야 할 항목으로 거리가 먼 것은? 44 철도소음관리기준 측정 시 측정자료의 분석에 관한 설명이다. ( )안에 들어갈 내용으로 옳은 것은? 45 다음 중 진동레벨계의 구조별 성능기준으로 가장 거리가 먼 것은? 46 규제기준 중 발파소음 측정방법에 대한 설명으로 틀린 것은? 47 소음의 환경기준 측정방법 중 도로변지역의 범위(기준)로 옳은 것은? 48 등가소음도에 대한 설명으로 옳은 것은?
61 공해진동의 범위에서 인체의 진동에 대한 감각도를 나타낸 등감각곡선에서 수직진동을 가장 잘 느끼는 주파수의 범위는? 62 공기 스프링의 특징에 대한 설명으로 옳은 것은? 63 다음 그림과 같은 계에서 X1=3cos4t 일 때 X의 정상상태 진폭이 2였다. 스프링 상수 K 값은? 64 방진대책은 발생원, 전파경로, 수진측 대책으로 분류된다. 모터 구동 세탁기에는 일반적으로 수평조절용 장치가 하부에 설치되어 있다. 이는 무슨 대책에 해당하는가? 65 매분 600회전으로 돌고 있는 차축의 정적 불균형력은 그림에서 반경 0.1m의 원주상을 1kg의 질량이 회전하고 있는 것에 상당한다고 할 때 등가가진력의 최대치는 약 몇 N인가? 66 다음은 자동차 방진에 관한 용어 설명이다. ( )안에 가장 적합한 것은? 67 방진대책을 발생원, 전파경로, 수진측 대책으로 분류할 때 다음 중 발생원 대책과 거리가 먼 것은? 68 기계에서 발생하는 불평형력은 회전 및 왕복운동에 의한 관성력, 모멘트에 의해 발생한다. 회전운도에 의해서 발생되는 원심력 F의 공식으로 옳은 것은? (단, 불평형 질량은 m, 불평형 질량의 운동반경은 γ, 각진동수는 ω이다.) 69 진동의 원인이 되는 가진력 중 주로 질량불평형에 의한 가진력으로 진동이 발생하는 것은? 70 특성 임피던스가 32×106kg/m2ㆍs인 금속관 플랜지의 접속부에 특성 임피던스가 3×104kg/m2ㆍs인 고무를 넣어 진동 절연할 때 진동감쇠량은 약 몇 dB인가? 71 진동절연의 문제에서 전달률을 사용하는데 여기서 말하는 전달률을 바르게 표시한 것은? (단, ω: 가진력의 각진동수, ωn: 계의 고유각진동수이다.) 72 기계를 스프링으로 지지하여 고체음을 저하시켜 소음을 줄이고자 한다. 강제진동수가 40Hz인 경우 스프링의 정적 수축량은 약 몇 cm인가? (단, 감쇠비는 0이고, 진동전달률은 0.3이다.)
73 외부에서 가해지는 강제진동수를 f, 계의 고유진동수를 fn이라 할 때 전달력이 외력보다 항상 큰 경우는? 74 전기모터가 기계장치를 구동시키고 계는 고무깔개 위에 설치되어 있으며, 고무깔개는 0.4cm의 정적처짐을 나타내고 있다. 고무깔개의 감쇠비(ζ)는 0.22, 진동수비(η)는 3.3이라면 기초에 대한 힘의 전달률은? 75 서징(surging)에 관한 설명으로 옳은 것은? 76 의 운동방정식을 만족시키는 진동이 일어나고 있을 때 고유 각진동수는? 77 4개의 같은 스프링으로 탄성 지지한 기계에서 스프링을 빼낸 후 8개의 지점에 균등하게 탄성 지지하여 고유진동수를 1/2로 낮추고자 할 때 1개의 스프링 정수는 어떻게 변화되어야 하는가? 78 방진에 사용하는 금속 스프링의 장점이 아닌 것은? 79 무게 500N인 기계를 4개의 스프링으로 탄성 지지한 결과 스프링의 정적수축량이 2.5cm였다. 이 스프링의 스프링 정수는 몇 N/mm인가? 80 임계감쇠(critically damped)란 감쇠비(ζ)가 어떤 값을 가질 때인가? 81 소음ㆍ진동관리법령상 규제기준을 초과하여 생활소음ㆍ진동을 발생시킨 사업자에게 작업시간의 조정 등을 명령 하였으나, 이를 위반한 경우 벌칙기준으로 옳은 것은? 82 소음ㆍ진동관리법령상 공사장 방음시설 설치 기준으로 틀린 것은? 83 소음ㆍ진동관리법령상 교통소음 관리기준 중 농림지역의 도로교통소음한도기준(LeqdB(A))으로 옳은 것은? (단, 주간(06:00~22:00)기준이다.) 84 소음ㆍ진동관리법령상 시장ㆍ군수ㆍ구청장이 배출시설 및 방지시설의 가동상태를 점검하기 위하여 소음ㆍ진동검사를 의뢰할 수 있는 기관이 아닌 것은?
85 환경정책기본법령상 도로변지역 밤시간대의 소음환경기준(Leq dB(A))으로 옳은 것은? (단, 적용대상지역은 주거지역 중 전용주거지역이며, 시간은 법령기준에 의한 밤시간대로 한다.) 86 소음ㆍ진동관리법령상 운행차 정기검사의 방법ㆍ기준 및 대상항목 중 소음도 측정기준에 관한 사항으로 옳지 않은 것은? 87 소음ㆍ진동관리법령상 전기를 주동력으로 사용하는 자동차에 대한 종류는 무엇에 의해 구분하는가? 88 소음ㆍ진동관리법령상 환경기술인 환경부장관이 교육을 실시할 능력이 있다고 인정하여 지정하는 기관 등에서 받아야 하는 교육의 기간 기준은 3년마다 한 차례 이상 며칠 이내인가? (단, 정보통신매체를 이용한 원격교육은 제외한다.) 89 소음ㆍ진동관리법령상 자동차 종류 범위기준에 관한 설명으로 옳지 않은 것은? (단, 2015년 12월 8일 이후 제작되는 자동차 기준이다.) 90 다음은 소음ㆍ진동관리법령상 항공기 소음의 관리에 관한 사항이다. ( )안에 알맞은 것은? 91 소음ㆍ진동관리법령상 운행자동차 중 경자동차의 배기소음허용기준은? (단, 2006년 1월 1일 이후에 제작되는 자동차이다.) 92 다음은 소음ㆍ진동관리법령상 환경기술인을 두어야 할 사업장 및 그 자격기준이다. ( )안에 알맞은 것은? 93 소음ㆍ진동관리법령상 소음배출시설 기준으로 옳지 않은 것은? (단, 동력기준시설과 대수기준시설을 제외한 그 밖의 시설 및 기계ㆍ기구 기준이다.) 94 소음ㆍ진동관리법령상 배출시설과 방지시설을 정상적으로 운영ㆍ관리하기 위한 환경기술인을 임명하지 아니한 자에 대한 벌칙(또는 과태료)기준으로 옳은 것은? 95 소음ㆍ진동관리법령상 시ㆍ도지사가 매년 환경부장관에게 제출하는 소음ㆍ진동 관리시책의 추진상황에 관한 연차 보고서에 포함되어야 하는 내용으로 가장 거리가 먼 것은? 96 소음ㆍ진동관리법령상 시장ㆍ군수 등이 환경부령으로 정하는 바에 따라 자동차 소유자에게 운행차 개선명령을 하려는 경우, 그 기간기준에 관한 사항이다. ( )안에 알맞은 것은?
App Store Google Play
오늘학습 예시 이미지

시험에 합격하려면
복습을 제대로 해야 합니다.

오늘학습은 스스로 기억을 떠올리고 계획적으로 복습할 수 있도록 설계돼 있어요.
그것도, 가장 과학적인 방식으로요!

능동적 회상

능동적 회상
(Active Recall)

배운 내용을 단순 읽으며 반복하는 것이 아니라,
능동적으로 기억하고 있는지를
스스로 테스트하며
공부할 수 있는
학습 환경을 제공해 학습 효과를 높여요

간격 반복 학습

간격 반복 학습
(Spaced Repetition)

에빙하우스 망각곡선을 바탕으로
가장 최적의 시점에 복습을 제공하여
배운 내용이 잊히지 않도록 장기 기억화해요

Data 기반의
뇌과학적 복습 시스템

학습 결과 Data를 분석해, 문제별 최적화된
반복 학습량을
자동으로 분배해요.
학습에 소요되는 시간을 최소화하는
동시에
단기 기억을 장기 기억으로 전환해줘요.

36만 개 이상의
기출문제 무료 제공

공무원 및 약 300여종의 자격증 시험 기출문제
36만개
이상을 무료로 이용할 수 있어요.
여러 앱을 설치할 필요
없이, 오늘학습 하나로
모든 시험을 준비할 수 있어요.

다양한 문제 유형으로 만드는
나만의 단어장&문제집

기출 외에도 외워야 하는 내용은
객관식, 주관식, 카드, 빈칸
등 다양한 형식으로
직접 만들어 보세요. 내 학습 스타일에
맞게
나만의 단어장과 문제집을 만들 수 있어요.

시험별 체계적인
문제 관리

시험에 문제를 추가해 체계적으로
관리할 수 있어요.
주제나 단원별로
분류하고 싶다면,
시험에 챕터를 만들어
문제를 추가할 수도 있어요.

수십만 명이
오늘학습을 사랑합니다

앱 스토어 평점 4.9
구글 플레이 평점 4.8
누적 회원수 100,000+
지금 오늘학습을
시작해보세요
지금 시작하기
문제 선택