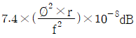
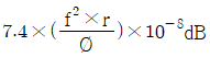
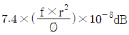
기상조건에서 공기흡음에 의해 일어나는 감쇠치를 나타낸 식으로 옳은 것은? (단, f:옥타브밴드별 중심주파수(Hz), r:음원과 관측점 사이의 거리(m), φ:상대습도(%)이다.)
지금 시작하기 →

・・・ 문제은행 소음진동산업기사(2020년) 12번

소음진동산업기사 2020년 06월 12번

기상조건에서 공기흡음에 의해 일어나는 감쇠치를 나타낸 식으로 옳은 것은? (단, f:옥타브밴드별 중심주파수(Hz), r:음원과 관측점 사이의 거리(m), φ:상대습도(%)이다.)

1
2
3
4
단축키
이전 문제로 이동은 키를 누르고, 다음 문제로 이동은 키를 누르세요
이전 문제 , 다음 문제
문제(80)
1 음의 굴절에 관한 설명으로 가장 거리가 먼 것은? 2 잔향시간은 흡음율과 건물의 용적, 건물 내의 표면적과 관게가 있다. 그 관계를 올바르게 표현한 것은? (단, T:잔향시간, V:용적, S:표면적, :평균 흡음율이다.) 3 청각기관의 역할에 관한 설명으로 틀린 것은? 4 음량이론 중 인간은 두 귀를 가지고 있기 때문에 다수의 음원이 공간적으로 배치되어 있을 경우, 각각의 음원을 공간적으로 따로따로 분리하여 듣고 특정인의 말을 알아듣는 것이 용이하다는 것과 관련된 것은? 5 120 sones 음은 몇 폰(phons)인가? 6 선음원으로부터 3m 거리에서 음압레벨이 96dB로 특정되었다면 41m에서의 음압레벨은 약 얼마인가? 7 음의 구분과 청력에 관한 설명으로 옳지 않은 것은? 8 인체의 진동감각에 관한 설명으로 옳지 않은 것은? 9 구면으로 방사하는 출력, 2.4W의 작은 음원이 있다. 이 음원에서 20m 떨어진 곳에서의 음압레벨은 약 얼마인가? (단, 자유공간이다.) 10 일단개구관과 양단개구관의 공명음 주파수(f) 산출식을 올바르게 나열된 것은? (단, L:길이, C:공기 중의 음속이다.) 11 항공기 소음에 관한 설명으로 옳지 않은 것은? 12 기상조건에서 공기흡음에 의해 일어나는 감쇠치를 나타낸 식으로 옳은 것은? (단, f:옥타브밴드별 중심주파수(Hz), r:음원과 관측점 사이의 거리(m), φ:상대습도(%)이다.)
37 표준음 발생기의 발생음의 오차범위기준으로 적합한 것은? 38 배출허용기준 중 소음측정방법에 관한 사항으로 옳지 않은 것은? 39 배출허용기준 중 공장소음을 측정을 하고자한다. 측정지점에 높이가 1.5m를 초과하는 장애물이 있는 경우에는 장애물로부터 소음원 방향으로 얼마 떨어진 곳에서 측정하여야 하는가? 40 진동픽업의 횡감도는 규정주파수에서 수감축감도에 대한 차이가 얼마 이상이어야 하는가? (단, 연직특성이다.) 41 다음 중 판진동에 의한 소음을 방지하기 위하여 진동판에 제진대책을 행한 후 흡음재료를 놓고, 다시 그 위에 차음재(구속층)를 놓는 방음대책을 무엇이라고 하는가? 42 저음역에서 중공이중벽에 관한 설명으로 옳지 않은 것은? 43 음압레벨이 88dB(음원으로부터 1m이격지점)인 점음원으로부터 30m 이격된 지점에서 소음으로 인한 문제가 발생되어 방음벽을 설치하였다. 방음벽에 의한 회정감쇠치가 10dB 이고, 방음벽의 투과손실이 16dB 이라면 수음점에서의 음압레벨은 약 몇 dB인가? 44 날개수가 10개이고 3000rpm으로 회전하는 송풍기가 있다. 이 송풍기에서 발생하는 날개 통과 주파수는 몇 Hz인가? 45 진동발생이 그리 크지 않은 공장기게의 대표적인 지반진동 차단구조물은 개방식 방진구이다. 이러한 방진구의 가장 중요한 설계인자는? 46 실의 길이가 0.5m인 단진자의 주기는 몇 초인가? (단, 중력가속도는 9.8m/s2)이다. 47 헬름홀쯔(Helmholtz) 공명기의 공명주파수(Hz)를 나타낸 식으로 옳은 것은? (단, C:소음기내의 음속(m/s), A:목의 단면적(m2), l:목의 유효길이(m), V:공동의 부피(m3)이다.) 48 스프링에 의해 지지도니 비감쇠 강제진동계에서 강제진동수 및 고유진동수가 30Hz 및 3Hz라면 스프링에 의한 절연율은 약 몇 %인가?
49 실정수 400m2인 실내 중앙의 바닥위에 설치되어 있는 기계의 파워레벨이 100dB이다. 반확산음장법을 이용하여 기계로부터 10m 실내 한 점의 음압레벨은 약 몇 dB인가? 50 임계감쇠계수 Cc의 표현식으로 옳은 것은? (단, 감쇠비=1, 질량=m, 스프링정수=k이다.) 51 수직입사 흡음율 측정방법으로 A시료의 흡음성능을 측정하였다. 1kHz 순음의 정재파비(n)가 1.5라면 이 흡음재의 흡음율은? 52 5m×5m×5m인 잔향시간은 5.5초이다. 만약 이 실의 바닥에 5m2의 흡음재를 부착하여 잔향시간이 3.2초로 되었다면 이 흡음재의 흡음율은? 53 무게가 120N인 기계를 방진고무 위에 올려 놓았더니 0.8cm가 수축되었다. 방진고무의 동적배율이 1.2라면 방진고무의 동적 스프링 정수는 몇 N/cm인가? 54 불균형 질량 2kg이 반지름 0.3m의 원주상을 300rpm으로 회전하는 경우 가진력의 최대값은 약 몇 N인가? 55 방음벽에 관한 설명으로 옳지 않은 것은? 56 공기스프링에 관한 설명으로 가장 거리가 먼 것은? 57 각 소음기에 관한 설명으로 옳지 않은 것은? 58 다음 흡음재료 중 주요 흡음영역이 저음역대인 것은? 59 교실의 단일벽 면밀도가 200kg/m2이었다. 여기에 100Hz 순음이 입사할 때의 단일벽의 투과손실은 약 몇 dB인가? (단, 음파는 벽면에 난입사한다.) 60 방진고무의 정적 스프링 정수 Ks를 나타낸 식으로 옳은 것은? (단, W:하중, △E:처짐량이다.)
61 소음ㆍ진동관리법령상 소음발생 건설기계의 소음도 표지에 관한 기준으로 거리가 먼 것은? 62 소음ㆍ진동관리법형상 생활소음 규제기준 중 주거지역의 공사장 소음규제기준은 공휴일에만 규제기준치에 보정한다. 다음 중 그 보정치로 옳은 것은? 63 소음ㆍ진동관리법령상 배출허용기준에 맞는지를 확인하기 위하여 소음진동 배출시설과 방지시설에 대하여 검사할 수 있도록 지정된 기관이라 볼 수 없는 것은? 64 소음ㆍ진동관리법령상 벌칙기준 중 6개월 이하의 징역 또는 500만원 이하의 벌금에 처하는 경우가 아닌 것은? 65 소음ㆍ진동관리법령상 교통소음ㆍ진동의 관리(규제)기준을 적용받는 지역 중 학교, 병원, 공공도서관의 경우는 부지경계선으로부터 몇 미터 이내 지역을 기준으로 하는가? 66 소음ㆍ진동관리법령상 도시지역 중 일반주거지역의 저녁(18:00~24:00) 시간대의 공장소음 배출허용기준으로 옳은 것은? 67 소음ㆍ진동관리법령상 200만원 이하의 과태료 부과기준에 해당하는 위법행위가 아닌 것은? 68 다음은 소음ㆍ진동관리법령상 폭야갸의 사용으로 인한 소음ㆍ진동의 방지에 관한 사항이다. ()에 가장 적합한 것은? 69 소음ㆍ진동관리법령상 자연환경보전지역 중 수산자원보호구역내에 있는 공장의 밤시간대 공장진동 배출허용기준은? 70 소음ㆍ진동관리법령상 제작차에 대한 인증을 면제할 수 있는 자동차에해당하지 않는 것은? 71 소음ㆍ진동관리법령상 환경기술인이 환경보전협회 등에서 실시하는 교육을 받아야 하는 교육기관 기준은? (단, 정보통신매체를 이용하여 원격교육을 실시하는 경우는 제외한다.) 72 소음ㆍ진동관리법령상 측정망설치계획의 고시에 관한 설명으로 거리가 먼 것은?
App Store Google Play
오늘학습 예시 이미지

시험에 합격하려면
복습을 제대로 해야 합니다.

오늘학습은 스스로 기억을 떠올리고 계획적으로 복습할 수 있도록 설계돼 있어요.
그것도, 가장 과학적인 방식으로요!

능동적 회상

능동적 회상
(Active Recall)

배운 내용을 단순 읽으며 반복하는 것이 아니라,
능동적으로 기억하고 있는지를
스스로 테스트하며
공부할 수 있는
학습 환경을 제공해 학습 효과를 높여요

간격 반복 학습

간격 반복 학습
(Spaced Repetition)

에빙하우스 망각곡선을 바탕으로
가장 최적의 시점에 복습을 제공하여
배운 내용이 잊히지 않도록 장기 기억화해요

Data 기반의
뇌과학적 복습 시스템

학습 결과 Data를 분석해, 문제별 최적화된
반복 학습량을
자동으로 분배해요.
학습에 소요되는 시간을 최소화하는
동시에
단기 기억을 장기 기억으로 전환해줘요.

36만 개 이상의
기출문제 무료 제공

공무원 및 약 300여종의 자격증 시험 기출문제
36만개
이상을 무료로 이용할 수 있어요.
여러 앱을 설치할 필요
없이, 오늘학습 하나로
모든 시험을 준비할 수 있어요.

다양한 문제 유형으로 만드는
나만의 단어장&문제집

기출 외에도 외워야 하는 내용은
객관식, 주관식, 카드, 빈칸
등 다양한 형식으로
직접 만들어 보세요. 내 학습 스타일에
맞게
나만의 단어장과 문제집을 만들 수 있어요.

시험별 체계적인
문제 관리

시험에 문제를 추가해 체계적으로
관리할 수 있어요.
주제나 단원별로
분류하고 싶다면,
시험에 챕터를 만들어
문제를 추가할 수도 있어요.

수십만 명이
오늘학습을 사랑합니다

앱 스토어 평점 4.9
구글 플레이 평점 4.8
누적 회원수 100,000+
지금 오늘학습을
시작해보세요
지금 시작하기
문제 선택