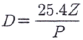
스퍼 기어에서 Z는 잇수(개)이고, P가 지름피치(인치)일 때 피치원 지름(D, mm)를 구하는 공식은?
지금 시작하기 →

・・・ 문제은행 컴퓨터응용선반기능사(2014년 2회) 10번

컴퓨터응용선반기능사 2014년 04월 10번

스퍼 기어에서 Z는 잇수(개)이고, P가 지름피치(인치)일 때 피치원 지름(D, mm)를 구하는 공식은?

1
2
3
4
단축키
이전 문제로 이동은 키를 누르고, 다음 문제로 이동은 키를 누르세요
이전 문제 , 다음 문제
문제(60)
37 밀링 머신에서 테이블의 이송속도를 나타내는 식은?(단, F:테이블 이송속도(mm/min), Fz:커너 칼 1개마다의 이송(mm), z:커터의 날수, n:커터의 회전수(rpm)) 38 래핑 가공에 대한 설명으로 옳지 않은 것은? 39 연삭기의 연삭 방식 중 외경 연삭의 방법에 해당하지 않는 것은? 40 선반의 종류 중 볼트, 작은 나사 등을 능률적으로 가공하기 위하여 보통 선반의 심압대 대신에 회전공구대를 설치하여 여러 가지 절삭공구를 공정에 맞게 설치한 선반은? 41 다음 가공물의 테이퍼 값은 얼마인가? 42 다음 중 정밀입자에 의하여 가공하는 기계는? 43 다음은 CNC 프로그램의 일부분이다. 여기에서 L4가 의미하는 것으로 가장 올바른 것은? 44 ø50mm SM20C 재질의 가공물을 CNC 선반에서 작업할 때 절삭속도가 80m/min이라면, 적절한 스핀들의 회전수는 약 얼마인가? 45 다음 중 드릴가공에서 휴지기능을 이용하여 바닥면을 다듬질하는 기능은? 46 다음 중 CNC 선반 프로그래밍에서 소수점을 사용할 수 있는 어드레스로 구성된 것은? 47 근래에 생산되는 대형 정밀 CNC 고속가공기에 주로 사용되며 모터에서 속도를 검출하고, 테이블에 리니어 스케일을 부착하여 위치를 피드백 하는 서보기구 방식은? 48 다음 중 CNC 공작기계의 점검시 매일 실시하여야 하는 사항과 가장 거리가 먼 것은?
App Store Google Play
오늘학습 예시 이미지

시험에 합격하려면
복습을 제대로 해야 합니다.

오늘학습은 스스로 기억을 떠올리고 계획적으로 복습할 수 있도록 설계돼 있어요.
그것도, 가장 과학적인 방식으로요!

능동적 회상

능동적 회상
(Active Recall)

배운 내용을 단순 읽으며 반복하는 것이 아니라,
능동적으로 기억하고 있는지를
스스로 테스트하며
공부할 수 있는
학습 환경을 제공해 학습 효과를 높여요

간격 반복 학습

간격 반복 학습
(Spaced Repetition)

에빙하우스 망각곡선을 바탕으로
가장 최적의 시점에 복습을 제공하여
배운 내용이 잊히지 않도록 장기 기억화해요

Data 기반의
뇌과학적 복습 시스템

학습 결과 Data를 분석해, 문제별 최적화된
반복 학습량을
자동으로 분배해요.
학습에 소요되는 시간을 최소화하는
동시에
단기 기억을 장기 기억으로 전환해줘요.

36만 개 이상의
기출문제 무료 제공

공무원 및 약 300여종의 자격증 시험 기출문제
36만개
이상을 무료로 이용할 수 있어요.
여러 앱을 설치할 필요
없이, 오늘학습 하나로
모든 시험을 준비할 수 있어요.

다양한 문제 유형으로 만드는
나만의 단어장&문제집

기출 외에도 외워야 하는 내용은
객관식, 주관식, 카드, 빈칸
등 다양한 형식으로
직접 만들어 보세요. 내 학습 스타일에
맞게
나만의 단어장과 문제집을 만들 수 있어요.

시험별 체계적인
문제 관리

시험에 문제를 추가해 체계적으로
관리할 수 있어요.
주제나 단원별로
분류하고 싶다면,
시험에 챕터를 만들어
문제를 추가할 수도 있어요.

수십만 명이
오늘학습을 사랑합니다

앱 스토어 평점 4.9
구글 플레이 평점 4.8
누적 회원수 100,000+
지금 오늘학습을
시작해보세요
지금 시작하기
문제 선택