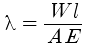
다음 중 후크의 법칙에서 늘어난 길이를 구하는 공식은? (단, λ:변형량, W:인장하중, A:단면적, E:탄성계수, ι:길이 이다.)(문제 오류 입니다. 여기서는 가(1)번을 정답 처리 합니다. 라번의 보기와 가번의 보기가 중복되어 있네요. 추후 수정하여 두겠습니다.)
지금 시작하기 →

・・・ 문제은행 전산응용기계제도기능사(2012년 3회) 9번

전산응용기계제도기능사 2012년 07월 9번

다음 중 후크의 법칙에서 늘어난 길이를 구하는 공식은? (단, λ:변형량, W:인장하중, A:단면적, E:탄성계수, ι:길이 이다.)(문제 오류 입니다. 여기서는 가(1)번을 정답 처리 합니다. 라번의 보기와 가번의 보기가 중복되어 있네요. 추후 수정하여 두겠습니다.)

1
2
3
4
단축키
이전 문제로 이동은 키를 누르고, 다음 문제로 이동은 키를 누르세요
이전 문제 , 다음 문제
문제(60)
1 탄소 공구강의 구비 조건으로 틀린 것은? 2 인장강도가 255~340MPa로 Ca-Si나 Fe-Si 등의 접종제로 접종 처리한 것으로 바탕조직은 펄라이트이며 내마멸성이 요구되는 공작기계의 안내면이나 강도를 요하는 기관의 실린더 등에 사용되는 주철은? 3 원자기호와 비중과의 관계가 옳은 것은? (단, 비중은 20℃, 무산소동이다.) 4 황동은 어떤 원소의 2원 합금인가? 5 담금질 응력제거, 치수의 경년변화 방지, 내마모성 향상 등을 목적으로 100~200℃에서 마텐자이트 조직을 얻도록 조작을 하는 열처리 방법은? 6 강재의 KS 규격 기호 중 틀린 것은? 7 복합 재료 중에서 섬유 강화재료에 속하지 않는 것은?(문제 오류로 실제 시험장에서는 모두 정답처리 되었습니다. 처음 발표 당시 라번으로 정답이 발표되었습니다. 여기서는 라번을 정답 처리 합니다.) 8 볼트를 결합시킬 때 너트를 2회전하면 축 방향으로 10㎜, 나사산 수는 4산이 진행한다. 이와 같은 나사의 조건은? 9 다음 중 후크의 법칙에서 늘어난 길이를 구하는 공식은? (단, λ:변형량, W:인장하중, A:단면적, E:탄성계수, ι:길이 이다.)(문제 오류 입니다. 여기서는 가(1)번을 정답 처리 합니다. 라번의 보기와 가번의 보기가 중복되어 있네요. 추후 수정하여 두겠습니다.) 10 기어, 풀리, 커플링 등의 회전체를 축에 고정시켜서 회전운동을 전달시키는 기계요소는? 11 코일스프링의 전체 평균직경이 50㎜, 소선의 직경이 6㎜일 때 스프링 지수는 약 얼마인가? 12 직선운동을 회전운동으로 변환하거나, 회전운동을 직선운동으로 변환하는데 사용되는 기어는?
App Store Google Play
오늘학습 예시 이미지

시험에 합격하려면
복습을 제대로 해야 합니다.

오늘학습은 스스로 기억을 떠올리고 계획적으로 복습할 수 있도록 설계돼 있어요.
그것도, 가장 과학적인 방식으로요!

능동적 회상

능동적 회상
(Active Recall)

배운 내용을 단순 읽으며 반복하는 것이 아니라,
능동적으로 기억하고 있는지를
스스로 테스트하며
공부할 수 있는
학습 환경을 제공해 학습 효과를 높여요

간격 반복 학습

간격 반복 학습
(Spaced Repetition)

에빙하우스 망각곡선을 바탕으로
가장 최적의 시점에 복습을 제공하여
배운 내용이 잊히지 않도록 장기 기억화해요

Data 기반의
뇌과학적 복습 시스템

학습 결과 Data를 분석해, 문제별 최적화된
반복 학습량을
자동으로 분배해요.
학습에 소요되는 시간을 최소화하는
동시에
단기 기억을 장기 기억으로 전환해줘요.

36만 개 이상의
기출문제 무료 제공

공무원 및 약 300여종의 자격증 시험 기출문제
36만개
이상을 무료로 이용할 수 있어요.
여러 앱을 설치할 필요
없이, 오늘학습 하나로
모든 시험을 준비할 수 있어요.

다양한 문제 유형으로 만드는
나만의 단어장&문제집

기출 외에도 외워야 하는 내용은
객관식, 주관식, 카드, 빈칸
등 다양한 형식으로
직접 만들어 보세요. 내 학습 스타일에
맞게
나만의 단어장과 문제집을 만들 수 있어요.

시험별 체계적인
문제 관리

시험에 문제를 추가해 체계적으로
관리할 수 있어요.
주제나 단원별로
분류하고 싶다면,
시험에 챕터를 만들어
문제를 추가할 수도 있어요.

수십만 명이
오늘학습을 사랑합니다

앱 스토어 평점 4.9
구글 플레이 평점 4.8
누적 회원수 100,000+
지금 오늘학습을
시작해보세요
지금 시작하기
문제 선택