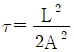
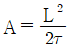
클로소이드의 공식으로 옳지 않은 것은? (단, R : 곡선반지름, L : 곡선길이, A : 매개변수, τ : 접선각)
지금 시작하기 →

・・・ 문제은행 측량및지형공간정보기사(2021년 1회) 26번

측량및지형공간정보기사 2021년 03월 26번

클로소이드의 공식으로 옳지 않은 것은? (단, R : 곡선반지름, L : 곡선길이, A : 매개변수, τ : 접선각)

1
2
3
4
단축키
이전 문제로 이동은 키를 누르고, 다음 문제로 이동은 키를 누르세요
이전 문제 , 다음 문제
문제(100)
1 국제 횡 메르카토르 좌표계(UTM좌표계)에 대한 설명으로 옳지 않은 것은? 2 지구의 자전축 기울기가 바뀌게 되는 현상으로 춘분점이 황도를 따라 매년 약 50″씩 서쪽으로 이동하게 되는 것은? 3 GNSS 측량에 대한 설명으로 옳지 않은 것은? 4 GPS 위성으로부터 전송되는 L1 신호의 주파수가 1575.42MHz 일 때 L1 신호 10000파장의 거리는? (단, 광속 c = 299792458 m/s) 5 GPS 오차원인 중 L1신호와 L2신호의 굴절 비율이 상이함을 이용하여 L1/L2의 선형 조합을 통해 보정이 가능한 것은? 6 평면측량에서 허용 오차를 10-6로 한다면, 반지름 몇 km 까지의 범위를 평면으로 간주할 수 있는가? (단, 지구 반지름은 6370km로 가정) 7 우리나라의 직각좌표계에서 사용하고 있는 지도 투영법은? 8 GNSS 측량시 시계오차가 소거된 3차원 위치 결정을 위해 필요로 하는 최소 위성의 수? 9 위성전파가 장해물로 인해 차폐되는 등의 이유로 위상측정이 중단되어 발생하는 오차를 무엇이라 하는가? 10 다음 중 측지학에서 다루는 분야가 가장 거리가 먼 것은? 11 어느 지점의 자침 편각이 W 6.5°이고 복각은 N 57° 일 때 설명으로 옳은 것은? 12 구면삼각형 ABC의 3각을 관측한 결과 ∠A = 50° 10′, ∠B = 66° 35′, ∠C = 64° 15′ 이었다면 이 구면삼각형의 면적은? (단, 구의 반지름은 5m 이다.)
25 실제의 면적 4km2인 토지가 지형도에서 면적 25cm2 로 표시되었다면 지형도의 축척은? 26 클로소이드의 공식으로 옳지 않은 것은? (단, R : 곡선반지름, L : 곡선길이, A : 매개변수, τ : 접선각) 27 깊이 100m, 지름 5m 인 수직터널에서 터널 내외를 연결하는데 가장 적합한 방법은? 28 단곡선 설치시 곡선반지름 R=350m, 교각 I=70° 일 때 접선길이(T.L.)는? 29 하나의 터널을 완성하기 위해서는 계획, 설계, 시공 등의 작업과정을 거쳐야 하는데 다음 중 터널 외 기준점 설치 후 터널의 시공과정 중에 이루어지는 측량은? 30 단곡선 설치 시 그림과 같이 교각(I) 관측이 어려워 ∠AA′B′, ∠BB′A′을 측정한 값이 140° 40′ 과 98° 20′ 이었다면 교각(I)은? 31 그림과 같이 터널 단면의 좌표(x, y)를 측정하였을 때 이 좌표에 의한 터널의 내공단면적은? (단, 단위 : m) 32 종단곡선을 설치하기 위하여 상향기울기 와 하향기울기 가 반지름 2000m 의 원곡선 중에서 만날 경우에 곡선시점에서 20m 떨어져 있는 지점의 종거 y 값은? 33 그림과 같은 지역에서 절토량과 성토량이 균형을 이루는 표고는? (단, 각 격자의 크기는 동일하다.) 34 노선측량의 순서로 옳은 것은? 35 수심이 H인 하천에서 수면으로부터 0.2H, 0.4H, 0.6H, 0.8H의 지점의 유속이 각각 0.58m/s, 0.57m/s, 0.51m/s, 0.36m/s 였다면 3점법에 의한 평균 유속은? 36 하천측량에 있어서 심천측량을 실시하는 단계는?
37 지하시설물의 관측방법으로 원래는 누수를 찾기 위한 기술로 PVC 또는 플라스틱 관 등과 같은 비금속 수도관로를 찾는데 주로 이용되는 방법은? 38 100m2 정사각형 토지의 면적을 0.2m2 까지 정확하기 구하기 위해서는 1변의 길이를 최대 몇 cm 까지 정확하게 관측하여야 하는가? 39 토량계산에 있어 양단면의 차가 심할 때 산출된 토량의 일반적인 대소 관계로 옳은 것은? (단, 양단면 평균법을 A, 중앙단면법을 B, 각주공식을 C로 한다.) 40 지상 및 지하시설물 등에 대한 지도 및 도면 등 제반 정보를 수치 입력하여 효율적으로 운영 관리하는 종합적인 관리체계를 무엇이라 하는가? 41 절대표정(absolute orientation)에 최소 기준점의 구성으로 옳은 것은? 42 항공삼각측량에 대한 설명으로 옳은 것은? 43 사진기 검정자료(calibration cerificate)로부터 직접 얻을 수 없는 정보는? 44 60%의 종중복도로 촬영된 5장의 연속된 항공사진에서 가운데(3번째) 사진에 나타나는 종접합점의 최대 개수는? 45 공액조건에 대한 설명으로 옳지 않은 것은? 46 수치항공사진 또는 위성영상을 집성(mosaic)할 때 인접 부분을 이어붙인 자국이 없이 원래 한 장의 사진이었던 것처럼 부드럽고 미려하게 처리하는 작업은? 47 촬영시 사진기의 경사, 지표면의 비고를 수정하였을 뿐만 아니라 등고선이 삽입된 사진지도는? 48 상호표점 인자로 옳게 짝지어진 것은?
49 원격탐사를 위한 정지궤도위성의 고도는? 50 연직사진의 경우 사진좌표계(x, y)와 지상좌표계(X, Y)가 그림과 같이 구성되었다. 지상좌표를 사진자표계로 변환하기 위한 3차원 회전행렬로 옳은 것은? 51 주점거리가 160mm인 사진기로 비고 640m 지점의 대상물을 1:12000의 사진축척으로 촬영한 연직사진이 있다면 촬영고도는? 52 영상을 분석하여 아래와 같은 통계값을 얻을 수 있는 수계의 트레이닝 필드로 적합한 것은? 53 원격탐사(remote sensing)의 정의로 가장 적합한 것은? 54 사진측량에서 Z좌표(높이)의 정확도를 높이는 방법과 거리가 먼 것은? 55 동서 20km, 남북 10km의 장방형 지역을 촬영한 1개 모형의 피복면적이 20km2 라면 필요한 사진의 수는? (단, 안전율은 30% 이다.) 56 2차원 쿼드트리(quadtree)에 대한 설명으로 옳지 않은 것은? 57 디지털사진측량 또는 원격탐사 자료의 처리 중 이용 가능한 영상자료의 재배열(resampling) 방법이 아닌 것은? 58 파장의 특정 방향성분만을 통과시키는 광학원리를 이용하여 입체시를 하는 방법은? 59 원격탐사에 사용되는 센서 중 수동형 센서(passive sensor)에 해당되는 것은? 60 평탄한 지면을 초점거리 150mm, 사진크기 23cm×23cm 로 촬영한 연직항공사진이 있다. 촬영고도 1800m, 종중복도 60%로 촬영한 경우, 연속된 10매의 사진에서 입체시 가능한 부분의 실제면적(모델면적)은?
73 규칙적인 셀(cell)의 격자에 의하여 형상을 묘사하는 자료구조는? 74 다음 수계망을 Strahler방법으로 계산하면 O으로 표시되는 부분의 합류 후 하천은 몇 차수인가? (단, 물의 흐름은 화살표방향으로 흐른다.) 75 수치표고모형(DEM) 자료를 이용하여 제작할 수 있는 산출물이 아닌 것은? 76 구축한 지리정보시스템(GIS) 데이터의 품질을 검사하기 위해서는 데이터를 샘플링 하여야 한다. 모집단을 보다 동질적인 몇 개의 층으로 나누고 이러한 각층으로부터 단순 무작위 표본 추출을 하는 방법은? 77 위성영상의 전반에 걸쳐 불규칙한 잡음(speckle noise)이 발생하여 이를 보정하고자 할 때, 다음 중 가장 적합한 방법은? 78 위성영상의 해상도에 대한 설명으로 틀린 것은? 79 지리정보시스템(GIS)의 자료구조에 대한 설명으로 틀린 것은? 80 화재나 응급 시 소방차나 구급차의 운전경로 또는 항공기의 운항경로 등의 최적경로를 결정하는데 가장 적합한 공간분석방법은? 81 그림과 같이 사력댐을 건설하고자 한다. 사력댐 상단(진한 선)의 높이가 100m 이고, 기울기는 상·하류방향 모두 1:1 이라고 할 때, 대략적인 성토범위로 가장 적절히 표시된 것은? 82 방위각이 166° 29′ 45″ 이라면 의 역방위각은? 83 동일 조건으로 기선측정을 하여 다음과 같은 결과를 얻었을 때 최확값은? 84 축척 1:25000 지형도 상에서 두 점간의 도상거리가 10cm이었다. 이 두 점의 거리가 도상 25cm로 표현되는 지형도의 축척은?
App Store Google Play
오늘학습 예시 이미지

시험에 합격하려면
복습을 제대로 해야 합니다.

오늘학습은 스스로 기억을 떠올리고 계획적으로 복습할 수 있도록 설계돼 있어요.
그것도, 가장 과학적인 방식으로요!

능동적 회상

능동적 회상
(Active Recall)

배운 내용을 단순 읽으며 반복하는 것이 아니라,
능동적으로 기억하고 있는지를
스스로 테스트하며
공부할 수 있는
학습 환경을 제공해 학습 효과를 높여요

간격 반복 학습

간격 반복 학습
(Spaced Repetition)

에빙하우스 망각곡선을 바탕으로
가장 최적의 시점에 복습을 제공하여
배운 내용이 잊히지 않도록 장기 기억화해요

Data 기반의
뇌과학적 복습 시스템

학습 결과 Data를 분석해, 문제별 최적화된
반복 학습량을
자동으로 분배해요.
학습에 소요되는 시간을 최소화하는
동시에
단기 기억을 장기 기억으로 전환해줘요.

36만 개 이상의
기출문제 무료 제공

공무원 및 약 300여종의 자격증 시험 기출문제
36만개
이상을 무료로 이용할 수 있어요.
여러 앱을 설치할 필요
없이, 오늘학습 하나로
모든 시험을 준비할 수 있어요.

다양한 문제 유형으로 만드는
나만의 단어장&문제집

기출 외에도 외워야 하는 내용은
객관식, 주관식, 카드, 빈칸
등 다양한 형식으로
직접 만들어 보세요. 내 학습 스타일에
맞게
나만의 단어장과 문제집을 만들 수 있어요.

시험별 체계적인
문제 관리

시험에 문제를 추가해 체계적으로
관리할 수 있어요.
주제나 단원별로
분류하고 싶다면,
시험에 챕터를 만들어
문제를 추가할 수도 있어요.

수십만 명이
오늘학습을 사랑합니다

앱 스토어 평점 4.9
구글 플레이 평점 4.8
누적 회원수 100,000+
지금 오늘학습을
시작해보세요
지금 시작하기
문제 선택