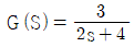
밸브, 센서, 공정의 전달함수가 각각 Gv(s) = Gm(s) = 1, 인 공정시스템에 비례제어기로 피드백 제어계를 구성할 때, 성취될 수 있는 폐회로(closed-loop) 전달함수는?
지금 시작하기 →

・・・ 문제은행 화공기사(2022년 1회) 64번

화공기사 2022년 03월 64번

밸브, 센서, 공정의 전달함수가 각각 Gv(s) = Gm(s) = 1, 인 공정시스템에 비례제어기로 피드백 제어계를 구성할 때, 성취될 수 있는 폐회로(closed-loop) 전달함수는?

1
2
3
4
단축키
이전 문제로 이동은 키를 누르고, 다음 문제로 이동은 키를 누르세요
이전 문제 , 다음 문제
문제(80)
13 격막식 전해조에서 전해액은 양극에 도입되어 격막을 통해 음극으로 흐르고, 음극실의 OH- 이온이 역류한다. 이 때 격막실 전해조 양극의 재료는? 14 천연고무와 가장 관계가 깊은 것은? 15 아래와 같은 특성을 가지고 있는 연료전지는? 16 HCl 가스를 합성할 때 H2 가스를 이론량보다 과잉으로 넣어 반응시키는 이유로 가장 거리가 먼 것은? 17 황산의 원료인 아황산가스를 황화철광(iron pyrite)을 공기로 완전 연소하여 얻고자 한다. 황화철광의 10%가 불순물이라 할 때 황화철광 1톤을 완전연소 하는데 필요한 이론 공기량(Sm3)은? (단, S와 Fe의 원자량은 각각 32amu와 56amu이다.) 18 석회질소 비료 제조 시 반응되고 남은 카바이드는 수분과 반응하여 아세틸렌 가스를 생성한다. 1kg 석회질소 비료에서 아세틸렌 가스가 200L 발생하였을 때, 비료 중 카바이드의 함량(wt%)은? (단, Ca의 원자량은 40amu이고, 아세틸렌 가스의 부피 측정은 20℃, 760 mmHg에서 진행하였다.) 19 p형 반도체를 제조하기 위해 실리콘에 소량 첨가하는 물질은? 20 syndiotactic polystyrene의 합성에 관여하는 촉매로 가장 적합한 것은? 21 화학반응의 평형상수(K)에 관한 내용 중 틀린 것은? (단, ai, νi는 각각 i 성분의 활동도와 양론수이며 △G°는 표준 깁스(Gibbs) 자유에너지 변화이다.) 22 수증기 1L를 1기압에서 5기압으로 등온압축했을 때 부피 감소량(cm3)은? (단, 등온압축률은 4.53×10-5 atm-1 이다.) 23 어떤 산 정상에서 질량(mass)이 600kg인 물체를 10m 높이까지 들어 올리는데 필요한 일(kgf·m)은? (단, 지표면과 산 정상에서의 중력가속도는 각각 9.8 m/s2, 9.4 m/s2 이다.) 24 C와 O2, CO2의 임의의 양이 500℃ 근처에서 혼합된 2상계의 자유도는?
25 혼합물의 융해, 기화, 승화 시 변하지 않는 열역학적 성질에 해당하는 것은? 26 열용량이 일정한 이상기체의 PV 도표에서 일정 엔트로피 곡선과 일정 온도 곡선에 대한 설명 중 옳은 것은? 27 활동도계수(Activity coefficient)에 관한 식으로 옳게 표시된 것은? (단, GE는 혼합물 1mol에 대한 과잉 깁스에너지이며, γi는 i 성분의 활동도계수, n은 전체 몰수, ni는 i 성분의 몰수, nj는 i 성분 이외의 몰수를 나타낸다.) 28 정상상태로 흐르는 유체가 노즐을 통과할 때의 일반적인 에너지 수지식은? (단, H는 엔탈피, U는 내부에너지, KE는 운동에너지, PE는 위치에너지, Q는 열, W는 일을 나타낸다.) 29 여름철 실내 온도를 26℃ 로 유지하기 위해 열펌프의 실내측 방열판의 온도를 5℃, 실외측 방열판의 온도를 18℃로 유지하여야 할 때, 이 열펌프의 성능계수는? 30 가역과정(Reversible process)에 관한 설명 중 틀린 것은? 31 혼합흐름반응기에서 A + R → R + R인 자동촉매반응으로 99mol% A와 1mol% R인 반응물질을 전환시켜서 10mol% A와 90mol% R인 생성물을 얻고자 할 때, 반응기의 체류시간(min)은? (단, 혼합반응물의 초기농도는 1mol/L이고, 반응상수는 1L/mol·min 이다.) 32 자동촉매반응(autocatalytic reaction)에 대한 설명으로 옳은 것은? 33 1차 직렬반응을 아래와 같이 단일반응으로 간주하려 할 때, 단일반응의 반응속도상수(k; s-1)는? 34 반응물 A와 B가 R과 S로 반응하는 아래와 같은 경쟁반응이 혼합흐름 반응기(CSTR)에서 일어날 때, A의 전화율이 80% 일 때 생성물 흐름 중 S의 함량(mol%)은? (단, 반응기로 유입되는 A와 B의 농도는 각각 20mol/L 이다.) 35 크기가 다른 두 혼합흐름 반응기를 직렬로 연결한 반응계에 대하여, 정해진 유량과 온도 및 최종 전화율 조건하에서 두 반응기의 부피 합이 최소가 되는 경우에 대한 설명으로 옳지 않은 것은? (단, n은 반응차수를 의미한다.) 36 A와 B에 각각 1차인 A + B → C 인 반응이 아래의 조건에서 일어날 때, 반응속도(mol/L·s)는?
37 A가 R을 거쳐 S로 반응하는 연속반응과 A와 R의 소모 및 생성 속도 아래와 같을대, 이 반응을 회분식 반응기에서 반응시켰을 때의 CR/CA0는? (단, 반응 시작 시 회분식 반응기에는 순수한 A만을 공급하여 반응을 시작한다.) 38 2A + B → 2C인 기상반응에서 초기 혼합 반응물의 몰비가 아래와 같을 때, 반응이 완료되었을 때 A의 부피 변화율(εA)은? (단, 반응이 진행되는 동안 압력은 일정하게 유지된다고 가정한다.) 39 반응물 A의 농도를 CA, 시간을 t라고 할 때, 0차 반응의 경우 직선으로 나타나는 관계는? 40 공간속도(Space velocity)가 2.5s-1이고 원료 공급 속도가 1초당 100L 일 때 반응기의 체적(L)은? 41 같은 질량을 갖는 2개의 구가 공기중에서 낙하한다. 두 구의 직경비(D1/D2)가 3일 때 입자 레이놀드수(NRe, p < 1.0 이라면 종단속도의 비(V1/V2)는? 42 물질전달 조작에서 확산현상이 동반되며 물질자체의 분자운동에 의하여 일어나는 확산은? 43 유량측정기구 중 부자 또는 부표(float)라고 하는 부품에 의해 유량을 측정하는 기구는? 44 충전 흡수탑에서 플러딩(flooding)이 일어나지 않게 하기 위한 조건은? 45 분쇄에 대한 설명으로 틀린 것은? 46 건조장치 선정에서 가장 중요한 사항은? 47 정류탑에서 50mol%의 벤젠-톨루엔 혼합액을 비등 액체 상태로 1000kg/h 의 속도로 공급한다. 탑상의 유출액은 벤젠 99mol% 순도이고 탑저 제품은 톨루엔 98mol%을 얻고자 한다. 벤젠의 액조성이 0.5일 때 평형증기의 조성은 0.72이다. 실제 환류비는? (단, 실제 환류비는 최소 환류비의 3배이다.) 48 열전도도가 0.15 kcal/m·h·℃인 100mm 두께의 평면벽 양쪽 표면 온도차가 100℃ 일 때, 이 벽의 1m2 당 전열량(kcal/h)은?
49 무차원 항이 밀도와 관계없는 것은? 50 낮은 온도에서 증발이 가능해서 증기의 경제적 이용이 가능하고 과즙, 젤라틴 등과 같이 열에 민감한 물질을 처리하는데 주로 사용되는 것은? 51 25℃에서 벤젠이 bomb 열량계 속에서 연소되어 이산화탄소와 물이 될 때 방출된 열량을 실험으로 재어보니 벤젠 1mol 당 780890 cal 였을 때, 25℃에서의 벤젠의 표준연소열(cal)은? (단, 반응식은 다음과 같으며 이상기체로 가정한다.) 52 101kPa에서 물 1mol을 80℃에서 120℃까지 가열할 때 엔탈피 변화(kJ)는? (단, 물의 비열은 75.0 J/mol·K, 물의 기화열은 47.3 kJ/mol, 수증기의 비열은 35.4 J/mol·K 이다.) 53 Hess의 법칙과 가장 관련이 있는 함수는? 54 1 atm에서 포름알데히드 증기의 내부에너지(U; J/mol)가 아래와 같이 온도(t; ℃)의 함수로 표시될 때, 0℃에서 정용열용량(J/mol·℃)은? 55 터빈을 운전하기 위해 2kg/s 의 증기가 5atm, 300℃에서 50m/s 로 터빈에 들어가고 300m/s 속도로 대기에 방출된다. 이 과정에서 터빈은 400kW 의 축일로 하고 100kJ/s의 열을 방출하였다고 할 때, 엔탈피 변화(kW)는? 56 압력이 1atm인 화학변화계의 체적이 2L 증가하였을 때 한 일(J)은? 57 40mol% C2H4Cl2 톨루엔 혼합용액이 100 mol/h로 증류탑에 공급되어 아래와 같은 조성으로 분리될 때, 각 흐름의 속도(mol/h)는? 58 가스분석기를 사용하여 사염화탄소를 분석하고자 하는데 한쪽에서는 순수 질소가 유입되고 다른 쪽에서는 가스 1L당 280mg의 CCl4를 함유하는 질소가 0.2L/min 의 유속으로 혼합기에 유입되어 혼합된다. 혼합가스가 대기압 하에서 10L/min 의 유량으로 가스분석기에 보내질 때 온도가 24℃로 일정하다면 혼합기 내 혼합가스의 CCl4 농도(mg/L)는? (단, 혼합기의 게이지압은 8cmH2O 이다.) 59 주어진 계에서 기체 분자들이 반응하여 새로운 분자가 생성되었을 때 원자백분율 조성에 대한 설명으로 옳은 것은? 60 수분이 60wt%인 어묵을 500kg/h의 속도로 건조하여 수분을 20wt%로 만들 때 수분의 증발속도(kg/h)는?
61 비례-적분-미분(PID) 제어기가 제어하고 있는 제어시스템에서 정상상태에서의 제어기 출력순 변화가 2라 할 때 정상상태에서의 제어기의 비례 P = kc(ys - y), 적분 , 미분 항 각각의 크기는? 62 서보(servo)제어에 대한 설명 중 옳은 것은? 63 특성방정식이 으로 표현되는 선형 제어계에 대하여 Routh-Hurwitz의 안정 판정에 의한 Kc의 범위는? 64 밸브, 센서, 공정의 전달함수가 각각 Gv(s) = Gm(s) = 1, 인 공정시스템에 비례제어기로 피드백 제어계를 구성할 때, 성취될 수 있는 폐회로(closed-loop) 전달함수는? 65 다음의 비선형계를 선형화하여 편차변수 y′ = y – yss, u′ = u – uss로 표현한 것은? 66 다음 중 2차계에서 overshoot를 가장 크게 하는 제동비(damping factor; ζ)는? 67 개방회로 전달함수가 인 제어계에서 이득여유(gain margin)가 2.0이 되는 Kc는? 68 교반탱크에 100L의 물이 들어있고 여기에 10%의 소금용액이 5L/min로 공급되며 혼합액이 같은 유속으로 배출될 때 이 탱크의 소금농도식의 Laplace 변환은? 69 어떤 1차계의 전달함수는 1/(2s+1)로 주어진다. 크기 1, 지속시간 1인 펄스입력변수가 도입되었을 때 출력은? (단, 정상상태에서의 입력과 출력은 모두 0 이다.) 70 다음 함수의 Laplace 변환은? (단, u(t)는 단위계단함수이다.) 71 어떤 공정의 열교환망 설계를 위한 핀치 방법이 아래와 같을 때, 틀린 설명은? 72 발열이 있는 반응기의 온도제어를 위해 그림과 같이 냉각수를 이용한 열교환으로 제열을 수행하고 있다. 다음 중 옳은 설명은?
App Store Google Play
오늘학습 예시 이미지

시험에 합격하려면
복습을 제대로 해야 합니다.

오늘학습은 스스로 기억을 떠올리고 계획적으로 복습할 수 있도록 설계돼 있어요.
그것도, 가장 과학적인 방식으로요!

능동적 회상

능동적 회상
(Active Recall)

배운 내용을 단순 읽으며 반복하는 것이 아니라,
능동적으로 기억하고 있는지를
스스로 테스트하며
공부할 수 있는
학습 환경을 제공해 학습 효과를 높여요

간격 반복 학습

간격 반복 학습
(Spaced Repetition)

에빙하우스 망각곡선을 바탕으로
가장 최적의 시점에 복습을 제공하여
배운 내용이 잊히지 않도록 장기 기억화해요

Data 기반의
뇌과학적 복습 시스템

학습 결과 Data를 분석해, 문제별 최적화된
반복 학습량을
자동으로 분배해요.
학습에 소요되는 시간을 최소화하는
동시에
단기 기억을 장기 기억으로 전환해줘요.

36만 개 이상의
기출문제 무료 제공

공무원 및 약 300여종의 자격증 시험 기출문제
36만개
이상을 무료로 이용할 수 있어요.
여러 앱을 설치할 필요
없이, 오늘학습 하나로
모든 시험을 준비할 수 있어요.

다양한 문제 유형으로 만드는
나만의 단어장&문제집

기출 외에도 외워야 하는 내용은
객관식, 주관식, 카드, 빈칸
등 다양한 형식으로
직접 만들어 보세요. 내 학습 스타일에
맞게
나만의 단어장과 문제집을 만들 수 있어요.

시험별 체계적인
문제 관리

시험에 문제를 추가해 체계적으로
관리할 수 있어요.
주제나 단원별로
분류하고 싶다면,
시험에 챕터를 만들어
문제를 추가할 수도 있어요.

수십만 명이
오늘학습을 사랑합니다

앱 스토어 평점 4.9
구글 플레이 평점 4.8
누적 회원수 100,000+
지금 오늘학습을
시작해보세요
지금 시작하기
문제 선택