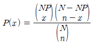
이항분포(binomial distribution)에서 매회 A가 일어나는 확률이 일정한 값 P일 때, n회의 독립시행 중 사상 A가 x회 일어날 확률P(x)를 구하는 식은? (단, N은 로트의 크기, n은 시료의 크기, P는 로트의 모부적합품률 이다.)
지금 시작하기 →

・・・ 문제은행 가스기능장(2016년 2회) 56번

가스기능장 2016년 07월 56번

이항분포(binomial distribution)에서 매회 A가 일어나는 확률이 일정한 값 P일 때, n회의 독립시행 중 사상 A가 x회 일어날 확률P(x)를 구하는 식은? (단, N은 로트의 크기, n은 시료의 크기, P는 로트의 모부적합품률 이다.)

1
2
3
4
단축키
이전 문제로 이동은 키를 누르고, 다음 문제로 이동은 키를 누르세요
이전 문제 , 다음 문제
문제(60)
13 액화석유가스 공급자의 의무사항이 아닌 것은? 14 다음 중 액화석유가스 용기충전시설의 저장탱크에 폭발방지장치를 의무적으로 설치하여야 하는 경우는? (단, 저장탱크는 저온저장탱크가 아니며, 물분무 장치 설치기준을 충족하지 못하는 것으로 가정한다.) 15 대기압(0[℃], 101.3[kPa])에서 비점(끓는점)이 높은 것에서 낮은 순으로 옳게 나열된 것은? 16 줄(Joule)의 법칙에 의한 이상기체의 내부에너지는? 17 코크스의 반응성은 가스화율에 영향을 미친다. 다음 중 반응성이 가장 낮은 것은? (단, 900[℃], 40[s], CO2로부터 CO 생성 [%] 이다.) 18 다음의 반응에서 A와 B의 농도를 모두 2배로 해주면 반응속도는 이론적으로 몇 배가 되겠는가? 19 사업자 등은 그의 시설이나 제품과 관련하여 가스 사고가 발생한 때에는 한국가스안전공사에 통보하여야 한다. 사고의 통보 시에 통보내용에 포함되어야 하는 사항으로 규정하고 있지 않은 사항은? 20 압력용기의 적용범위에 해당하기 위해 설계압력 [MPa]과 내용적[m3]을 곱한 값이 얼마를 초과하여야 하는가? 21 독성가스와 제독제가 옳지 않게 짝지어진 것은? 22 기체상수(universal gas constant) R의 단위는? 23 긴급이송설비에 부속된 처리설비는 이송되는 설비 안의 내용물을 다음 중 한 가지 방법으로 처리할 수 있어야 한다. 이에 대한 설명으로 틀린 것은? 24 고온의 물체로부터 방사되는 에너지 중의 특정한 파장의 방사에너지, 즉 휘도를 표준온도의 고온물체와 비교하여 온도를 측정하는 온도계는?
37 2[kg]의 산소를 327[℃]에서 PV1.2=C에 따라 785200[J]의 일을 하였다. 변화 후의 온도는 약 몇 [℃] 인가? (단, R=260[Nㆍm/kgㆍK] 이다.) 38 고압가스 특정제조시설의 사업소외의 배관에 설치된 배관장치에는 비상전력설비를 하여야 한다. 다음중 반드시 갖추어야 할 설비가 아닌 것은? 39 1[kg]의 공기가 100[℃]에서 열량 1200[kJ]을 얻어 등온팽창 시킬 때 엔트로피 변화량은 약 몇 [kJ/kgㆍK] 인가? 40 용기에 의한 액화석유가스 사용시설에서 저장능력이 2톤인 경우 화기를 취급하는 장소와 유지하여야 하는 우회거리는 몇 [m] 이상 인가? 41 메탄가스에 대한 설명으로 옳은 것은? 42 냉동장치의 점검ㆍ수리 등을 위하여 냉매계통을 개방하고자 할 때는 펌프다운(pump down)을 하여 계통 내의 냉매를 어디에 회수하는가? 43 가스용품을 수입하고자 하는 자는 관련 기관의 검사를 받아야 하는데 검사의 전부를 생략할 수 없는 경우는? 44 전기방식 중 효과범위가 넓고, 전압 및 전류의 조정이 쉬우나, 초기 투자비가 많은 단점이 있는 방법은? 45 주철관 이음방법으로서 이음에 필요한 부품이 고무링 하나뿐이며, 온도변화에 따른 신축이 자유롭고, 이음 접합과정이 간편하여 관부설을 신속하게 할 수있는 특징을 가진 이음방법은? 46 다음 [보기]에서 독성이 강한 순서대로 나열된 것은? 47 내경이 10[cm]인 액체 수송용 파이프 속에 구경이 5[cm]인 오리피스 미터가 설치되어 있고 이 오리피스에 부착된 수은 마노미터의 눈금차가 12[cm] 이었다. 만일 5[cm] 오리피스 대신에 구경이 2.5[cm]인 오리피스 미터를 설치했다면 수은 마노미터의 눈금차는 약 몇 [cm]가 되겠는가? 48 가스제조소에서 정제된 가스를 저장하여 가스의 질을 균일하게 유지하며, 제조량과 수요량을 조절하는 것은?
49 고압가스 일반제조 시설기준 중 가연성가스 제조설비의 전기설비는 방폭성능을 가지는 구조이어야 한다. 다음 중 제외 대상이 되는 가스는? 50 다음 ( ) 안의 온도와 압력으로 맞는 것은? 51 신축이음(expansion joint)을 하는 주된 목적은? 52 용기에 충전하는 작업을 할 때 작업자가 행하는 조작으로 직접적인 위험이 발생할 수 있는 경우는? 53 불연성 고압가스(독성가스는 제외)의 제조 저장자가 정기검사를 받는 주기로서 옳은 것은? 54 발열량이 20000[kcal/Nm3]이고, 비중이 1.6, 공급압력이 300[mmH2O]인 LPG로부터 발열량이 5000[kcal/Nm3], 비중 0.6, 공급압력이 150[mmH2O]인 도시가스로 변경할 경우의 LPG 노즐대비 노즐구경 변경율은 얼마인가? 55 다음은 관리도의 사용 절차를 나타낸 것이다. 관리도의 사용 절차를 순서대로 나열한 것은? 56 이항분포(binomial distribution)에서 매회 A가 일어나는 확률이 일정한 값 P일 때, n회의 독립시행 중 사상 A가 x회 일어날 확률P(x)를 구하는 식은? (단, N은 로트의 크기, n은 시료의 크기, P는 로트의 모부적합품률 이다.) 57 다음 내용은 설비보전조직에 대한 설명이다. 어떤 조직의 형태에 대한 설명인가? 58 다음 표는 어느 자동차 영업소의 월별 판매실적을 나타낸 것이다. 5개월 단순이동 평균법으로 6월의 수요를 예측하면 몇 대인가? 59 샘플링에 관한 설명으로 틀린 것은? 60 표준시간 설정 시 미리 정해진 표를 활용하여 작업자의 동작에 대해 시간을 산정하는 시간연구법에 해당되는 것은?
App Store Google Play
오늘학습 예시 이미지

시험에 합격하려면
복습을 제대로 해야 합니다.

오늘학습은 스스로 기억을 떠올리고 계획적으로 복습할 수 있도록 설계돼 있어요.
그것도, 가장 과학적인 방식으로요!

능동적 회상

능동적 회상
(Active Recall)

배운 내용을 단순 읽으며 반복하는 것이 아니라,
능동적으로 기억하고 있는지를
스스로 테스트하며
공부할 수 있는
학습 환경을 제공해 학습 효과를 높여요

간격 반복 학습

간격 반복 학습
(Spaced Repetition)

에빙하우스 망각곡선을 바탕으로
가장 최적의 시점에 복습을 제공하여
배운 내용이 잊히지 않도록 장기 기억화해요

Data 기반의
뇌과학적 복습 시스템

학습 결과 Data를 분석해, 문제별 최적화된
반복 학습량을
자동으로 분배해요.
학습에 소요되는 시간을 최소화하는
동시에
단기 기억을 장기 기억으로 전환해줘요.

36만 개 이상의
기출문제 무료 제공

공무원 및 약 300여종의 자격증 시험 기출문제
36만개
이상을 무료로 이용할 수 있어요.
여러 앱을 설치할 필요
없이, 오늘학습 하나로
모든 시험을 준비할 수 있어요.

다양한 문제 유형으로 만드는
나만의 단어장&문제집

기출 외에도 외워야 하는 내용은
객관식, 주관식, 카드, 빈칸
등 다양한 형식으로
직접 만들어 보세요. 내 학습 스타일에
맞게
나만의 단어장과 문제집을 만들 수 있어요.

시험별 체계적인
문제 관리

시험에 문제를 추가해 체계적으로
관리할 수 있어요.
주제나 단원별로
분류하고 싶다면,
시험에 챕터를 만들어
문제를 추가할 수도 있어요.

수십만 명이
오늘학습을 사랑합니다

앱 스토어 평점 4.9
구글 플레이 평점 4.8
누적 회원수 100,000+
지금 오늘학습을
시작해보세요
지금 시작하기
문제 선택