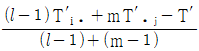
2요인 실험에서 AiBj에 결측치가 있을 경우 Yates의 결측치 추정공식으로 맞는 것은?
지금 시작하기 →

・・・ 문제은행 품질경영기사(2022년 1회) 11번

품질경영기사 2022년 03월 11번

2요인 실험에서 AiBj에 결측치가 있을 경우 Yates의 결측치 추정공식으로 맞는 것은?

1
2
3
4
단축키
이전 문제로 이동은 키를 누르고, 다음 문제로 이동은 키를 누르세요
이전 문제 , 다음 문제
문제(100)
1 Y제품을 조건 AiBj에서 각각 100회씩 검사한 결과 부적합품이 다음과 같았다. 요인 A의 제곱합(SA)는 약 얼마인가? 2 33의 1/3 반복에서 I = ABC2을 정의대비로 9회 실험을 하였다. 이에 대한 설명으로 틀린 것은? 3 수준이 기술적인 의미를 갖지 못하며 수준의 선택이 랜덤으로 이루어지는 요인은? 4 반복 없는 22형 요인실험에서 주효과와 교호작용을 구하는 식으로 틀린 것은? 5 오차항 eij의 가정으로 틀린 것은? 6 요인 수가 3개(A, B, C)인 반복 있는 3요인 실험에서 요인의 수준수를 각각 l, m, n 이고, 반복수가 r 이다. A, B 요인은 모수이고, C요인이 변량일 때, 평균제곱의 기댓값 E(VA)를 구하는 식으로 맞는 것은? 7 yi•은 i 번째 처리 수준에서 측정값의 합을 나타낸다. 다음 중 대비(contrast)가 아닌 것은? 8 수준수 l=4, 반복수 m=3인 모수모형 1요인치 시험에서 = 8.92, ST = 2.383, SA= 2.011 이었다. 이 때 μ(A3)를 유의수준 0.01로 구간추정하면 약 얼마인가? (단, t0.99(8) = 2.896, t0.995(8)= 3.355 이다.) 9 직교배열표에 대한 설명 중 틀린 것은? 10 다음은 1요인 실험에 의해 얻어진 데이터이다. 오차의 제곱합(Se)은 약 얼마인가? 11 2요인 실험에서 AiBj에 결측치가 있을 경우 Yates의 결측치 추정공식으로 맞는 것은? 12 반복 2회인 2요인 실험에서 요인 A가 4수준, 요인 B가 3수준이면, 유효반복수는 얼마인가? (단, 교호작용은 유의하다.)
25 어떤 농기계를 생산하는 회사에서 최근 6개월간의 부적합 발생건수가 44건으로 나타났다. 이 공장의 월평균 발생건수에 대한 95% 신뢰구간의 추정범위는 약 얼마인가? 26 어떤 부품의 제조공정에서 종래 장기간의 공정평균 부적합품률은 9% 이상으로 집계되고 있다. 부적합품률을 낮추기 위해 최근 그 공정의 일부를 개선한 후 그 공정을 조사하였더니 167개의 샘플 중 8개가 부적합품이었으며, 귀무가설 H0 : P ≥ P0는 기각되었다. 공정평균 부적합품률의 95% 위쪽 신뢰한계는 약 얼마인가? 27 A = -2.1+0.2ncum, R = 1.7+0.2ncum 인 계수형 축차 샘플링검사 방식(KS Q ISO 28591 : 2017)을 실시한 결과 6번째와 15번째, 20번째, 25번째, 30번째, 35번째 그리고 40번째에서 부적합품이 발견되었고, 44번 시료까지 판정 결과 검사가 속행되었다. 45번째 시료에서 검사결과가 적합품일 때 로트의 처리방법으로 맞는 것은? (단, 중지시 누적 샘플크기(중간값)은 45개이다.) 28 시료의 크기(n)을 5로 하여 작성한 관리도에서 범위 R의 평균( )이 1.59 이었다. 만일 의 분산( )이 0.274ㄹ k면 군간분산(σb2)은 약 얼마인가? (단, n= 5 일 때, d2=2.326이다.) 29 정규분포를 따르는 두 집단 A, B 각각의 모표준편차가 미지인 경우 신뢰도(1-α)로 모평균의 차이가 있는지를 검정할 경우 틀린 것은? (단, s2은 표본분산, n은 표본 수, ν는 자유도 이다.) 30 한국인과 일본인의 스포츠(축구, 농구, 야구) 선호도가 같은지 조사하였다. 각각 100명씩 랜덤추출하여 가장 좋아하는 한 가지 운동을 선택하여 분류하였더니 다음 표와 같을 때, 설명 중 틀린 것은? (단, α=0.05, χ0.952(2)=5.991 이다.) 31 계수 및 계량 규준형 1회 샘플링 검사(KS Q 0001)의 평균치 보증 방식에서 망소특성인 경우, OC 곡선을 작성하기 위한 로트의 합격확률 L(m)의 표준정규분포에서의 좌표값 KL(m)을 구하기 위한 공식은? (단, U는 규격상한, m은 로트의 평균치, 는 상한 합격 판정치, σ는 로트의 표준편차, n은 샘플의 크기이다.) 32 두 변수 x, y에서 x는 독립변수, y는 그에 대한 종속변수이고 대응을 이루고 있는 표본이 n개 일 때, 이들 사이의 상관관계를 분석하는 수식으로 틀린 것은? (단, 확률변수 X의 제곱합(Sxx), 확률변수 Y의 제곱합(Syy), 공분산(Vxy), X의 분산 (Vx), Y의 분산(Vy), n은 표본의 수이다.) 33 모집단으로부터 4개의 시료를 각각 뽑은 결과의 분포가 X1~N(5, 82), X2~N(25, 42) 이고, Y = 3X1 - 2X2 일 때, Y의 분포는 어떻게 되겠는가? (단, X1, X2는 서로 독립이다.) 34 A사에서 생산하는 강철봉의 길이는 평균 2.8m, 표준편차 0.20m인 정규분포를 따르는 것으로 알려져 있다. 25개의 강철봉의 길이를 측정하여 구한 평균이 2.72m라면 평균이 작아졌다고 할 수 있는가를 유의수준 5%로 검정할 때, 기각역(R)과 검정통계량(u0)의 값은? 35 계수형 샘플링 검사에서 일반적으로 로트의 크기와 샘플의 크기를 일정하게 하고, 합격판정개수를 증가시킬 때 생산자 위험과 소비자 위험에 관한 설명으로 맞는 것은? 36 어떤 제품의 치수에 대한 설계 규격이 150±1mm 이다. 이 제품의 제조공정을 조사하여 얻어진 공정평균이 150.5mm, 표준편차가 0.5mm 일 때 이 공정의 부적함품률은?
37 3σ법의 관리도에서 제1종 오류를 범할 확률은? 38 샘플링검사의 선택조건으로 틀린 것은? 39 어떤 제품의 길이에 대하여 L-S 관리도를 만들기 위해 n=5인 샘플을 25조 택하여 각 조의 최대치(L), 최소치(S) 및 범위(R)를 구하고 각각의 평균치가 다음과 같다. L-S관리도의 CL은 약 얼마인가? 40 다음의 데이터로 np관리도를 작성할 경우 관리한계는 얼마인가? 41 조업도(매출량, 생산량)의 변화에 따라 수익 및 비용이 어떻게 변하는가를 분석하는 기법은? 42 총괄생산계획에서 수요의 변동에 대응하기 위해 활용할 수 있는 대안으로 가장 거리가 먼 것은? 43 기업이 ERP 시스템 구축을 추진할 때 외부전문위탁개발(Outsourcing) 방식을 택하는 경우가 많다. 이 방식의 특징과 가장 거리가 먼 것은? 44 구매 정책을 설정함에 있어 자재의 구매 방식을 본사가 아닌 공장에서 분산 구매하게 할 때의 유리한 점은? 45 MRP 시스템의 구조에서 반드시 필요한 입력요소가 아닌 것은? 46 생산관리의 기본 기능을 크게 3가지로 분류할 경우 해당되지 않는 것은? 47 P-Q 곡선 분석에서 A영역에 해당하는 설비배치로 가장 적절한 것은? 48 어느 자동차 제품의 매월 판매량이 다음과 같을 경우, 단순지수평활법(exponential smoothing)에 의한 11월의 판매 예측량은 약 얼마인가? (단, 10월에 대한 예측치는 386 이었으며, α=0.3를 사용한다.)(문제 오류로 가답안 발표시 3번으로 발표되었지만 확정답안 발표시 모두 정답처리 되었습니다. 여기서는 가답안인 3번을 누르면 정답 처리 됩니다.)
49 고장을 예방하거나 조기 조치를 하기 위하여 행해지는 급유, 청소, 조정, 부품교환 등을 하는 것은? 50 노동력, 설비, 물자, 공간 등의 생산자원을 누가, 언제, 어디서, 무엇을, 얼마나 사용할 것인가를 결정하는 작업계획으로 주·일 시간 단위별 계획을 수립하는 것은? 51 하루 8시간 근무시간 중 일반여유시간으로 100분이 설정되었다면 여유율은 약 몇 % 인가? (단, 외경법을 이용한다.) 52 공급사슬이론에서 채찍효과를 발생시키는 주원인은 수요나 공급의 불확실성에 있다. 이러한 채찍효과의 원인을 내부원인과 외부원인으로 구분하였을 때, 내부원인에 해당되지 않는 것은? 53 재고 저장공간을 품복별로 두 칸으로 나누고, 윗칸에는 운전재고를, 아랫칸에는 재주문점에 해당하는 재고를 쌓아둠으로써, 윗칸에 재고가 없으면 재주문점에 이르렀음을 시각적으로 파악할 수 있는 방법은? 54 A, B, C, D 4개의 작업 모두 공정 1을 먼저 거친 다음에 공정 2를 거친다. 최종작업이 공정 2에서 완료되는 시간을 최소화하도록 하기 위한 작업순서는? 55 설계시점의 속도(또는 품종별 기준속도)에 대한 실제속도에 의한 손실, 설계시점의 속도가 현상의 기술수준 또는 바람직한 수준에 비해 낮은 경우의 손실을 무엇이라 하는가? 56 최적 제품조합(Product Mix)의 의미로 맞는 것은? 57 A회사는 조립작업장에 대해 하루 8시간 근무시간에서 오전, 오후 각각 20분간의 휴식시간을 주고 있다. 과거의 데이터를 분석해 보면 컨베이어벨트가 정지하는 비율이 4% 이고, 최종검사 과정에 5%의 부적합품률이 발생했다. 이 경우 일간 생산량이 1000개 일 때, 피치타임(pitch time)은 약 얼마인가? 58 스톱워치법과 비교한 PTS법의 장점으로 거리가 가장 먼 것은? 59 JIT 시스템에서 생산현장의 상태관리를 의미하는 5S 운동이 아닌 것은? 60 PTS(Predetermined Time Standard) 기법의 특징으로 틀린 것은?
61 대시료 실험에 있어서의 신뢰성 척도에 관한 설명으로 틀린 것은? 62 그림과 같은 고장율을 갖는 부품이 400시간 이상 작동할 확률은 약 얼마인가? 63 어떤 시스템의 수리율(μ)이 0.5, 고장률(λ)이 0.09 일 때 가용도(availability)는 약 얼마인가? 64 타이어 6개가 장착된 자동차는 6개의 타이어 중 5개만 작동되면 운행이 가능하다. 이 때 각 타이어의 신뢰도가 0.95로 동일하면, 자동차의 신뢰도는 약 얼마인가? 65 신뢰성 시험은 실시장소, 시험의 목적, 부과되는 스트레스 크기 등에 따라 분류할 수 있다. 시험목적에 따른 신뢰성 시험의 분류가 아닌 것은? 66 M기기 10대에 대하여 30일간 교체 없이 수명시험을 하였더니 이 중 5대가 고장이 났으며, 이들의 고장발생이 16, 27, 14, 12, 18 일이었다. 이 기기의 평균수명은? 67 수명자료가 정규분포인 경우의 고장률 함수 λ(t)의 형태는? 68 n개의 부품을 시험하여 고장이 r개 발생할 때까지 교체 없이 시험을 실시한 경우, MTBF의 신뢰구간을 계산하기 위한 자유도의 값은? (단, 수명분포는 지수분포를 따른다.) 69 여러 부품이 조합되어 만들어진 시스템이나 제품의 전체고장률이 시간에 관계없이 일정한 경우 적용되는 고장분포로 가장 적합한 것은? 70 기계부품이 진동에 의한 피로현상으로 파괴가 되었다. 이 때 고장원인, 고장 메커니즘 및 고장모드의 구분으로 맞는 것은? 71 신뢰성 블록도와 고장나무 분석(FTA)에 대한 설명으로 틀린 것은? 72 어떤 장치의 고장수리시간을 조사하였더니 다음과 같은 데이터를 얻었다. 수리시간이 지수분포를 따른다고 할 때, 평균 수리율은 약 얼마인가?
73 지수분포의 확률지에 관한 설명으로 틀린 것은? 74 와이블 분포의 신뢰도함수 를 이용하면 사용시간 t=η 에서 m의 값에 관계없이 R(η) = e(-1), F(η) = 1-e(-1) = 0.632 임을 알 수 있다. 이 때 와이블 분포를 따르는 부품들의 약 63%가 고장 나는 시간 η를 무엇이라고 하는가? 75 전자장치의 정상사용전압 V에서의 평균수명 T 와 가속전압 VA 에서의 평균수명 TA는 의 관계를 갖는다. VA가 200볼트 일 때 얻은 고장시간 데이터에 의해 추정된 TA가 1000시간이라면 정상사용전압 100볼트 에서의 평균수명 T는? 76 자동차가 안전하게 고속도로를 주행할 수 있는 조건을 차체엔진부, 동력전달부, 브레이크부, 운전기사 등의 하위 시스템으로 나눌 때, 자동차의 시스템은 어느 모형에 적합한가? 77 시점 t에서의 순간고장률을 나타낸 신뢰성 척도는? 78 신뢰성 샘플링 검사에서 지수분포를 가정한 신뢰성 샘플링 방식의 경우 λ0와 λ1을 고장률 척도로 하게 된다. 이 때 λ1을 무엇이라고 하는가? 79 A제품의 파괴강도는 50kg/cm2 이상이다. 파괴강도의 크기가 평균 40kg/cm2이고, 표준편차가 10kg/cm2의 정규분포를 따른다면 이 제품이 파괴될 확률은? (단, z는 표준정규분포의 확률변수이다.) 80 고장률이 λ로 동일한 n개의 부품이 병렬로 연결되어 있을 때 시스템의 평균수명을 표현한 식은? 81 생산활동이나 관리활동과 관련하여 일상적 또는 정기적 실시하는 계측과 가장 거리가 먼 것은? 82 A.R Tenner는 고객만족을 충분히 달성하기 위해서 “고객의 목소리에 귀를 기울이는 것”을 단계 1, “소비자의 기대사항을 완전히 이해하는 것”을 단계 2로 정의하였다. 다음 중 단계 3인 완전한 고객 이해를 위한 적극적 마케팅 방법이 아닌 것은? 83 6 시그마에 관한 설명으로 가장 거리가 먼 것은? 84 품질, 원가, 수량·납기와 같이 경영 기본요소별로 전사적 목표를 정하여 이를 효율적으로 달성하기 위해 각 부문의 업무분담 적정화를 도모하고 동시에 부문 횡적으로 제휴, 협력해서 행하는 활동은?
App Store Google Play
오늘학습 예시 이미지

시험에 합격하려면
복습을 제대로 해야 합니다.

오늘학습은 스스로 기억을 떠올리고 계획적으로 복습할 수 있도록 설계돼 있어요.
그것도, 가장 과학적인 방식으로요!

능동적 회상

능동적 회상
(Active Recall)

배운 내용을 단순 읽으며 반복하는 것이 아니라,
능동적으로 기억하고 있는지를
스스로 테스트하며
공부할 수 있는
학습 환경을 제공해 학습 효과를 높여요

간격 반복 학습

간격 반복 학습
(Spaced Repetition)

에빙하우스 망각곡선을 바탕으로
가장 최적의 시점에 복습을 제공하여
배운 내용이 잊히지 않도록 장기 기억화해요

Data 기반의
뇌과학적 복습 시스템

학습 결과 Data를 분석해, 문제별 최적화된
반복 학습량을
자동으로 분배해요.
학습에 소요되는 시간을 최소화하는
동시에
단기 기억을 장기 기억으로 전환해줘요.

36만 개 이상의
기출문제 무료 제공

공무원 및 약 300여종의 자격증 시험 기출문제
36만개
이상을 무료로 이용할 수 있어요.
여러 앱을 설치할 필요
없이, 오늘학습 하나로
모든 시험을 준비할 수 있어요.

다양한 문제 유형으로 만드는
나만의 단어장&문제집

기출 외에도 외워야 하는 내용은
객관식, 주관식, 카드, 빈칸
등 다양한 형식으로
직접 만들어 보세요. 내 학습 스타일에
맞게
나만의 단어장과 문제집을 만들 수 있어요.

시험별 체계적인
문제 관리

시험에 문제를 추가해 체계적으로
관리할 수 있어요.
주제나 단원별로
분류하고 싶다면,
시험에 챕터를 만들어
문제를 추가할 수도 있어요.

수십만 명이
오늘학습을 사랑합니다

앱 스토어 평점 4.9
구글 플레이 평점 4.8
누적 회원수 100,000+
지금 오늘학습을
시작해보세요
지금 시작하기
문제 선택