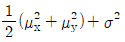
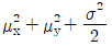
2개의 변량 x, y의 기대치는 각각 μx, μy이며, 분산의 모두 σ2이다. 이때 의 기대치는?
지금 시작하기 →

・・・ 문제은행 품질경영기사(2019년 2회) 30번

품질경영기사 2019년 04월 30번

2개의 변량 x, y의 기대치는 각각 μx, μy이며, 분산의 모두 σ2이다. 이때 의 기대치는?

1
2
3
4
단축키
이전 문제로 이동은 키를 누르고, 다음 문제로 이동은 키를 누르세요
이전 문제 , 다음 문제
문제(100)
1 실험의 목정 중 어떤 요인이 반응에 유의한 영향을 주고 있는가를 파악하는 것은 무엇에 관한 것인가? 2 분할법에서 2차 요이과 3차 요인의 교호작용은 몇 차 단위의 요인이 되는가? 3 A(4수준), B(5수준) 요인으로 반복 없는 2요인 실험에서 결측치가 2개 생겼을 경우 측정값을 대응하여 분산분석을 하면 오차항의 자유도는? 4 라틴방격법에 해당하는 것은? (단, 문자1, 2, 3,은 세 가지 처리의 각각을 나타낸다.) 5 2개의 대비 c1y1+c2y2+c3y3, d1y1+d2y2+d2y2+d3y3 로 직교(orthogonal)하기 위한 조건은? 6 요인 A가 변량요인일 때, 수준수가 4가, 반복수가 6인 1요인 실험을 하였더니 ST= 2.148, SA=1.979였다. 의 값은 약 얼마인가? 7 33형의 1/3 반복에서 I=ABC2을 정의대비로 9회 실험을 하였다. 이에 대한 설명으로 틀린 것은? 8 다음은 요인 A를 4수준, 요인 B를 2수준, 요인 C를 2수준, 반복 2회의 지분실험법을 실시한 결과를 분산분석표로 나타낸 것이다. 이에 대한 설명으로 틀린 것은? 9 단순회귀식 를 다음 데이터에 의해 구할 경우 은 약 얼마인가? 10 1요인 실험에 대한 설명 중 틀린 것은? 11 1요인 실험에서 데이터의 구조가 xij=μ+ai+eij로 주어질 때 의 구조는? (단, i=1.2, ㆍㆍㆍ, l이며, j=1, 2, ㆍㆍㆍ, m이다.) 12 모수모형 2요인 실험의 분산분석을 실시한 결과 교호작용이 무시되었다. 오차항에 풀링한 후 요인 B의 분산비를 구하면 약 얼마인가?
13 다음과 같은 모수모형 3요인 실험의 분산분석에서 유의하지 않은 교호작용을 오차항에 풀링시켜 분산분석표를 새로 작성하면, 요인 C의 분산비(F0)는 야 얼마인가? (단, A×B×C는 오차와 교락되어 있다.) 14 부적합 여부의 동일성에 관한 실험에서 적합품이면 0, 부적합품이면 1의 값을 주기로 하고, 4대의 기계에서 200개씩 제품을 만들어 부적함여부를 실험하였다. vA와 ve의 값은? 15 다음은 L8(27)형 직교배열표의 일부이다. 1열에 배치된 A의 VA는 얼마인가? 16 반복이 없는 22형 요인실험에 대한 설명 중 틀린 것은? 17 L9(34)형 직교배열표를 사용해 다음과 같은 결과를 얻었다. 오차항의 자유도는 얼마인가? 18 측정치가 y이고, 목표치가 m이며, 측정한 복표치가 주어져 있을 때 손실함수 식은? 19 32형 요인실험을 동일한 환경에서 실험하기 곤란하여 3개의 블록으로 나누어 실험을 한 경과 다음과 같은 데이터를 얻었다. 요인 A의 제곱합(SA)은 얼마인가? 20 1요인 실험에서 단순한 반복의 실험을 행하는 것보다는 반복을 블록으로 나누어 2요인 실험으로 하는 편이 정보량이 많게 된다. 이때 층별이 잘 되었다면 검출력과 오차항의 자유도는 어떻게 되겠는가? 21 관리도에 관한 내용 중 맞는 것은? 22 어떤 로트의 모부적합수는 m=16,0이었다. 작업내용을 개선한 후에 표본의 부적합수는 a=12.0이 되었다. 검정통계량(u0)은 얼마인가? 23 는 2개의 층 A, B간 평균치의 차를 검정할 때 사용한다. 이 식의 전제조건으로 틀린 것은? (단, k는 시료군의 수, n은 시료군의 크기이다,) 24 Y 제조공정에서 제조되는 부품의 특성치를 장기간에 걸쳐 통계적으로 해석하여 본 결과 μ=15.02mm, σ=0.03mm인 것을 알았다. 이 공정에서 오늘 제조한 부품 9개에 대하여 특성치를 측정한 결과 =15.08mm인 것을 알았다. 유의수준을 5%로 잡고 평균에 변화가 있는가를 검정하면?
25 p관리도와 -R관리도에 대한 설명으로 틀린 것은? 26 모분산(σ2)을 추정할 때 자유도가 커짐에 따라 신뢰구간의 폭은 일반적으로 어떻게 변하는가? 27 계량 규준형 1회 샘플링 검사(KS Q 0001 : 2013)에 있어서 로트의 표준편차 σ를 알고 하한규격치 SL이 주어진 로트의 부적합품률을 보증하고자 할 때 다음 중 어느 경우에 로트를 하는가? 28 -R관리도에 있어서 완전관리상태(σb=0)인 경우의 관계식 중 맞는 것은? (단, σω2은 군내변동, σb2은 군간변동, σH2은 개개의 데이터산포이다.) 29 제조공정의 관리, 공정검사의 조정 및 검사를 점검하기 위해 시행하는 검사방법은 무엇인가? 30 2개의 변량 x, y의 기대치는 각각 μx, μy이며, 분산의 모두 σ2이다. 이때 의 기대치는? 31 그림의 세 가지 OC 곡선은 모두 2.2%의 부적합품률을 가지는 로트를 합격시킬 확률로 0.10을 갖는 샘플링 계획을 나타낸 것이다. 생산자 위험률이 가장 낮은 것은? (단, N은 로트 크기, n은 샘플 크기, c는 합격판정 개수이다.) 32 모집단이 정규분포일 때, 이것으로부터 n개의 표본을 랜덤하게 뽑고 불편분산을 구하였을 때 분상에 대해 설명한 것으로 맞는 것은? 33 두 변량 사이의 직선관계 정도를 재는 촉도를 무엇이라 하는가? 34 적합도 검정에 대한 설명 중 틀린 것은? 35 어떤 제품의 품질 특성치는 평균 μ, 분산 σ2인 정규분포를 따른다. 20개의 제품을 표본으로 취하여 품질 특성치를 측정한 결과 평균 10, 표준편차 3을 얻었다. 분산 σ2에 대한 95% 신뢰구간은 약 얼마인가? (단, X20.975(19)=32.852, X20.025(19)=8.907이다.) 36 Y회사로부터 납품되는 약품의 유황 함유율 산포는 표준편차가 0.1%였다. 이번에 납품된 로트의 평균치를 신뢰율 95%, 정도(度精), 0.05%로 추정할 경우 샘플은 몇 개로 해야 하는가?
37 샘플링 방식에서 같은 조건일 때 평균 샘플 크기가 가장 작은 샘플링은 어느 것인가? 38 계수형 축차 샘플링 검사 방식(KS Q ISO 8422 : 2006)에서 누적 샘플크기(ncum)가 중 지시 누적 샘플크기(중지값)(nt)보다 작을 때 합격판정개수를 구하는 식으로 맞는 것은? 39 –R관리도에서 =741, =27.4, k=25, n=5일 때, LCL은 약 얼마인가? (단, n=5인 경우, A=1.342, A2=0.577, A3=1.427, A4=0.691이다.) 40 n=5이고, 관리상한(UCL)은 43.44, 관리하한(LCL)은 16.56인 관리도가 있다. 공정의 분포가 N(30, 102)일 때, 이 관리도에서 점 Xi가 관리한계 밖으로 나올 확률은 얼마인가? (문제 오류로 가답안 발표시 4번으로 발표되었지만 확정답안 발표시 모두 정답처리 되었습니다. 여기서는 가답안인 4번을 누르면 정답 처리 됩니다.) 41 PERT/CPM 기법에서 여유시간에 관한 설명으로 맞는 것은? 42 다중활동분석의 목적이 아닌 것은? 43 포드(Ford) 시스템의 특징에 관한 설명으로 가장 거리가 먼 것은? 44 작업의 우선순위 결정기준에 대한 설명으로 틀린 것은? 45 MRP 시스템의 출력결과가 아닌 것은? 46 고장을 예방하거나 조기 조치를 하기 위하여 행해지는 급유, 철소, 조정, 부품교환 등을 하는 것은? 47 MRP 시스템에서 주일정계획(MPS)에 의하여 발생된 수요를 충족시키기 위해 새로 계획된 주문에 의해 충당해야 하는 수량은? 48 표준화된 자재 또는 구성 부분폼의 단순화로 다양한 제품을 만드는 것으로 다품종생산을 통해 다양한 수요를 흡수하고 표준화된 자재에 의해서 표준화의 이익, 즉 경제적 생산을 달성하려는 생산시스템은?
61 샘플 5개를 수명시험하여 간편법에 의해 와이블 모수를 측정하였더니 m=2, t0=ηm=90시간, r=0이었다. 이 샘플의 평균수명은 약 얼마인가? (단, Γ(1.2)=0.9182, Γ(1.3)=0.8873, Γ(1.5)=0.8362이다.) 62 가속수명시험 설계 시 고장 매커니즘을 추론할 때 가장 효과적인 도구는? 63 어떤 시스템의 MTBF가 500시간, MTTR이 40시간이라고 할 때, 이 시스템의 가용도(Availability)는 약 얼마인가? 64 지수분포의 수명을 갖는 n개의 부품에 대하여 수명시험을 실시하여 r개의 부품이 고장날 때 시험을 중단하였다. 이 부품의 평균수명을 θ라고 할 때, Ho:θ≤θ:0 vs H1:θ>θo의 기각역은? (단, T는 총 시험시간이고, 유의수준은 α이다.) 65 욕조형 고장률함수에서 우발고장기간에 대한 설명으로 맞는 것은? 66 마모고장기간에 발생하는 마모고장의 원인이 아닌 것은? 67 지수수명분포를 갖는 동일한 컴포넌트를 병렬로 연결하여 시스템 평균수명을 개별 컴포넌트의 평균수명보다 2배 이상으로 하려면 최소 몇 개의 컴포넌트가 필요한가? 68 지수분포 f(t)=λe-λt의 분산으로 맞는 것은? 69 Y기기에 미치는 충격(shock)은 발생률 0.0003/h인 HPP(Homogeneous Poisson Process)를 따라 발생한다. 이 기기는 1번의 충격을 받으면 0.4의 확률로 고장이 발생한다. 5,000시간에서의 신뢰도는 약 얼마인가? 70 신뢰성 샘플링 검사의 특징에 관한 설명으로 틀린 것은? 71 다음 FT(Fault Tree)도에서 시스템의 고장확률은 얼마인가? (단, 각 구성품의 고장은 서로 독립이며, 주어진 수치는 각 구성품의 고장확률이다.) 72 와이블 확률지를 사용하여 μ와 σ를 추정하는 방법에 관한 설명으로 틀린 것은?
73 10개의 샘플에 대한 수명시험을 50시간 동안 실시하였더니, 다음 표와 같은 고장시간 자료를 얻었다. 그리고 고장난 샘플은 새 것으로 교체하지 않았다. 평균수명의 점추정치는 얼마인가? 74 와이블 분포의 확률밀도함수가 다음과 같을 때 설명 중 틀린 것은? (단, m은 형상모수, η은 척도모수이다.) 75 아이템이 어떤 계약이나 프로젝트에 관련하여 규정된 신뢰성 및 보전성 요구 조건들을 만족시킴을 보증하는 조직, 구조, 책임, 절차, 활동, 능력 및 자원들의 이행을 지원하는 문서화된 일정 계획된 활동, 지원 및 사건들을 무엇이라고 하는가? 76 지수분포를 따르는 어떤 부품을 n개 택하여 t0지점까지 수명시험한 결과 r개의 고장시간이 t1, t2, ㆍㆍㆍ, t0에서 일어났다고 한다면, 고장률 λ의 추정식으로 맞는 것은? 77 설계단계에서 신뢰성을 높이기 위한 신뢰성 설계방법이 아닌 것은? 78 ESS(Environmental Stess Stress Screening)에서 스트레스에 의하여 확인될 수 있는 고장모드에는 온도사이클과 임의진동이 있다. 이 중 온도사이클에 의한 스트레스로 발생할 수 있는 고장의 형태는? 79 신뢰도가 동일한 10개의 부품으로 구성된 시스템이 정상 작동하기 위해서는 10개 부품 모두가 정상 작동해야 한다. 만약 시스템 신뢰도가 0.95 이상이 되려면, 부품 신뢰도는 최소 얼마 이상이어야 하는가? 80 부하-강도 모형(stress-strength model)에서 고장이 발생할 경우에 관한 설명으로 틀린 것은? 81 산업표준화 분류 방식 중 국면에 따른 분류에 해당되지 않는 것은? 82 생산활동이나 관리활동과 관련하여 일상적 또는 정기적으로 실시하는 계측과 가장 거리가 먼 것은? 83 품질경영시스템-요구사항(KS Q ISO 9001:2015)의 특징이 아닌 것은? 84 다음은 제조물책임법 제1조에 관한 사항이다. ㉠과 ㉡에 해당하는 용어로 맞는 것은?
85 최초의 설계 잘못으로 제품의 설계변경에 소요되는 비용은 어느 코스트에 속하는가? 86 부품 A는 N(2.5, 0.032), 부품 B는 N(2.4, 0.022), 부품 C는 N(2.4, 0.042), 부품 D는 N(3.0, 0.012)인 정규분포를 따른다. 이 4개를 부품이 직렬로 결합되는 경우 조립품의 표준편차는 약 얼마인가? (단, 부품 A, B, C, D는 서로 독립이다.) 87 사내표준화의 요건이 아닌 것은? 88 Cp=1.33이고, 치우침이 없다면 평균 μ에서 규격한계(U 또는 L)까지의 거리는 약 몇 σ인가? 89 일종의 품질 모티베이션 활동인 ZD운동, QC 서클 활동 등은 소집단 활동이라는 데 공통점이 있다. 소집단 활동의 특징이 아닌 것은? 90 품질이 기업경영에서 전략변수로 중시되는 이유가 아닌 것은? 91 품질관리 담당자는 역할이 아닌 것은? 92 게하니(Ray Gehani) 교수가 구상한 품질가치사슬에서 TQM의 전략목표인 고객만족품질을 얻기 위하여 융합되어야 할 3가지 품질에 해당되지 않는 것은? 93 길이, 무게, 강도 등과 같은 계량차의 데이터가 어떠한 분포를 하고 있는지를 보기 위하여 작성하는 QC 수법은? 94 품질경영시스템에서 품질전략을 결정하는 데 고려하여야 할 요소와 가장 거리가 먼 것은? 95 다음은 키크 패트릭(Kirk Patrick)의 품질비용에 관한 그래프이다. 각 비용곡선의 명칭으로 맞는 것은? 96 제품 또는 서비스가 품질요건을 만족시킬 것이라는 적절한 신뢰감을 주는 데 필요한 모든 계획적이고, 체계적인 활동을 무엇이라 하는가?
App Store Google Play
오늘학습 예시 이미지

시험에 합격하려면
복습을 제대로 해야 합니다.

오늘학습은 스스로 기억을 떠올리고 계획적으로 복습할 수 있도록 설계돼 있어요.
그것도, 가장 과학적인 방식으로요!

능동적 회상

능동적 회상
(Active Recall)

배운 내용을 단순 읽으며 반복하는 것이 아니라,
능동적으로 기억하고 있는지를
스스로 테스트하며
공부할 수 있는
학습 환경을 제공해 학습 효과를 높여요

간격 반복 학습

간격 반복 학습
(Spaced Repetition)

에빙하우스 망각곡선을 바탕으로
가장 최적의 시점에 복습을 제공하여
배운 내용이 잊히지 않도록 장기 기억화해요

Data 기반의
뇌과학적 복습 시스템

학습 결과 Data를 분석해, 문제별 최적화된
반복 학습량을
자동으로 분배해요.
학습에 소요되는 시간을 최소화하는
동시에
단기 기억을 장기 기억으로 전환해줘요.

36만 개 이상의
기출문제 무료 제공

공무원 및 약 300여종의 자격증 시험 기출문제
36만개
이상을 무료로 이용할 수 있어요.
여러 앱을 설치할 필요
없이, 오늘학습 하나로
모든 시험을 준비할 수 있어요.

다양한 문제 유형으로 만드는
나만의 단어장&문제집

기출 외에도 외워야 하는 내용은
객관식, 주관식, 카드, 빈칸
등 다양한 형식으로
직접 만들어 보세요. 내 학습 스타일에
맞게
나만의 단어장과 문제집을 만들 수 있어요.

시험별 체계적인
문제 관리

시험에 문제를 추가해 체계적으로
관리할 수 있어요.
주제나 단원별로
분류하고 싶다면,
시험에 챕터를 만들어
문제를 추가할 수도 있어요.

수십만 명이
오늘학습을 사랑합니다

앱 스토어 평점 4.9
구글 플레이 평점 4.8
누적 회원수 100,000+
지금 오늘학습을
시작해보세요
지금 시작하기
문제 선택