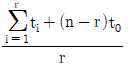
시료 n개를 샘플링하여 미리 정해진 시험 중단 시간인 t0시간까지 시험하고, t0시간이 되면 시험을 중단하는 정시중단시험에서 평균수명을 구하는 식은? (단, 고장이 발생하여도 교체하지 않는 경우이며, r은 고장 계수이다.)
지금 시작하기 →

・・・ 문제은행 품질경영기사(2018년 2회) 80번

품질경영기사 2018년 04월 80번

시료 n개를 샘플링하여 미리 정해진 시험 중단 시간인 t0시간까지 시험하고, t0시간이 되면 시험을 중단하는 정시중단시험에서 평균수명을 구하는 식은? (단, 고장이 발생하여도 교체하지 않는 경우이며, r은 고장 계수이다.)

1
2
3
4
단축키
이전 문제로 이동은 키를 누르고, 다음 문제로 이동은 키를 누르세요
이전 문제 , 다음 문제
문제(100)
1 22 요인배치에서 A×B교호작용의효과는? 2 동일한 물건을 생산하는 5대의 기계에서 부적함품 여부의 동일성에 관한 실험을 하였다. 적합품이면 0, 부적합품이면 1의 값을 주기로 하고, 5대의 기계에서 각각 200개씩의 제품을 만들어 부적합품을 만들어 부적합품 여부를 실험하여, 다음과 같은 분산분석표의 일부자료를 얻었다. 기계간의 부적합품 여부를 실험하여, 다음과 같은 분산분석표의 일부자료를 얻었다. 기계간의 부적합품률에 서로 차이가 있는지에 관한 가설검정을 실시했을 때 판정기준으로 맞는 것은?(오류 신고가 접수된 문제입니다. 반드시 정답과 해설을 확인하시기 바랍니다.) 3 품질특성을 3가지 형태로 구분할 때 관련 없는 것은? 4 Ls(s7) 직교배열표를 이용하여 관심이 있는 요인효과들의 배치가 표와 같다. 실험번호 3번의 실험조건으로 맞는 것은? 5 모수요인 A, 변량요인 B의 수준수가 각각 l, m이고 반복수가 r회인 2요인실험에서 요인 A의 평균제곱의 기댓값은? 6 다음의 1요인 분산분석표에 의하여 구한 검정통계량 F0의 값은 약 얼마인가? 7 요인 A의 수준수는 5, 요인 B의 수준수는 4이며, 모든 수준조합에서 3회씩 반복하여 실험하였다. 분산분석 결과로 교호작용은 무시할 수 있었다. 두 요인의 수준조합에서의 분산추정을 위한 유효반복수는 얼마인가? (단, 요인 A와 요인 B는 모수요인이다.) 8 다음은 1 요인실험에 의해 얻어진 데이터이다. 오차의 제곱함(Se)은 약 얼마인가? 9 다음의 두 선형식은 대비의 조건을 만족하고, c1c1'+c2c2'+ㆍㆍㆍ+c1c1'=0이 성립될 때, L1, L2는 서로 무엇을 하고 있다고 할 수 있는가? 10 두 변수 x, y간에 다음의 데이터가 얻어졌다. 단순 회귀식을 적용할 때, 회귀에 의하여 설명되는 제곱함 SR을 구하면? 11 실험분석결과의 해석과 조치에 대한 설명으로 틀린 것은? 12 교락법에 관한 설명으로 틀린 것은?
13 요인 수가 3개(A, B, C)인 반복 있는 3요인실험에서 요인의 수준수를 각각 l, m, n이고 반복수가 r이다. A, B요인은 모수이고 C요인이 변량일 때, 평균제곱의 기댓값 E(VA)를 구하는 식으로 맞는 것은? 14 L27(313)의 직교배열표에 있어서 배치된 요인수가 10개일 때, 오차의 자유도는? 15 반복이 없는 2요인실험(모수모형)의 분산분석표에서 ( )에 들어갈 식은? 16 A1 수준에 속해 잇는 B1과 A2 수준에 속해 있는 B1은 동일한 것이 아닌 실험설계법은? 17 A, B, C 3요인 라틴방격 실험에서 분산분석 후의 추정에 관한 설명 중 맞는 것은? 18 일부실시법(fractional factorial design)에 대한 설명으로 틀린 것은? 19 1요인 실험의 분산분석에서 데이터의 구조모형은 xij=μ+ai+eij로 표시될 때, eij(오차)의 가정이 아닌 것은? 20 1차 단위가 일원배치인 단일분할법의 특징 중 틀린 것은? 21 F분포에 대한 설명으로 틀린 것은? 22 그림은 로트의 평균치를 보증하는 계량규준형 1회 샘플링 검사를 설계하는 과정을 나타낸 것이다. 측성피가 망대특성일 경우 다음 설명 중 틀린 것은? 23 A, B 두 개의 천칭으로 같은 물건을 측정하여 얻은 데이터로부터 편차 제곱합을 구하였더니 SA=0.04, SB=0.24로 나타났다. 천칭 A는 5회, 천칭 B는 7회 측정한 결과였다면 유의수준 5%로 두 천칭 A, B간에 정밀도에 차이가 있는가? (단, F0.975(6, 4)=9.20, F0.975(4, 6)=6.23이다.) 24 계수형 샘플링검사 절차-제2부 : 고립로트 한계품질(LQ) 지표형 샘플링검사 방식(KS Q ISO 2859-2 : 2014)에서 사용되는 한계품질에 대한 설명으로 틀린 것은?
25 남자 아이와 여자 아이가 태어나는 확률은 같다고 알려졌다. 이를 검정하는 방법으로 틀린 것은? 26 공정 평균부적합품률 0.05, 시료의 크기 200일 때, 3σ 관리한계를 사용하는 p 관리도의 UCL과 LCL을 구한 것으로 맞는 것은? 27 푸아송 분포를 하는 어떤 lot로부터 30개의 시료를 추출하여 조사하였더니, 부적합품률은 5%임이 밝혀졌다. 합격판정개수가 2개일 때 이 lot가 합격할 확률은 약 얼마인가? 28 공정평균이 10이고, 모표준편차가 1인 공정을 관리도로 평균치 변화를 관리할 때, 검출력이 가장 크게 나타나는 경우는? 29 다음 20개의 데이터(data)의 중위수(median)는 얼마인가? 30 부적합률에 대한 계량형 축차 샘플링검사 방식(표준편차 기지)(KS Q ISO 8423 : 2008)에서 양쪽 규격한계의 결합관리의 경우 상한 합격판정치 AU를 구하는 식은? 31 모주적합수 m=25인 공정에 대해 작업방법을 변경한 후에 확인해 보니 표본부적합수 c=20으로 나타났다. 모부적합수가 달라졌다고 할 수 있는지에 대한 판정으로 맞는 것은? (단, 유의수준 α=0.05이다.) 32 어떤 상관표로부터 계산한 결과가 =4.855, =63.55, Sxx=92.9095, Sxy=651.695이었을 때, x를 독립변수로 하는 회귀직선식은? 33 새로운 작업방법으로 시험제작한 화학약품의 성분 함유량의 모평균이 기준으로 설정된 값과 같은지의 여부를 검정하고자할 때 검정통계량의 식으로 맞는 것은? (단, 모표준편차는 모른다고 가정한다.) 34 오차에 관한 설명으로 틀린 것은? 35 -R 관리도에서 관기계수(Cf)가 1.3이었다면, 이 공정에 대한 판정으로 맞는 것은? 36 기대치와 분산의 계산식 중 틀린 것은? (단, X, Y는 서로 독립이다.)
49 4가지 주문작업을 1대의 기계에서 처리하고자 한다. 최소납기일 규칙에 의해 작업순서를 결정할 경우 최대납기지연시간은 얼마가 되는가? (단, 오늘은 4월 1일 아침이다.) 50 총괄생산계획(APP) 수립에 사용되는 기법이 아닌 것은? 51 Line 생산시스템의 균형효율(Balance Rfficirncy)에 관한 산출식으로 틀린 것은? (단, N:작업장 수, C:사이클 타임, ∑ti:작업장별 표준시간합계, I=유휴시간) 52 길브레스(Gilbreth) 부부의 업적에 해당하지 않는 것은? 53 다중활동분석표(Multiple Activity Chart)를 사용하는 경우에 해당하지 않는 것은? 54 설비보전 중 지역보전의 단점이 아닌 것은? 55 원자재를 가공하여 제품을 생산하는 제조공장을 대상으로 수행하는 방법연구에서 작업구분이 큰 것부터 순서대로 나열한 것은? 56 다품종소량생산 환경에서 수요나 공정의 변화에 대응하기 쉽도록 주로 범용설비를 이용하여 구성하는 배치형태는? 57 간트 차트가 지니고 있는 결점이 아닌 것은? 58 어떤 제품의 판매가격은 1000원, 생산량이 20000개이다. 이 제품의 고정비는 1200000원, 변동비는 4000000원일 때, 이 제품의 손익분기점 매출액은 얼마인가? 59 수요예측방법 중 n기간 단순이동평균법에 대한 설명으로 틀린 것은? 60 구매전략 중 중앙(또는 집중)구매의 특징에 해당하지 않는 것은?
61 Y 제품에 수명시험 결과 얻은 데이터를 와이블 확률지를 사용하여 모수를 추정하였더니 형상모수 m=1.0, 척도모수 η=3500시간, 위치모수 r=0이 되었다. 이 제품의 MTBF는 얼마인가? (단, Γ(1.5)=0.88623, Γ(2)=1.00000, Γ(2.5)=1.32934이다.) 62 개량 1회 샘플링 검사(DOD-HDBK H108)에서 샘플수와 총시험시간이 주어지고, 총시험시간까지 시험하여 발생한 고장계수가 합격판정계수보다 적을 경우 로트를 합격하는 시험방법은? 63 신뢰도가 R인 부품 3개가 병렬결합모델로 설계되어 있을 때, 시스템 신뢰도의 표현으로 맞는 것은? 64 그림은 고장율의 변화를 나타내는 욕조곡선(bath-tub curve)이다. 각 고장기간을 맞게 나타낸 것은? 65 제조공정에 있는 한 기계의 가동시간과 고장 수리시간을 조사하였더니 표와 같았다. 데이터로부터 이 기계의 가용도를 구하면 약 몇 %인가? 66 n개은 아이템을 수명시험하여 데이터를 크기 순서대로 t1, ㆍㆍㆍ, tn으로 얻었다. 고장포함수 F(t)의 추정을 평균순위법으로 한다면, 이 아이템이 tr(1≤r≤n)이상 고장이 없을 신뢰도는 얼마로 추정할 수 있는가? 67 수명분포가 지수분포인 부품 n개의 고장시간이 각각 Xn, ㆍㆍㆍ, Cn일 때, 고장률 λ에 대한 추정치λ는? 68 와이블(Weibull) 분포에 대한 설명으로 틀린 것은? 69 우선적 AND 게이트가 있는 고장목(Fault Tree)에 관한 설명으로 가장 적절한 것은? 70 그림과 같은 시스템의 신뢰도는 약 얼마인가? (단, A와 B는 신뢰도는 각각 0.9와 0.8이다.) 71 그림과 같이 4개의 부품의 직렬구조로 연결되어 있는 시스템의 신뢰도는? (단, 각 부품의 신뢰도는 R1, R2, R3, R4이다.) 72 시험분석 및 시정조치(TAAF) 프로그램에 의하여 설계 및 제조상의 결함을 발견하고, 이를 시정조치함으로써 시간이 지남에 따라 신뢰성 척도가 점진직으로 향상되는 과정에 대한 시험을 무엇이라 하는가?
73 체계 전체의 설계 목표치를 설정함과 동시에 하위 체계에 대하여 각각 신뢰성 목표치를 배분하는 신뢰성 배분의 일반적인 방침과 가장 거리가 먼 것은? 74 일반적인 FMEA 분해레벨의 배열 순서로 맞는 것은? 75 어떤 재려의 강도는 평균 40kg/mm2이고, 표준편차가 4kg/mm2인 정규분포를 따른다. 이 재료에 걸리는 부하는 평균이 25kg/mm2이고, 표준편차가 3kg/mm2이다. 이때 재료가 파괴 될 확률은 약 얼마인가? (단, P(u>2)=0.02275, P(u>3)=0.00135이다.) 76 온도에 의한 기속수명시험에서 고장의 가속의 모형화하는 데 가장 널리 사용되는 수명-스트레스 관계식 모형은? 77 기계 C의 평균고장률이 0.001/시간인 지수분포를 따를 경우, 100시간 사용하였을 때 신뢰도는 약 얼마인가? 78 Y 수리계 시스템을 총 50시간 동안(수리시간 포함) 연속 사용한 경우 5회의 고장이 발생하였고 각각의 수리시간이 0.5, 0.5, 1.0, 1.5, 1.5시간 이었다면 MTBF는 얼마인가? 79 제품의 설계단계에서 고유신뢰성을 증대시킬 수 있는 방법은? 80 시료 n개를 샘플링하여 미리 정해진 시험 중단 시간인 t0시간까지 시험하고, t0시간이 되면 시험을 중단하는 정시중단시험에서 평균수명을 구하는 식은? (단, 고장이 발생하여도 교체하지 않는 경우이며, r은 고장 계수이다.) 81 품질경영의 성숙과정(quality management maturity grid)을 5단계로 나누어 품질코스트 프로그램의 추진단계를 기술한 것 중 단계별 내용이 틀린 것은? 82 허쯔버그(Herzberg)의 동기요인-위생요인 이론에서 동기(만족)요인에 해당하지 않는 것은? 83 기업에서 제안활동이 종업원의 참여의식을 높일 수 있는 유효한 방법임은 분명하지만 활성화되지 않는 경우가 있는데, 그 이유가 아닌 것은? 84 Y 품질 특성값의 규격은 50~60으로 규정되어 있다. 평균값이 55, 표준편차가 1인 공정의 시그마(σ)의 수준은 어느 정도인가?
85 버어만(L.C Verman)이 제시한 표준화 공간에서 표준화의 구조 중 국면(aspect)에 해당되지 않는 것은? 86 품질에 대해서 사용자의 만족감을 표현하는 주관적 측면과 요구조건과의 일치성을 표현하는 객관측 측면을 함께 고려한 품질의 이원적 인식방법에 관한 설명으로 틀린 것은? 87 고객만족영영을 성공적으로 추진하기 위해 고려해야 할 사항으로 보기 어려운 것은? 88 품질코스트의 한 요소인 실패코스트와 적합비용과의 관계에 관한 설명으로 맞는 것은? 89 제조공정에 관한 사내표준화의 요건을 설명한 것으로 적당하지 않은 것은? 90 측정오차 중 가장 큰 영향을 미치는 요인은? 91 과거의 제조중심 품질관리(Quality Control) 활동과 현재의 기업단위 활동의 품질경영(Quality Management)에 대한 설명으로 틀린 것은? 92 품질관리 부서가 해야 하는 업무로 타당하지 않는 것은? 93 공정의 산포가 규격의 최대치와 최소치와의 차보다 클 때, 조처하는 방법으로 틀린 것은? 94 품질관리의 기능은 4개의 기능으로 대별하여 사이클을 형성한다. 품질관리의 기능에 포함되지 않는 것은? 95 포터(M.E. Porter)는 품질에 관한 경쟁전략에 대해 기본적 접근방법으로 3가지 항목을 제시하였다. 3가지 항목에 해당하지 않는 것은? 96 국가규격에 해당하지 않는 것은?
App Store Google Play
오늘학습 예시 이미지

시험에 합격하려면
복습을 제대로 해야 합니다.

오늘학습은 스스로 기억을 떠올리고 계획적으로 복습할 수 있도록 설계돼 있어요.
그것도, 가장 과학적인 방식으로요!

능동적 회상

능동적 회상
(Active Recall)

배운 내용을 단순 읽으며 반복하는 것이 아니라,
능동적으로 기억하고 있는지를
스스로 테스트하며
공부할 수 있는
학습 환경을 제공해 학습 효과를 높여요

간격 반복 학습

간격 반복 학습
(Spaced Repetition)

에빙하우스 망각곡선을 바탕으로
가장 최적의 시점에 복습을 제공하여
배운 내용이 잊히지 않도록 장기 기억화해요

Data 기반의
뇌과학적 복습 시스템

학습 결과 Data를 분석해, 문제별 최적화된
반복 학습량을
자동으로 분배해요.
학습에 소요되는 시간을 최소화하는
동시에
단기 기억을 장기 기억으로 전환해줘요.

36만 개 이상의
기출문제 무료 제공

공무원 및 약 300여종의 자격증 시험 기출문제
36만개
이상을 무료로 이용할 수 있어요.
여러 앱을 설치할 필요
없이, 오늘학습 하나로
모든 시험을 준비할 수 있어요.

다양한 문제 유형으로 만드는
나만의 단어장&문제집

기출 외에도 외워야 하는 내용은
객관식, 주관식, 카드, 빈칸
등 다양한 형식으로
직접 만들어 보세요. 내 학습 스타일에
맞게
나만의 단어장과 문제집을 만들 수 있어요.

시험별 체계적인
문제 관리

시험에 문제를 추가해 체계적으로
관리할 수 있어요.
주제나 단원별로
분류하고 싶다면,
시험에 챕터를 만들어
문제를 추가할 수도 있어요.

수십만 명이
오늘학습을 사랑합니다

앱 스토어 평점 4.9
구글 플레이 평점 4.8
누적 회원수 100,000+
지금 오늘학습을
시작해보세요
지금 시작하기
문제 선택