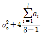
요인 A의 3수준을 택하고, 반복 4회의 1요인 실험을 행하였을 때, 변량요인 A의 평균제곱 VA의 기댓값은? (단, xij=μ+ai+eij,ai~N(0,σ2A), eij~N(0,σe2)이다.)
지금 시작하기 →

・・・ 문제은행 품질경영기사(2021년 1회) 17번

품질경영기사 2021년 03월 17번

요인 A의 3수준을 택하고, 반복 4회의 1요인 실험을 행하였을 때, 변량요인 A의 평균제곱 VA의 기댓값은? (단, xij=μ+ai+eij,ai~N(0,σ2A), eij~N(0,σe2)이다.)

1
σe2
2
σe2+3σA2
3
4
σe2+4σA2
단축키
이전 문제로 이동은 키를 누르고, 다음 문제로 이동은 키를 누르세요
이전 문제 , 다음 문제
문제(100)
1 2요인 실험의 계수치 데이터에서 ST=7, SAB=5, SA=3, SB=1일 때, Se1과 Se2는 각각 얼마인가? 2 다음과 같은 L27(313)형 직교배열표에서 교호작용 B×C(8열)의 제곱합(SB×C)이 600, 교호작용 B×C(11열)의 제곱합(SB×C)이 1000일 경우, 교호작용의 제곱평균값(VB×C)은? 3 1요인 실험에서 각 수준간의 모평균 차에 대한 95% 신뢰수준의 신뢰구간을 보고 유의한 차가 있다고 할 수 없는 것은? 4 실험횟수를 늘리지 않고 실험전체를 몇 개의 블록으로 나누어 배치시킴으로써 동일 환경내의 실험횟수를 적게 하도록 고안해 낸 배치법은? 5 4수준 요인 A와 2수준 요인 B, C, D, F와 A×B, B×C, B×D를 배치하는 경우 최적의 직교배열표로 맞는 것은? 6 TV 색상밀도의 기능적 한계가 m±7이라고 가정하면 색상밀도가 m±7일 때, 소비자의 환경이나 취향의 다양성을 고려하여 소비자의 절반이 TV가 고장이라고 한다. TV의 수리비가 평균 A=98000원이라고 할 때, 색상밀도가 m+4인 수상기를 구입한 소비자가 입은 평균손실 L(m+4)은? 7 데이터의 구조식이 다음과 같은 실험에서 SABC의 값은 얼마인가? (단, SA=675.4, SB(A)=160.3, SC(AB)=88.1이다.) 8 반복 없는 2요인 실험을 행했을 때, A3B2수준 조합에서 결측치가 발생하였다. 결측치 ⓨ의 값을 점추정하면? 9 수준의 선택이 랜덤으로 이루어지고 각 수준이 기술적 의미를 가지고 있지 못하면 주효과 i들의 합이 일반적으로 0이 아닌 요인은? 10 33형 요인실험에서 9개의 블록을 만들 때, 요인 AB2C2와 AC를 정의대비라고 하면 블록과 교락되는 정의대비는? 11 각각 3,5개의 수준을 갖는 두 개의 요인의 모든 수준조합에서 각각 2회 반복을 하였다. 교호작용이 무시되지 않는 경우, 오차항의 자유도는 얼마인가? 12 24형 요인 배치법에서 2중 교락 설계 시 블록효과와 교락시킨 2개의 요인이 ABC, BCD일 때, 블록효과와 교락되는 다른 하나의 요인은?
13 회귀분석 분산분석표에서 나머지 제곱합(Sr)이 유의하지 않았다. 이런 경우 회귀로부터의 제곱합 Suㆍx의 불편분산은 약 얼마인가? 14 요인 A(원료구입선: l수준)를 1차 단위로, 요인 B(가공방법: m수준)를 2차 단위로 하여 블록 반복 2회 분할법에 의한 실험을 하는 경우 데이터의 구조식은? (단, i=1,2,…, l,j=1,2,…,m,k=1,2,…,r이다.) 15 3개의 수준에서 반복횟수가 8인 1요인 실험에서 각 수준에서의 측정값의 합은 y1ㆍ,y2ㆍ,y3ㆍ라고 할 때, 관심을 갖는 대비는 다음과 같은 2개가 있다. 이 두 대비가 서로 직교대비가 되기 위한 k 값? 16 23형 계획에서 교호작용 ABC를 블록과 교락시킨 후 abc가 포함된 블록으로 1/2일부실 시법을 행하였을 때, 교호작용 BC와 별명(alias)관계에 있는 주요인의 주효과를 맞게 표현한 것은? 17 요인 A의 3수준을 택하고, 반복 4회의 1요인 실험을 행하였을 때, 변량요인 A의 평균제곱 VA의 기댓값은? (단, xij=μ+ai+eij,ai~N(0,σ2A), eij~N(0,σe2)이다.) 18 4개의 모수요인에 대해 수준수를 5로 하는 그레코라틴방격 실험을 행한다면 오차의 자유도는? 19 난괴법에 관한 설명으로 틀린 것은? 20 반복 없는 3요인 실험에서 A, B, C요인의 수준이 각각 l, m, n이라고 할 때, A×C의 자유도(vA×C)는? (단, 모수모형이고, l=3, m=4, n=4이다.) 21 계수형 샘플링 검사 절차 – 제1부 : 로트별 합격품질한계(AQL) 지표형 샘플링 검사 방식(KS Q ISO 2859-1)에서 엄격도 조정을 위한 전환규칙으로 틀린 것은? 22 확률변수 X가 다음의 분포를 가질 때 Y의 기댓값은? (단, Y=(X-1)2이다.) 23 전선의 인장강도(kg/mm2)rk 평균 44이상인 로트(lot)는 합격으로 하고, 39이하인 로트는 불합격으로 하려는 검사에서 합격 판정치()를 구했더니 42.466이었다. 입고된 로트에서 5개의 시료샘플을 취하여 평균을 구했더니 =41.6 이었다면 이 로트의 판정은? 24 시료의 크기가 3인 시료군 30개를 측정하여 을 얻었다. 이때 관리도의 관리상한은 각각 약 얼마인가? (단, 군의 크기가 3일 때, A2=1.023, D4=2.575이다.)
25 로트의 평균치를 보증하는 경우에 대한 검사특성곡선에 관한 내용으로 틀린 것은? 26 실제로 귀무가설 H0가 옳지 않은 데도 불구하고 H0를 기각하지 못하는 오류는? 27 Nn=5, k=30인 관리도에서 관리계수 Cf=1.5일 때, 판정으로 맞는 것은? 28 검정통계계량을 계산할 때 X2통계량을 사용할 수 없는 것은? 29 다음은 어떤 작물의 물세탁에 의한 신축성 영향을 조사하기 위해 150점을 골라 세탁전(x), 세탁 후(y)의 길이를 측정하여 얻은 데이터이다. H0:ρ=0, H1:ρ≠0에 대한 검정통계량은 약 얼마인가? 30 관리도에서 관리하여야 할 항목은 일반적으로 시간, 비용 또는 인력 등을 고려하여 꼭 필요하다고 생각되는 것이어야 한다. 이러한 항목에 관한 설명으로 가장 거리가 먼 것은? 31 제1종 오류(α)와 제2종 오류(β)에 관한 설명으로 틀린 것은? 32 부적합률에 대한 계량형 축차 샘플링 검사 방식(표준편차 기지)(KS Q ISO 39511: 2018)에서 양쪽 규격한계의 결합관리의 경우이고 ncum<nt일 때, 상한 합격 판정치 AU-L는? (단, σ가 규격 간격(U-L)과 비교하여 충분히 작고, g는 합격판정선 및 불합격판정선의 기울기, hA는 합격판정선의 절편이다.) 33 종래 한 로트에서 발견되는 부적합수는 평균 12개이었다. 작업방법을 개선한 후 하나의 로트를 뽑아서 부적합수를 세어보니 7개였다. 평균 부적합수가 줄었는지를 유의수준으로 5%로 검정할 때, 기각역과 검정통계량(u0)의 값은 약 얼마인가? 34 샘플링 검사보다 전수검사가 유리한 경우는? 35 10톤씩 적재하는 100대의 화차에서 5대의 화차를 샘플링하여 각 화차로부터 3인크리먼트씩 랜덤하게 시료를 채취하는 샘플링 방법은? 36 A대학 산업공학과 학생들의 통계학 시험성적을 분석한 결과 성적분포가 N(70, 82)이었다. 72.08점 이상 80.0점 이하인 학생에게 B학점을 주고자 한다. B학점을 받을 학생의 비율은 몇 %인가? (단, u0.6026=0.26, u0.6915=0.5, u0.9332=1.5, u0.8944=1.25이다.)
37 임의의 2로트(lot)로부터 각각 크기가 8과 10인 시료를 채취하여 모평균의 차를 검정하려고 한다. 사용되는 검정통계량의 자유도는? (단, 등분산인 경우이다.) 38 공정에서 작은 변화의 발생을 빨리 탐지하기 위한 방법으로 가장 거리가 먼 것은? 39 두 모집단에서 각각 n1=5, n2=6으로 추출하여 어떤 특정치를 측정한 결과가 다음의 데이터와 같았다. 모분산비의 검정을 위한 검정통계량은 약 얼마인가? 40 다음은 일정 단위당 확인한 시료군(k)에 대한 부적합수(c) 자료이다. c관리도의 중심선은 약 얼마인가? 41 간판시스템에서 작업장에서 부품의 수요율이 1분당 3개이고, 용기당 30개의 부품을 담을 수 있는 경우 필요한 간판의 수는? (단, 순환시간은 100분이다.) 42 일반적으로 공정대기 현상을 유발시키는 요인과 가장 거리가 먼 것은? 43 수요예측에서 지수평활계수(α)의 결정시의 설명으로 맞는 것은? 44 단일설비 순서 계획을 위한 우선순위규칙 중 작업의 납기를 명시적으로 고려하는 것은? 45 각 작업의 작업시간과 납기가 다음과 같을 때 최단처리시간법으로 작업의 우선순위를 결정하려고 한다. 이 때 평균완료시간과 평균납기 지연시간은 각각 며칠인가? (단, 오늘은 3월 1일 아침이다.) 46 적시생산시스템(JIT)의 특징이 아닌 것은? 47 테일러 시스템과 포드 시스템에 관한 설명으로 틀린 것은? 48 생산운영관리에서 다루는 생산 시스템에 관한 설명으로 맞는 것은?
61 와이블 분포에 관한 설명으로 틀린 것은? 62 어떤 기기의 수명이 평균 500시간, 표준편차 50시간인 정규분포를 따른다. 이 제품을 400시간 사용하였을 때의 신뢰도는 약 얼마인가? (단, u0.993S=2.5, u0.9772=2.0, u0.9332=1.5, u0.8413=1.0이다.) 63 KS A 3004(용어-신인성 및 서비스 품질)에서 정의하고 있는 고장에 관한 용어 중 시험결과를 해석하거나 신뢰성의 척도를 계산하는데 포함되어야 하는 고장으로 판정기준을 미리 명확히 해 두어야 하는 것은? 64 어떤 부품을 신뢰수준 90%, C=1에서 λ1=1%/103시간임을 보증하기 위한 계수 1회 샘플링검사를 실시하고자 한다. 이때 시험기간 t를 1,000시간으로 할 때, 샘플수는 몇 개인가? (단, 신뢰수준은 90%로 한다.) 65 초기고장 기간에 발생하는 고장의 원인이 아닌 것은? 66 수명시험 방식 중 정시중단방식의 설명으로 맞는 것은? 67 규정 시간을 사용하였을 때의 부품의 신뢰도가 0.45밖에 되지 않는다. 그런데 이 부품이 사용되는 곳의 신뢰도는 0.95가 되어야 한다. 따라서 병렬 리던던시 설계에 의거 이 부품이 사용되는 곳의 신뢰도를 증대시키려고 한다. 신뢰성 목표치의 달성을 위해서는 몇 개의 부품을 병렬로 연결 하여야 하는가? 68 와이블 확률지에 수명 데이터를 타점하여 형상 파라미터 m을 구했을 때 디버깅(debugging)이 가장 유효한 경우는? 69 어떤 재료의 강도는 평균이 40kg/mm2이고, 표준편차가 4kg/mm2인 정규분포를 따른다. 이 재료에 걸리는 부하는 평균이 25kg/mm2이고, 표준편차가 3kg/mm2이다. 이때 재료가 파괴될 확률은 약 얼마인가? (단, P(u>2=0.02275), P(u>3)=0.00135이다.) 70 FMEA 방법에 대한 설명으로 트린 것은? 71 고유 가동성(inherent availability)의 척도로 맞는 것은? 72 Y회사에서는 와이블 분포에 의거하여 제품의 고장시간 데이터를 해석하고, 그 신뢰도를 추정하고 있다. 그 이유로서 가장 적절한 것은?
73 지수분포의 수명을 갖는 부품 n개를 시험하여 고장개수가 r개가 되었을 때 관측을 중단하였다. 총시험시간(T)을 이라고 할 때, 평균수명시간의 양쪽신뢰구간을 맞게 표현한 것은? 74 A, B, C 3개의 부품이 지수분포를 따르면서 직렬로 연결된 시스템의 MTBF를 100시간 이상으로 하고자 할 때, C의 MTBF는? (단, MTBFA=300시간, MTBFB=600시간이다.) 75 수명이 지수분포를 따르는 동일한 제품에 대하여 두 온도 수준에서 각각 20개씩 수명시험을 실시하여 다음과 같은 데이터를 얻었다. 이때 가속계수는 약 얼마인가? 76 다음 FTA에서 정상사상의 고장확률은? (단, FA=0.02, FB=0.05, FC=0.03이다.) 77 고장률 λ=0.01/hr를 갖는 지수분포를 따르는 동일한 부품으로 구성된 4중 2 구조 시스템의 MTBF는 약 얼마인가? 78 신뢰성 배분(reliability allocation)의 목적으로 맞는 것은? 79 10개의 부품에 대하여 500시간 수명시험 결과 38, 68, 134, 248, 470시간에 각각 고장이 발생하였을 때 평균 고장률은? (단, 고장시간은 지수분포를 따른다.) 80 시스템이 고장상태에서 정상상태로 회복하는 시간(보전시간)을 t라고 할 때, t=0에서 보전도 함수 M(t)의 값은? 81 그래프 중 수량의 크기를 비교할 목적으로 주로 사용하는 것은? 82 품질관리의 4대 기능 중 품질의 설계단계에서 실행하는 업무로 맞는 것은? 83 표준의 서식과 작성방법(KS A 0001:2015)에 관한 사항 중 틀린 것은? 84 공정능력지수(Cp)로 공정능력을 평가할 경우의 판단 기준으로 맞는 것은?
85 품질전략을 수립할 때 계획단계(전략의 형성 단계)에서 SWOT분석을 많이 활용하고 있다. 여기서 “T”는 무엇인가? 86 품질비용의 3가지 분류항목에 해당되지 않는 것은? 87 품질관리업무를 명확히 하는데 있어 기능전개방법이 매우 유효한데 미즈도 박사가 주장하는 4가지 관리항목에 해당되지 않는 것은? 88 품질분임조 활동 시 주제를 선정하는 방법으로 틀린 것은? 89 품질경영시스템 – 기본사항과 용어(KS Q ISO 9000:2015)에서 최고경영자에 의해 공식적으로 표명된 품질 관련 조직의 전반적인 의도 및 방향을 나타내는 것은? 90 기업이 고객과 관련된 조직의 내ㆍ외부 정보를 층별ㆍ분석ㆍ통합하여 고객 중심 자원을 극대화하고, 고객특성에 맞는 마케팅활동을 계획ㆍ지원 평가하는 방법으로 장기적인 고객관계를 가능하게 하는 방법은? 91 사내표준에 대한 설명으로 틀린 것은? 92 산업표준화법령상 품질관리담당자가 받아야 하는 양성교육 및 정기교육의 내용이 아닌 것은? 93 제조물 책임법에서 규정하는 용어의 정의에 대한 내용으로 틀린 것은? 94 서비스 품질을 정의할 수 있다고 해도 서비스 품질을 측정하기는 쉽지 않은 이유의 설명으로 틀린 것은? 95 신제품개발, 신기술개발 또는 제품책임문제의 예방 등과 같이 최초의 시점에서는 최종결과까지의 행방을 충분히 짐작할 수 없는 문제에 대하여, 그 진보과정에서 얻어지는 정보에 따라 차례로 시행되는 계획의 정도를 높여 적절한 판단을 내림으로써 사태를 바람직한 방향으로 이끌어 가거나 중대 사태를 회피하는 방책을 얻는 방법은? 96 아래와 같이 조립품의 구멍과 축의 치수가 주어졌을 때 평균 틈새는?
App Store Google Play
오늘학습 예시 이미지

시험에 합격하려면
복습을 제대로 해야 합니다.

오늘학습은 스스로 기억을 떠올리고 계획적으로 복습할 수 있도록 설계돼 있어요.
그것도, 가장 과학적인 방식으로요!

능동적 회상

능동적 회상
(Active Recall)

배운 내용을 단순 읽으며 반복하는 것이 아니라,
능동적으로 기억하고 있는지를
스스로 테스트하며
공부할 수 있는
학습 환경을 제공해 학습 효과를 높여요

간격 반복 학습

간격 반복 학습
(Spaced Repetition)

에빙하우스 망각곡선을 바탕으로
가장 최적의 시점에 복습을 제공하여
배운 내용이 잊히지 않도록 장기 기억화해요

Data 기반의
뇌과학적 복습 시스템

학습 결과 Data를 분석해, 문제별 최적화된
반복 학습량을
자동으로 분배해요.
학습에 소요되는 시간을 최소화하는
동시에
단기 기억을 장기 기억으로 전환해줘요.

36만 개 이상의
기출문제 무료 제공

공무원 및 약 300여종의 자격증 시험 기출문제
36만개
이상을 무료로 이용할 수 있어요.
여러 앱을 설치할 필요
없이, 오늘학습 하나로
모든 시험을 준비할 수 있어요.

다양한 문제 유형으로 만드는
나만의 단어장&문제집

기출 외에도 외워야 하는 내용은
객관식, 주관식, 카드, 빈칸
등 다양한 형식으로
직접 만들어 보세요. 내 학습 스타일에
맞게
나만의 단어장과 문제집을 만들 수 있어요.

시험별 체계적인
문제 관리

시험에 문제를 추가해 체계적으로
관리할 수 있어요.
주제나 단원별로
분류하고 싶다면,
시험에 챕터를 만들어
문제를 추가할 수도 있어요.

수십만 명이
오늘학습을 사랑합니다

앱 스토어 평점 4.9
구글 플레이 평점 4.8
누적 회원수 100,000+
지금 오늘학습을
시작해보세요
지금 시작하기
문제 선택