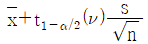
모표준편차를 모르는 경우 H0 : μ ≥ μ0, H1 : μ < μ0 의 검정에 있어서 귀무가설이 기각되는 경우 모평균의 신뢰한계를 추정하는 식은?
지금 시작하기 →

・・・ 문제은행 품질경영기사(2022년 2회) 35번

품질경영기사 2022년 04월 35번

모표준편차를 모르는 경우 H0 : μ ≥ μ0, H1 : μ < μ0 의 검정에 있어서 귀무가설이 기각되는 경우 모평균의 신뢰한계를 추정하는 식은?

1
2
3
4
단축키
이전 문제로 이동은 키를 누르고, 다음 문제로 이동은 키를 누르세요
이전 문제 , 다음 문제
문제(100)
1 다음은 A, B, C의 요인으로 각 2수준계 8조의 23 형 요인실험을 랜덤으로 행한 데이터이다. 이 때 SA의 값은? 2 23형의 교락법에서 인수분해식을 이용하여 단독교락을 실시하려 할 때의 설명 중 틀린 것은? 3 A요인의 수준수가 3인 실험을 5회 반복하여 ST = 668, SA = 190을 얻었다. 오차항의 분산 를 추정하면 약 얼마인가? 4 원래 농사시험에서 고안된 실험법으로 큰 실험구를 주구로 분할한 후 주구내 실험단위를 세구로 등분하여 실험하는 실험방법은? 5 L16(215) 직교배열표를 이용한 실험계획에서 2 수준요인 효과를 최대로 몇 개까지 배치할 수 있는가? 6 난괴법 실험에서 분산분석결과 A(모수요인)이 유의한 경우, 요인 A의 각 수준에서 모평균 μ(Ai)의 신뢰구간 추정식은? (단, ν*는 Satterthwaite 자유도이다.) 7 제품에 영향을 미치고 있다고 생각되는 요인 A와 요인 B를 랜덤하게 반복 없는 2요인 실험을 실시하여 다음과 같은 자료를 얻었다. 이 때의 수정항(CT)과 총제곱합(ST)은 각각 얼마인가? 8 계량 및 계수치 요인에 대한 설명으로 틀린 것은? 9 선형식(L)이 다음과 같을 때, 이 선형식의 단위수는? 10 4대의 기계(A)와 이들 기계에 의한 제조공정시 열처리 온도(B:2수준)의 조합 AiBj에서 각각 n개씩의 제품을 만들어 검사할 때 적합품이면 0, 부적합품이면 1의 값을 주기로 한다. 이 때 데이터의 구조는? 11 다구찌는 사회지향적인 관점에서 품질의 생산성을 높이기 위하여 다음과 같이 정의하였다. 품질항목에 속하지 않는 것은? 12 반복이 있는 2요인 실험 혼합모형에서 다음과 같은 분산분석표를 구했다. ( ㉠ )에 들어갈 값은 얼마인가? (단, A는 모수요인, B는 변량요인이다.)
13 다음은 변량요인 A와 B로 이루어진 지분실험법의 분산분석표이다. E(VA)를 나타낸 식으로 맞는 것은? 14 직물 가공 공정에서 처리액의 농도(A) 5수준에서 4회씩 반복 실험하여 직물의 강도를 측정하였다. 농도와 강도의 관련성을 회귀식을 이용하여 규명하고자 다음과 같은 분산분석표를 얻었다. 이와 관련된 설명으로 틀린 것은? 15 7개의 3수준 요인들의 주효과에만 관심이 있다. 어느 직교배열표를 사용하는 것이 가장 경제적인가? 16 라틴방격법에서 요인 A, B, C가 있다. 수준수는 각각 4이고, 반복 2회의 실험을 하였을 때, 오차항의 자유도는 얼마인가? 17 25형의 1/4 실시 실험에서 이중교락을 시켜 블록과 ABCDE, ABC, DE를 교락시켰다. AD와 별명관계가 아닌 것은? 18 공장 내의 여러 분석자 중에서 랜덤하게 5명의 분석자를 선택하여 그들의 분석결과로서 공장 내 분석자의 측정산포를 고려하였다면, 이 모형은? 19 3요인 A, B, C 모수모형의 반복이 없는 3요인 실험에서 각 제곱합을 구하는 관계식으로 맞는 것은? 20 1요인 실험에서 아래의 데이터를 얻었다. SA의 값은? 21 A회사와 B회사의 제품에서 각각 150개, 200개를 추출하여 부적합품수를 찾아보니 각각 30개, 25개이었다. 두 회사 제품의 부적합품률의 차를 검정하기 위한 검정통계량은 약 얼마인가? 22 계수형 축차 샘플링 검사방식(KS Q ISO 28591)에서 hA = 1.445, hR= 1.885, g = 0.110 일 때, n<nt 조건에서의 합격판정치(A)는? 23 n = 5인 고-저(H-L) 관리도에서 , 일 때, UCL과 LCL을 구하면 약 얼마인가? (단, n = 5 일 때 H2 = 1.363 이다.) 24 어떤 제품의 품질 특성치는 평균 μ, 분산 σ2인 정규분포를 따른다. 20개의 제품을 표본으로 취하여 품질 특성치를 측정한 결과 평균 10, 표준편차 3을 얻었다. 분산 σ2에 대한 95% 신뢰구간은 약 얼마인가? (단, χ20.975(19) = 32.852, χ20.025 = 8.907 이다.)
25 철강재의 인장강도는 클수록 좋다. 평균치가 46kg/mm2 이상인 로트는 합격시키고, 43kg/mm2 이하인 로트는 불합격시키는 경우의 합격 판정치는? (단, σ = 4kg/mm2, α = 0.05, β = 0.10, 인 경우, n = 15, G0 = 0.4111 이다.) 26 전수검사가 불가능하여 반드시 샘플링검사를 하여야 하는 경우는? 27 OC 곡선에서 소비자 위험을 가능한 작게 하는 샘플링 방식은? 28 A 자동차 회사의 신차종 K 자동차는 신차 판매 후 30일 이내에 보증수리를 받을 확률이 5%로 알려져 있다. 신규 판매한 자동차 5대를 추출하여 30일 이내에 보증수리를 받는 차량 수의 확률에 관한 내용으로 틀린 것은? 29 는 2개의 층 A, B간 평균치의 차를 검정할 때 사용한다. 이 식의 전제조건으로 틀린 것은? (단, k는 시료군의 수, n은 시료군의 크기이다.) 30 어떤 공장에서 A, B, C 기계의 고장횟수는 아래 표와 같다. 기계에 따라 고장횟수가 차이가 있는지 검정하고자 할 때의 설명으로 틀린 것은? 31 다음의 데이터로서 유의수준 5%로 평균치의 신뢰구간을 구하면 약 얼마인가? (단, t0.975(9) = 2.262, t0.975(10) = 2.228 이다.) 32 관리도에 관한 설명으로 거리가 가장 먼 것은? 33 부적합수와 관련하여 표본의 면적이나 길이 등이 일정하지 않은 경우에 사용하는 관리도는? 34 다음의 두 상관도에서 (a), (b)에서 x, y 사이의 표본상관계수에 대한 크기를 비교한 것으로 맞는 것은? 35 모표준편차를 모르는 경우 H0 : μ ≥ μ0, H1 : μ < μ0 의 검정에 있어서 귀무가설이 기각되는 경우 모평균의 신뢰한계를 추정하는 식은? 36 계수형 샘플링 검사 절차 – 제1부 : 로트별 합격품질한계(AQL) 지표형 샘플링검사방식(KS Q ISO 2859-1)에서 검사수준에 관한 설명 중 틀린 것은?
37 샘플링 오차에 대한 검토 시 측정치의 분포에 주목하여 통계적인 방법으로 어떠한 조치를 취하여야 되겠는가를 모색해야 한다. 이 때 오차의 검토순서로 가장 타당한 것은? 38 어떤 기체로 만들어지는 샤프트의 직경은 평균치 3.000cm, 표준편차 0.010cm의 정규분포를 한다. 이 직경의 규격을 3.0±0.01cm 로 하면, 부적합품률은? 39 추정에 관한 설명으로 틀린 것은? 40 관리도에서 관리계수(Cf)가 1.33 이라면 해당 공정에 대한 판단은? 41 PERT에서 어떤 활동의 3점 시간견적결과 (4, 9, 10)을 얻었다. 이 활동시간의 기대치와 분산은 각각 얼마인가? 42 다음의 MRP(Material Requirements Planning) 특징으로 맞는 것을 모두 선택한 것은? 43 JIT시스템에서 소로트화의 특징이 아닌 것은? 44 고객의 요구를 효율적으로 충족시키기 위해 공급자, 생산자, 유통업자 등 관련된 모든 단계의 정보와 자재의 흐름을 계획, 설계 및 통제하는 관리기법은? 45 목표생산주기시간(사이클 타임)을 구하는 공식으로 맞는 것은? (단, ∑ti 는 총 작업 소요시간, Q는 목표생산량, a는 부적합품률, y는 라인의 여유율이다.) 46 소모품과 같이 종류가 많고 비교적 중요하지 않은 값싼 것에 대해서는 납품업자 1개사를 지정하여 그 업자에게 모든 것을 맡겨 전문적으로 납품시키는 구매계약 방법은? 47 설비배치의 형태에 영향을 주는 요인이 아닌 것은? 48 A, B, C, D 4개의 작업은 모두 공정 1을 먼저 거친 다음에 공정 2를 거친다. 작업량이 적은 순으로 작업순위를 결정한다면 최종작업이 공정 2에서 완료되는 시간은?
49 가중이동평균법에서 최근 자료에 높은 가중치를 부여하는 가장 큰 이유는? 50 지수평활계수(α)에 대한 설명으로 맞는 것은? 51 다음과 같은 제품을 생산하는데 적합한 배치방식은 무엇인가? 52 고정비(F), 변동비(V), 개당 판매가격(P), 생산량(Q)이 주어졌을 때 손익분기점을 산출하는 식은? 53 단일설비 일정계획에서 작업시간이 가장 짧은 작업부터 우선적으로 처리하는 작업순위 규칙은? 54 어느 프레스공장에서 프레스 10대의 가동상태가 정지율 25%로 추정되고 있다. 이 때 워크샘플링법에 의해서 신뢰도 95%, 상대오차 ±10%로 조사하고자 할 때 샘플의 크기는 약 몇 회인가? (단, u0.025 = 1.96, u0.05 = 1.645 이다.) 55 제품 생산 시 발생되는 데이터를 실시간으로 수집하고 조회하며, 이들 정보를 통하여 생산 통제를 하는 1차 기능과 분석 및 평가를 통한 생산성향상을 기할 수 있는 시스템은? 56 고정주문량 모형의 특징을 설명한 것으로 맞는 것은? 57 다음은 자주보전 7가지 단계의 내용이다. 순서를 맞게 나열한 것은? 58 동작경제의 원칙 중 “공구의 기능을 결함하여 사용하도록 한다.”는 원칙은? 59 설비보전에 관한 공식 중 틀린 것은? 60 인간이 행하는 손동작을 17가지 내지 18가지의 기본적인 동작으로 구분하고, 작업자의 수동작을 분석하여 작업자의 작업동작을 개선하기 위한 동작분석 방법은?
61 제품의 신뢰성은 고유 신뢰성과 사용 신뢰성으로 구분된다. 사용 신뢰성의 증대방법에 속하는 것은? 62 수명분포가 지수분포를 따르는 경우에 관한 설명 중 틀린 것은? 63 동일한 부품 2개의 직렬체계에서 리던던시 부품 2개를 추가할 때 가장 신뢰도가 높은 구조는? 64 다음 표는 고장평점법의 고장 등급에 따른 고장구분, 판단기준 및 대책을 나타낸 것이다. 내용이 틀린 등급은? 65 신뢰도가 0.95인 부품이 직렬로 결합되어 시스템을 구성한다면, 시스템의 목표 신뢰도 0.90을 만족시키기 위한 부품의 수는? 66 20개의 동일한 설비를 6개가 고장이 날 때까지 시험을 하고 시험을 중단하였다. 시험결과 6개 설비의 고장시간은 각각 56, 65, 74, 99, 105, 115 시간째 이었다. 이 제품의 수명이 지수분포를 따르는 것으로 가정하고, 평균수명에 대한 90% 신뢰구간추정 시 하측신뢰한계 값을 구하면 약 얼마인가? (단, χ20.95(12) = 21.03, χ20.95(14) = 23.68, χ20.975(12) = 23.34, χ20.975(14) = 26.12 이다.) 67 각 부품의 신뢰도가 R로 일정한 2 out of 4 시스템의 신뢰도는? 68 샘플수가 35개, n 시간까지의 누적고장개수가 22개일 때, 신뢰도 R(t)를 평균수위법을 이용하여 구하면 약 얼마인가? 69 Y부품의 고장률이 0.5×10-5/시간이다. 하루 24시간 씩 1년간 작동한다고 할 때, 이 부품이 1년 이상 작동할 확률을 구하면 약 얼마인가? (단, 1년간 작동일수는 360일 이다.) 70 와이블(Weibull) 확률지에 관한 설명으로 맞는 것은? 71 고장시간이 지수분포를 따르고, 평균수명이 100시간인 2개의 부품이 병렬결합모델로 구성되어 있을 때 150시간에서의 신뢰도는 약 얼마인가? 72 부하-강도 모형(stress-strength model)에서 고장이 발생할 경우에 관한 설명으로 틀린 것은?
73 고장밀도함수가 지수분포를 따를 때, MTBF 시점에서 신뢰도의 값은? 74 보전도 M(t)가 지수분포를 따른다면 M(t) = 1 – e-μt 가 된다. 그렇다면 1/μ 는 무엇을 의미하는가? 75 정상전압 220V의 콘덴서 10개를 가속전압 260V에서 3개가 고장날 때까지 가속수명시험을 하였더니 63, 112, 280시간에 각각 1개씩 고장났다. 가속계수값이 2.31인 경우 α(알파)승법칙을 사용하여 정상전압에서의 평균 수명시간을 구하면 약 얼마인가? 76 어느 가정의 연말 크리스마스트리가 50개의 전구로 구성되어 있다. 이 트리를 점등 후 연속사용 할 때, 1000시간까지 고장 난 개수가 30개 이다. 이 때 1000시간까지 전구의 신뢰도는? 77 FTA 작성 시 모든 입력사상이 고장날 경우에만 상위사상이 발생하는 것은? 78 Y기계의 평균고장률은 0.0125/시간이고, 고장 시 평균수리시간은 20시간이었다. 이 기계의 가용도(Availability)는? (단, 고장시간과 수리시간은 지수분포를 따른다.) 79 신뢰성 샘플링 검사에서 MTBF와 같은 수명 데이터를 기초로 로트의 합부판정을 결정하는 것은? 80 시스템의 수명곡선이 욕조곡선(bath-tub curve)을 따를 때, 우발고장기간의 고장률에 해당하는 것은? 81 품질 코스트의 집계단계에서 수행하는 업무가 아닌 것은? 82 파라슈라만(Parasuraman) 등이 제시한 SERVQUAL 모델에 대한 설명으로 틀린 것은? 83 연구개발, 산업생산, 시험검사 현장 등에서 측정한 결과가 명시된 불확정 정도의 범위 내에서 국가측정표준 또는 국제측정표준과 일치되도록 연속적으로 비교하고 교정하는 체계를 의미하는 용어는? 84 국가 규격의 연결이 잘못된 것은?
85 기업 입장에서 제품책임과 관련한 소송이 발생 하였을 경우 이에 대한 대책(PLD)으로 거리가 가장 먼 것은? 86 품질보증의 의의로 가장 적합한 것은? 87 최초의 시점에서는 최종결과까지의 행방을 충분히 짐작할 수 없는 문제에 대하여, 그 진보과정에서 얻어지는 정보에 따라 차례로 시행되는 계획의 정도를 높여 적절한 판단을 내림으로써 사태를 바람직한 방향으로 이끌어가거나 중대 사태를 회피하는 방책을 얻는 방법은? 88 도수본포표를 작성할 때 일반적으로 계급의 수를 결정하는 방법이 아닌 것은? (단, n은 데이터의 수이고, 최소 100개 이상인 경우이다.) 89 측정기(계량기)의 측정오차 중 동일 측정조건하에서 같은 크기와 부호를 갖는 오차로서 측정기를 미리 검사·보정하여 측정값을 수정할 수 있는 계통오차(calibration error)에 해당하지 않는 것은? 90 기업이 조직의 구성원들에게 품질에 관한 사고를 지니도록 유도하는 조직론적 방법 중 하나로서 동일한 직장에서 품질경영활동을 자주적으로 하는 활동은? 91 표준화의 원리에 대한 설명으로 틀린 것은? 92 모티베이션 운동은 그 추진 내용면에서 볼 때 동기 부여형과 불량 예방형으로 나눌 수 있다. 동기 부여형의 활동에 해당되지 않는 것은? 93 품질비용의 분류에서 예방비용에 해당되는 것은? 94 게하니(Gehani) 교수가 구상한 품질가치사슬구조로 볼 때 최고 정점에 있다고 본 전략종합품질에 대한 품질선구자의 사상에 해당하는 것은? 95 품질경영시스템-요구사항(KS Q ISO 9001)에서 프로세스 접근법을 적용했을 때, 가능한 사항이 아닌 것은? 96 품질전략을 수립할 때 계획단계(전략의 형성단계)에서 SWOT 분석을 많이 활용하고 있다. 여기서 SWOT 분석 시 고려되는 항목이 아닌 것은?
App Store Google Play
오늘학습 예시 이미지

시험에 합격하려면
복습을 제대로 해야 합니다.

오늘학습은 스스로 기억을 떠올리고 계획적으로 복습할 수 있도록 설계돼 있어요.
그것도, 가장 과학적인 방식으로요!

능동적 회상

능동적 회상
(Active Recall)

배운 내용을 단순 읽으며 반복하는 것이 아니라,
능동적으로 기억하고 있는지를
스스로 테스트하며
공부할 수 있는
학습 환경을 제공해 학습 효과를 높여요

간격 반복 학습

간격 반복 학습
(Spaced Repetition)

에빙하우스 망각곡선을 바탕으로
가장 최적의 시점에 복습을 제공하여
배운 내용이 잊히지 않도록 장기 기억화해요

Data 기반의
뇌과학적 복습 시스템

학습 결과 Data를 분석해, 문제별 최적화된
반복 학습량을
자동으로 분배해요.
학습에 소요되는 시간을 최소화하는
동시에
단기 기억을 장기 기억으로 전환해줘요.

36만 개 이상의
기출문제 무료 제공

공무원 및 약 300여종의 자격증 시험 기출문제
36만개
이상을 무료로 이용할 수 있어요.
여러 앱을 설치할 필요
없이, 오늘학습 하나로
모든 시험을 준비할 수 있어요.

다양한 문제 유형으로 만드는
나만의 단어장&문제집

기출 외에도 외워야 하는 내용은
객관식, 주관식, 카드, 빈칸
등 다양한 형식으로
직접 만들어 보세요. 내 학습 스타일에
맞게
나만의 단어장과 문제집을 만들 수 있어요.

시험별 체계적인
문제 관리

시험에 문제를 추가해 체계적으로
관리할 수 있어요.
주제나 단원별로
분류하고 싶다면,
시험에 챕터를 만들어
문제를 추가할 수도 있어요.

수십만 명이
오늘학습을 사랑합니다

앱 스토어 평점 4.9
구글 플레이 평점 4.8
누적 회원수 100,000+
지금 오늘학습을
시작해보세요
지금 시작하기
문제 선택