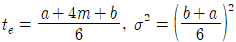
PERT 기법에서 낙관적 시간을 a, 정상시간을 m, 비관적 시간을 b로 주어졌을 때, 기대시간의 평균(te)과 분산(σ2)을 구하는 식으로 맞는 것은?
지금 시작하기 →

・・・ 문제은행 품질경영기사(2021년 2회) 47번

품질경영기사 2021년 05월 47번

PERT 기법에서 낙관적 시간을 a, 정상시간을 m, 비관적 시간을 b로 주어졌을 때, 기대시간의 평균(te)과 분산(σ2)을 구하는 식으로 맞는 것은?

1
2
3
4
단축키
이전 문제로 이동은 키를 누르고, 다음 문제로 이동은 키를 누르세요
이전 문제 , 다음 문제
문제(100)
1 23 형 요인실험에서 수준의 조와 데이터는 다음과 같을 때, 요인 A의 주효과는? 2 난괴법의 조건이 아닌 것은? 3 모수요인 A는 4수준, 모수요인 B는 3수준인 반복이 없는 2 요인 실험에서 SA=2.22, SB=3.44, ST=6.22 일 때, Se는 얼마인가? 4 L16(215) 형 직교배열표를 사용할 때, A요인을 기본표시 ab에 B요인을 기본표시 bcd 에 배치하였다. A×B는 어떤 기본표시를 가진 열에 배치시켜야 하는가? 5 어떤 부품에 대해 다수의 로트(lot)에서 랜덤하게 3로트(A1, A2, A3)를 골라 각 로트에서 또한 랜덤하게 5개씩을 임의 추출하여 치수를 측정했을 때의 설명으로 틀린 것은? 6 다음 표와 같이 1요인 실험 계수치 데이터를 얻었다. 적합품을 0, 부적합품을 1로 하여 분산분석한 결과 오차의 제곱합(Se)은 60.4를 얻었다. 기계 A2에서의 모부적합품에 대한 95%신뢰구간을 구하면 약 얼마인가? 7 A, B, C모두 모수요인이고, 반복 없는 3요인 실험에서 교호작용 A×B, A×C, BXC가 모두 오차항에 풀링한 후 인자들을 검토한 결과 A, B만 유의하고, C요인은 무시할 수 있을 때, 값과 ne값은? 8 반복수가 같은 1요인 실험에서 오차항의 자유도는 35, 총자유도는 41 일 경우, 수준수 및 반복수는 각각 얼마인가? 9 4 요인(factor) A, B, C, D에 관한 24 형 요인실험의 일부실시(fractional replication)에서 정의대비(defining contrast)를 I=ABCD 로 하였을 때 별명관계(alias relation)로 맞는 것은? 10 L27(313) 형 직교배열표에서 만일 취하는 요인의 수가 10이면, 오차에 대한 자유도는? (단, 교호작용을 무시할 경우이다.) 11 kxk 라틴방격에서의 가능한 배열방법의 수를 계산하는 식은? 12 교락법의 실험을 여러 번 반복하여도 어떤 반복에서나 동일한 요인효과가 블록효과와 교락되어 있는 경우의 교락실험 설계방법은?
13 로트 간 또는 로트 내의 산포, 기계간의 산포, 작업자간의 산포, 측정의 산포 등 여러 가지 샘플링 및 측정의 정도를 추정하여 샘플링 방식을 설계하거나 측정방법을 검토하기 위한 변량요인들에 대한 실험설계 방법으로 가장 적합한 것은? 14 제품의 품질특성치가 잡음(noise)에 의한 영향을 받지 않거나 덜 받게 하기 위하여 다구찌 방법을 적용하고자 할 때, 가장 효과적인 단계는? 15 실험계획법의 순서가 맞는 것은? 16 4종류의 제품 관계에서 유도한 선형식(L)이 다음과 같았다. A1=9, A2=41, A3=26, A4=38일 때, 이 선형식이 대비라면 L에 대한 제곱합 SL은 얼마인가? 17 2요인 실험에서 A, B 모두 모수요인인 경우 교호작용의 평균제곱의 기대치(E(VA×B))로 맞는 것은? (단, A는 5수준, B는 6수준, 반복 2회의 실험이다.) 18 4수준의 1차 요인 A와 2수준의 2차 요인 B, 블록반복 2회의 실험을 1차 단위가 1 요인 실험인 단일 분할법에 의하여 행하였다. 1차 요인 오차의 자유도는 얼마인가? (단, A, B는 모두 모수요이다.) 19 다음의 분산분석표를 보고 내린 결론으로 틀린 것은? 20 요인의 수준 l=4, 반복수 m=3으로 동일한 1 요인 실험에서 총제곱합(ST)은 2.383, 요인 A의 제곱합(SA)은 2.011 이었다. μ(Ai) 와 μ(Ai')의 평균치 차를 α=0.05로 검정하고 싶다. 평균치 차의 절대값이 약 얼마보다 클 때 유의하다고 할 수 있는가? (단, t0.95(8)=1.860, t0.975(8)=2.306 이다.) 21 정규 모집단으로부터 n=15의 랜덤샘플을 취하여 에 의거, 신뢰구간 (0.0691, 0.531)을 얻었을 때의 설명으로 맞는 것은? 22 N(65, 12)을 따르는 품질 특성치를 위해 3σ 의 관리한계를 갖는 개별치(X) 관리도를 작성하여 공정을 모니터링하고 있다. 어떤 이상요인으로 인해 품질특성치의 분포가 N(67, 12)으로 변화되었을 때, 관리도의 타점이 X관리도의 관리한계를 벗어날 확률은 약 얼마인가? (단, Z가 표준정규변수일 때, P(Z≤1)=0.8413, P(Z≤1.5)=0.9332, P(Z≤2)=0.9772이며, 관리하한을 벗어나는 경우의 확률은 무시하고 계산한다.) 23 F분포표로 부터 F0.95(1, 8)=5.32 를 알고 있을 때, t0.975(8)의 값은 약 얼마인가? 24 모부적합품률에 대한 검정을 할 때, 검정통계량으로 맞는 것은?
25 다음의 그림에 대한 설명으로 맞는 것은? (단, μm : 측정치 분포의 평균치, σm : 측정치 분포의 표준편차, x : 실제 측정값, μ : 참값이다.) 26 임의의 두 사상 A, B가 독립사상이 되기 위한 조건은? 27 계수형 샘플링검사 절차-제1부: 로트별 합격품질한계(AQL) 지표형 샘플링검사 방식(KS Q ISO 2859-1)의 보통검사에서 수월한 검사로의 전환규칙으로 틀린 것은? 28 검정이론에 대한 설명으로 틀린 것은? 29 두 집단의 모평균 차의 구간추정에 있어서 σ12, σ22를 알고 있고, σ12=σ22=σ2, n1=n2=n 일 때 의 표준편차 는? 30 ∑c=80, k=20일 때 c관리도(count control chart)의 관리 하한(lower control limit)은? 31 관리도를 이용하여 제조공정을 통계적으로 관리하기 위한 기준값이 주어져 있는 경우의 관리도에 대한 설명으로 틀린 것은? 32 계수형 축차 샘플링검사 방식(KS Q ISO 28591 : 2017)에서 QCR 이 뜻하는 내용으로 맞는 것은? 33 표본평균()의 표준오차를 원래 값의 1/8로 줄이기 위해서는 표본의 크기를 원래보다 몇 배 늘려야 하는가? 34 OC 곡선에 대한 설명으로 틀린 것은? (단, N은 로트의 크기, n 은 시료의 크기, Ac는 합격판정개수이다.) 35 샘플링(sampling)검사와 전수검사를 비교한 설명으로 틀린 것은? 36 100 개의 표본에서 구한 데이터로부터 두 변수의 상관계수를 구하니 0.8이었다. 모상관계수가 0이 아니라면, 모상관계수와 기준치와의 상이검정을 위하여 z 변환하면, z 의 값은 약 얼마인가? (단, 두 변수 x, y는 모두 정규분포에 따른다.)
37 샘플의 크기가 5인 -R관리도가 안정상태로 관리되고 있다. 관리도를 작성한 전체 데이터로 히스토그램을 작성하여 계산한 표준편차(σH)가 19.5 이고, 군내산포(σw)가 13.67 이었다면 군간산포(σb)는 약 얼마인가? 38 어느 지역 유치원은 남자가 여자보다 1.5배 많다고 알려져 있다. 이 주장을 검정하기 위하여 해당 지역의 유치원을 임의로 방문하여 조사하였더니 남자, 여자의 수가 각각 120 명, 100 명이었다. 적합도 검정을 할 때, 검정통계량은 약 얼마인가? 39 측정대상이 되는 생산로트나 배치 (batch)로부터 1개의 측정치 밖에 얻을 수 없거나 측정에 많은 시간과 비용이 소요되는 경우에 이동범위를 병용해서 사용하는 관리도는? 40 그림은 로트의 평균치를 보증하는 계량규준형 1회 샘플링 검사를 설계하는 과정을 나타낸 것이다. 특성치가 망대특성일 경우 다음 설명 중 틀린 것은? 41 생산의 경제성을 높이기 위해 예방보전, 사후보전, 개량보전, 보전예방 활동을 의미하는 것은? 42 총괄생산계획(APP) 기법 중 선형결정기법(LDR)에서 사용되는 근사 비용함수에 포함되지 않는 비용은? 43 ABC 분석에서 부분적으로 영향을 미치는 구성요소들로서 공식적인 보전관리보다는 가장 간소한 관리를 수행하는 그룹은? 44 정상적인 페이스와 관측대상 작업의 페이스를 비교 판단하고 관측 시간치를 수정하기 위하여 하는 활동은? 45 ERP 시스템의 구축 시 자체개발의 경우 장⋅단점에 관한 설명으로 틀린 것은? 46 JIT 생산방식에서 간판의 운영규칙이 아닌 것은? 47 PERT 기법에서 낙관적 시간을 a, 정상시간을 m, 비관적 시간을 b로 주어졌을 때, 기대시간의 평균(te)과 분산(σ2)을 구하는 식으로 맞는 것은? 48 유사한 생산흐름을 갖는 제품들을 그룹화하여 생산효율을 증대시키려고 하는 설비의 배치방식은?
49 단일 기계에서 대기 중인 4개의 작업을 처리하고자 한다. 최소납기일 규칙에 의해 작업순서를 결정할 경우 4개 작업의 평균처리시간은? 50 다음은 작은 컵을 손으로 잡고 병에 씌우는 서블릭 동작분석의 일부이다. ( ) 안에 들어갈 서블릭 기호가 바르게 나열된 것은? 51 MRP 시스템의 입력정보가 아닌 것은? 52 보전비를 감소하기 위한 조치로 가장 거리가 먼 것은? 53 자동차 부품공장에서 가동률 개선을 위한 워크샘플링 결과, 150회 관측횟수 중 비가동이 35회였다. 비가동률 추정에는 상대오차가 사용되고 허용되는 오차가 10%인 경우, 비가동률 추정치의 절대오차 허용값은? 54 조사비, 수송비, 입고비, 통관비 둥 구매 및 조달에 수반되어 발생하는 비용은? 55 표준화된 선택 사양을 미리 확보하고 고객의 요구에 따라서 이들을 조합하여 공급하는 생산전략은? 56 정성적인 수요예측방법으로 전문가들을 대상으로 질의-응답의 피드백 과정을 개별적으로 수차례 반복하여 예측하는 기법은? 57 포드 시스템에서 대량생산의 일반원칙에 해당하지 않는 것은? 58 어떤 제품 1 로트를 생산하는데 필요한 작업 A, B, C, D, E의 소요시간이 각각 20초, 25초, 10초, 15초, 22초이다. 이때 균형손실(balance loss)은 몇 %인가? 59 누적예측오차(Cumulative sum of Forecast Errors)를 절대평균편차(Mean Absolute Deviation)로 나눈 것은? 60 A 제품의 판매가격이 개당 300 원, 한계이익률(또는 공헌이익률)은 50%, 고정비는 1000 만원이다. 500 만원의 이익을 올리기 위하여 필요한 A제품의 판매수량은?
61 시스템의 신뢰도에 관한 설명으로 틀린 것은? 62 그림과 같은 FT도에서 정상사상(Top Event)의 고장확률은 약 얼마인가? (단, 기본사상 a, b, c의 고장확률은 각각 0.2, 0.3, 0.4 이다.) 63 MTBF 가 102 시간인 기계의 불신뢰도를 10%로 하기 위한 사용시간은 약 얼마인가? 64 계량 1회 샘플링 검사(DOD-HDBK H108)에서 샘플수와 총시험시간이 주어지고, 총시험시간까지 시험하여 발생한 고장개수가 합격판정개수보다 적을 경우 로트를 합격하는 시험방법은? 65 정시중단시험에서 평균수명의 100(1-α)% 한쪽 신뢰구간 추정 시 하한으로 맞는 것은? (단, 는 평균수명의 점추정치, r 은 고장개수이다.) 66 Y 제품에 수명시험 결과 얻은 데이터를 와이블 확률지를 사용하여 모수를 추정하였더니 형상모수 m=1.0, 척도모수 η=3500시간, 위치모수 r=0이 되었다. 이 제품의 MTBF 는 얼마인가? (단, Γ(1.5)=0.88623, Γ(2)=1.00000, Γ(2.5)=1.32934 이다.) 67 초기고장기간의 고장률을 감소시키기 위한 대책으로 맞는 것은? 68 용어 - 신인성 및 서비스 품질(KS A 3004: 2002)에서 정의한 용어 중 시험 또는 운용 결과를 해석하거나 신뢰성 척도를 계산하는데 포함되어야 하는 고장은? 69 샘플 5개를 50 시간 가속수명시험을 하였고, 고장이 1 개도 발생하지 않았다. 신뢰수준 95%에서 평균수명의 하한값은 약 얼마인가? (단, χ0.952(2)=5.99 이다.) 70 Y 부품에 가해지는 부하(stress)는 평균 3000kg/mm2, 표준편차 300kg/mm2 이며, 강도는 평균 4000kg/mm2, 표준편차 400 kg/mm2인 정규분포를 따른다. 부품의 신뢰도는 약 얼마인가? (단, u0.90 = 1.282, u0.95 = 1.645, u0.9772 = 2, u0.9987 = 3이다.) 71 평균고장률 λ, 평균수리율 μ인 지수분포를 따를 경우 평균수리시간(MTTR)을 맞게 표현한 것은? 72 정시중단시험에서 고장개수가 0개인 경우 어떠한 분포를 이용하여 평균수명을 구하는가?
73 수명 데이터를 분석하기 위해서는 먼저 그 데이터가 가정된 분포에 적합한지를 검정하여야 한다. 이 경우 적용되는 기법이 아닌 것은? 74 고장평점법에서 고장평점을 산정하는데 사용되는 인자에 대한 설명이 틀린 것은? 75 2개의 동일한 부품으로 이루어진 대기 리던던시에서 t=50에서의 신뢰도는 약 얼마인가? (단, 부품의 고장률은 0.02 로 일정하고, 지수분포를 따른다.) 76 신뢰도 함수 R(t) 가 고장율 λ인 지수분포를 따르고 보전도 함수 M(t)=1-e-μt 일 때 가용도(Availability)는? 77 샘플 50개에 대하여 수명시험을 하고, 10시간 간격으로 고장개수를 조사한 결과가 표와 같을 때 t=30시간에서의 누적고장확률은 얼마인가? 78 3개의 부품이 모두 작동해야만 장치가 작동되는 경우, 장치의 신뢰도를 0.95 이상이 되게 하려면 각 부품의 신뢰도는 최소한 얼마 이상이 되어야 하는가? (단, 사용된 3개 부품의 신뢰도는 동일하다.) 79 수명분포가 평균이 100, 표준편차가 5인 정규분포를 따르는 제품을 이미 105 시간 사용하였다. 그렇다면 앞으로 5시간 이상 더 작동할 신뢰도는 약 얼마인가? (단, u 가 표준정규분포를 따르는 확률변수라면 P(u≥1)=0.1587, P(u≥2)=0.0228 이다.) 80 1000 시간당 평균고장률이 0.3으로 일정한 부품 3개를 병렬결합으로 설계한다면, 이 기기의 평균수명은 약 몇 시간인가? 81 품질전략을 수립 할 때 계획단계(전략의 형성단계)에서 SWOT 분석을 많이 활용하고 있다. 여기서 'W' 는 무엇인가? 82 제조공정에 관한 사내표준의 요건이 아닌 것은? 83 히스토그램의 작성을 통해 확인할 수 없는 사항은? 84 잡음에 둔감한 강건 설계의 실현을 위해 다구찌가 제안한 3단계 절차 중 이상적인 조건하에서 고객의 요구를 충족시키는 제품원형을 설계하는 단계를 무엇이라 하는가?
85 허즈버그가 제시한 위생요인과 동기유발요인 중 위생요인에 해당하지 않는 것은? 86 신 QC 수법 중 문제가 되고 있는 사상 가운데서 대응되는 요소를 찾아내어 이것을 행과 열로 배치하고, 그 교점에 각 요소간의 연관유무나 관련정도를 표시함으로써 이원적인 배치에서 문제의 소재나 문제의 형태를 탐색하는 수법은? 87 기업에서 제안활동이 종업원의 참여의식을 높일 수 있는 유효한 방법임은 분명하지만 활성화되지 않는 경우가 있는데, 그 이유가 아닌 것은? 88 3개의 부품을 조립하려고 한다. 각각의 부품의 허용차가 ±0.03, ±0.02, ±0.05일 때 조립품의 허용차는 약 얼마인가? 89 규정된 요구사항이 충족되었음을 객관적 증거의 제시를 통하여 확인하는 것에 대한 용어는? 90 크로스비(P.B.Crosby)의 품질경영에 대한 사상이 아닌 것은? 91 계량기(측정기) 관리체계의 정비 목적으로 적절하지 않는 것은? 92 표준의 서식과 작성방법 (KS A 0001)에서 규정하고 있는 표준의 요소에 관한 설명으로 틀린 것은? 93 어떤 표준의 일부를 구성하기 위하여 다른 표준에 제정되어 있는 사항을 중복하여 기재하지 않고 그 표준의 표준번호만을 표시해 두는 표준을 무엇이라 하는가? 94 (주)한국의 주력상품인 A 형 동파이프의 규격은 상한 0.900, 하한 0.500이고, 실제 제조공정에서 생산된 제품의 평균은 0.738 이며, 표준편차는 0.0725 로 확인되었을 때, 최소공정능력지수(Cpk)는 약 얼마인가? 95 품질비용 중 상품개발을 위한 소비자 반응 조사비용과 부품 품질의 향상을 위해 협력업체를 지도할 때 소요되는 컨설팅 비용을 순서대로 올바르게 나열한 것은? 96 평가비용에 포함되지 않는 것은?
App Store Google Play
오늘학습 예시 이미지

시험에 합격하려면
복습을 제대로 해야 합니다.

오늘학습은 스스로 기억을 떠올리고 계획적으로 복습할 수 있도록 설계돼 있어요.
그것도, 가장 과학적인 방식으로요!

능동적 회상

능동적 회상
(Active Recall)

배운 내용을 단순 읽으며 반복하는 것이 아니라,
능동적으로 기억하고 있는지를
스스로 테스트하며
공부할 수 있는
학습 환경을 제공해 학습 효과를 높여요

간격 반복 학습

간격 반복 학습
(Spaced Repetition)

에빙하우스 망각곡선을 바탕으로
가장 최적의 시점에 복습을 제공하여
배운 내용이 잊히지 않도록 장기 기억화해요

Data 기반의
뇌과학적 복습 시스템

학습 결과 Data를 분석해, 문제별 최적화된
반복 학습량을
자동으로 분배해요.
학습에 소요되는 시간을 최소화하는
동시에
단기 기억을 장기 기억으로 전환해줘요.

36만 개 이상의
기출문제 무료 제공

공무원 및 약 300여종의 자격증 시험 기출문제
36만개
이상을 무료로 이용할 수 있어요.
여러 앱을 설치할 필요
없이, 오늘학습 하나로
모든 시험을 준비할 수 있어요.

다양한 문제 유형으로 만드는
나만의 단어장&문제집

기출 외에도 외워야 하는 내용은
객관식, 주관식, 카드, 빈칸
등 다양한 형식으로
직접 만들어 보세요. 내 학습 스타일에
맞게
나만의 단어장과 문제집을 만들 수 있어요.

시험별 체계적인
문제 관리

시험에 문제를 추가해 체계적으로
관리할 수 있어요.
주제나 단원별로
분류하고 싶다면,
시험에 챕터를 만들어
문제를 추가할 수도 있어요.

수십만 명이
오늘학습을 사랑합니다

앱 스토어 평점 4.9
구글 플레이 평점 4.8
누적 회원수 100,000+
지금 오늘학습을
시작해보세요
지금 시작하기
문제 선택