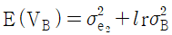
단일 분할법에서 일차단위가 1요인 실험일 때 A, B는 모수요인이고, 수준수가 각각 l, m 이며, 블록반복 R의 수준수가 r인 경우 평균제곱의 기댓값으로 맞는 것은? (단, 요인 A는 일차단위, 요인 B는 이차단위이다.)
지금 시작하기 →

・・・ 문제은행 품질경영기사(2021년 3회) 17번

품질경영기사 2021년 09월 17번

단일 분할법에서 일차단위가 1요인 실험일 때 A, B는 모수요인이고, 수준수가 각각 l, m 이며, 블록반복 R의 수준수가 r인 경우 평균제곱의 기댓값으로 맞는 것은? (단, 요인 A는 일차단위, 요인 B는 이차단위이다.)

1
2
3
4
단축키
이전 문제로 이동은 키를 누르고, 다음 문제로 이동은 키를 누르세요
이전 문제 , 다음 문제
문제(100)
1 23형 요인배치실험 시 교락법을 사용하여 다음과 같이 2개의 블록으로 나누어 실험하려고 한다. 블록과 교락되어 있는 교호작용은? 2 반복이 없는 모수모형 4요인 실험에서 A, B, C, D 의 수준수가 l=3, m=4, n=2, q=3 일 때, 교호작용 A×B×C의 자유도는? 3 라틴방격법에 대한 설명 중 틀린 것은? 4 요인의 수준과 수준수를 택하는 방법으로 틀린 것은? 5 2요인 교호작용에 관한 설명으로 틀린 것은? (단, 요인 A, B는 모수요인이다.) 6 망목특성을 갖는 제품에 대한 손실함수는? (단, L(y)는 손실함수, k는 상수, y는 품질특성치, m은 목표값이다.) 7 L8(27)형 직교배열표에서 요인 C와 교락되어 있는 요인은? 8 다음과 같은 22형 요인배치법에서 SA×B는? 9 다음의 표는 요인 A의 수준 4, 요인 B의 수준 3, 요인 C의 수준 2, 반복 2회의 지분실험을 실시한 분산분석표의 일부이다. σ2B(A)의 추정값은? 10 1요인 실험에 의한 다음 데이터에 대하여 분산분석을 할 때, 분산비(F0)의 값은 약 얼마인가? 11 23형의 1/2일부실시법에 의한 실험을 하기 위해 다음과 같이 블록을 설계하여 실험을 실시하였다. 실험 결과에 대한 해석으로서 틀린 것은? 12 3개의 공정 라인(A)에서 나오는 제품이 부적합품률이 같은지 알아보기 위하여 샘플링 검사를 실시하였다. 작업 시간별(B)로 차이가 있는가도 알아보기 위하여 오전, 오후, 야간 근무조에서 공정 라인별로 각각 100개씩 조사하여 다음과 같은 데이터가 얻어졌다. 이 자료를 이용한 B3 수준의 모부적합품률 추정치 의 값은 몇 % 인가?
13 1요인 실험에 있어서 각 수준의 합계 A1, A2, …, Aa가 모두 b개의 측정치 합일 경우, 다음 선형식의 대비가 되기 위한 조건식은? (단, ci가 모두 0은 아니다.) 14 분산분석표에 표기된 오차분산에 관한 사항으로 틀린 것은? 15 L27(313)형 선점도에서 A는 1열, B는 5열, C는 2열에 배치할 경우 B×C교호작용은 어느 열에 배치하여야 하는가? 16 1요인 실험의 분산분석에서 데이터의 구조모형이 xij = μ + ai + eij로 표시될 때, eij(오차)의 가정이 아닌 것은? 17 단일 분할법에서 일차단위가 1요인 실험일 때 A, B는 모수요인이고, 수준수가 각각 l, m 이며, 블록반복 R의 수준수가 r인 경우 평균제곱의 기댓값으로 맞는 것은? (단, 요인 A는 일차단위, 요인 B는 이차단위이다.) 18 5수준의 모수요인 A와 4수준의 모수요인 B로 반복 없는 2요인 실험을 한 결과 주효과 A, B가 모두 유의한 경우 최적조합 조건하에서 공정평균을 추정할 때 유효 반복수 ne는? 19 결정계수(r2)에 관한 설명으로 맞는 것은? 20 모수요인 A는 3수준, 블록요인 B는 2수준으로 난괴법 실험을 실시하여 분석한 결과 다음의 데이터를 얻었다. 요인 A의 수준 A1과 수준 A3간의 모평균 차이의 양측 신뢰구간을 신뢰율 95%로 추정하면 약 얼마인가? (단, t0.975(2) = 4.303, t0.975(5) = 2.571 이다.) 21 전수검사와 샘플링검사를 비교한 설명으로 틀린 것은? 22 A, B 두 사람의 작업자가 동일한 기계부품의 길이를 측정한 결과 다음과 같은 데이터가 얻어졌다. A작업자가 측정한 것이 B작업자의 측정치보다 크다고 할 수 있겠는가? (단, α = 0.05, t0.95(5) = 2.015 이다.) 23 계수 및 계량 규준형 1회 샘플링검사(KS Q 0001) 중 제3부:계량 규준형 1회 샘플링 검사방식(표준편차 기지)에서 샘플링 검사의 적용 조건으로 틀린 것은? 24 전기 마이크로미터의 정확도를 비교하기 위하여 A, B 2개의 전기 마이크로미터로 크랭크샤프트 5개에 대해 각각 외경을 측정하여 다음의 결과를 얻었다. A, B 간의 차이를 검정하기 위한 검정 통계량은 약 얼마인가?
25 모상관계수 ρ = 0인 모집단에서 크기 n의 시료를 추출하여 시료의 상관계수(r)를 구한 후, 통계량 을 취하면, 이 통계량은 어떤 분포를 하는가? 26 관리도에 타점하는 통계량(statistic)은 정규분포를 한다고 가정한다. 공정(모집단)이 정규분포를 이룰 때에는 표본분포는 언제나 정규분포를 이루지만 공정분포가 정규분포가 아니더라도 표본의 크기 n이 충분히 크다면 정규분포에 접근한다는 이론은? 27 동전을 200번 던져 앞면이 115번, 뒷면이 85번 나타났다. 앞면이 나올 확률은 0.5라는 귀무가설을 유의수준 α = 0.05로 검정한 결과로 맞는 것은? (단, χ20.95(1) = 3.84, χ20.975(1) = 5.02 이다.) 28 Shewhart 관리도에서 3σ관리한계를 3.5σ관리한계로 바꿀 경우 나타나는 현상으로 맞는 것은? 29 각 50개씩의 부품이 들어 있는 10상자의 로트가 있을 때 각 10상자에서 일부를 구분하여 랜덤하게 샘플링하는 방법은? 30 다음은 두 개의 층 A, B의 데이터로 작성한 관리도로부터 층의 평균치 차이를 검정할 때 사용하는 식이다. 이 식의 전제조건이 아닌 것은? 31 계수형 샘플링검사 절차-제1부:로트별 합격품질한계(AQL) 지표형 샘플링검사방식(ISO KS Q 2859-1)에서 전환 규칙 중 전환점수를 적용하여야 할 경우는? 32 A, B 두 직조공정을 병행하여 가동하고 있다. A공정에서는 직물 10000m에 대하여 부적합수가 10개, B공정에서는 같은 길이의 직물에서 부적합수가 20개 있었다. 유의수준 0.05로 검정하고자 할 때, A공정의 부적합수는 B공정보다 적다고 할 수 있는가? 33 계수형 축차 샘플링검사 방식(KS Q ISO 28591:2017)에서 합격판정치(A)와 불합격판정치(R)이 다름과 같이 주어졌을 때, 어떤 로트에서 1개씩 채취하여 5번째와 40번째가 부적합품일 경우, 40번째에서 로트에 대한 조처로서 맞는 것은? (단, 중지 시 누적 샘플크기(중지값) nt = 226 이다.) 34 관리도에서 관리한계를 벗어나는 점이 많아지고 있을 때의 설명으로 맞는 것은? (단, R관리도는 안정상태, 군내변동 : σ2w, 군간변동 : σ2b 이다.) 35 확률분포에 관한 설명으로 틀린 것은? 36 Rs 관리도의 관리상한을 다음의 관리도용 계수표를 사용하여 계산하면 어떻게 되는가? (단, 이다.)
37 계수형 샘플링 검사에 있어서 N, n, c가 주어지고, 로트의 부적합품률 P와 합격확률 L(P)의 관계를 나타낸 것을 무엇이라고 하는가? 38 u관리도에 대한 설명으로 맞는 것은? 39 10개의 배치(Batch)에서 각각 4개씩의 샘플을 뽑아 범위(R)를 구하였더니 ∑R = 16 이었다. 이 때 은 얼마인가? (단, 군의 크기가 4 일 때, d2 = 2.059, d3 = 0.880 이다.) 40 피스톤의 외경을 X1, 실린더의 내경을 X2라 한다. X1, X2는 서로 독립된 확률분포를 따르고, 그 표준편차가 각각 0.05, 0.03 이라면 실린더와 피스톤 사이의 간격 X2 - X1의 표준편차는? 41 4가지 주문 작업을 1대의 기계에서 처리하고자 한다. 각 작업의 작업시간과 납기가 다음과 같이 주어져 있을 때 여유시간법을 사용하여 작업순서를 결정할 경우, 평균흐름시간은 며칠인가? 42 보전작업자가 각 제조부서의 감독자 밑에 있는 보전조직은? 43 생산관리의 변환 시스템 중 Input, 공장 Output의 요소가 적절하게 연결된 것은? 44 관측 평균시간 5분, 객관적 레이팅에 의해서 1단계 평가계수 95%, 2단계 조정계수, 15% 여유율 20% 일 경우의 표준시간은 약 몇 분인가? 45 부품 A의 사용량은 하루에 3000개, 평균 준비시간은 0.5일/컨테이너, 가공시간은 0.3일/컨테이너 그리고 컨테이너 한 개에 담을 수 있는 부품 A의 수는 30개, 안전계수 α는 25% 이다. 간판시스템을 운용하는 경우 부품 A를 위해 필요한 간판의 수는? 46 다중활동분석표의 용도로 거리가 먼 것은? 47 적시생산시스템(JIT)에 관한 설명으로 틀린 것은? 48 생산경영관리에서 구매의 효과를 측정하는 객관적 척도를 나타낸 것으로 거리가 가장 먼 것은?
61 고장율 λ = 0.07/시간, 수리율 μ = 0.5/시간 일 때, 가용도(Availability)는 약 몇 % 인가? 62 평균 고장률이 0.002/시간인 지수분포를 따르는 제품을 10시간 사용하였을 경우 고장이 발생할 확률은 약 얼마인가? 63 평균수명이 1000시간 정도 되는지를 판정하기 위해 샘플을 20개로 하여 고장 난 것은 즉시 새 것으로 교체하면서 4번째 고장이 발생할 때까지 시험하고자 한다. 4번째 고장시간이 얼마여야 평균수명을 1000시간으로 추정할 수 있겠는가? 64 부품의 수명분포가 가장 많이 활용되는 지수분포에 관한 설명으로 틀린 것은? 65 그림은 고장시간의 전형적 분포를 보여주는 욕조곡선이다. 이 중 B기간을 분포로 모형화할 때, 어떤 분포가 적절한가? 66 그림의 신뢰성 블록도에 맞는 FT(Fault Tree, 고장목)도는? 67 수명시험 중 특히 수명시간을 단축할 목적으로 고장 메카니즘을 촉진하기 위해 가혹한 환경조건에서 행하는 시험은? 68 고장평점법에서 평점요소로 기능적 고장영향의 중요도(C1), 영향을 미치는 시스템의 범위(C2), 고장발생빈도(C3)를 평가하여 평가점을 C1 = 3, C2 = 9, C3 = 6을 얻었다면, 고장평점(Cs)는 약 얼마인가? 69 신뢰성 축차샘플링 검사에서 사용되는 공식 중 틀린 것은? 70 일반적으로 신뢰도 계산을 할 때 샘플의 수가 적은 경우 사용하는 방법이 아닌 것은? 71 신뢰성 데이터 해석에 사용되는 확률지 중 가장 널리 사용되는 와이블 확률지에 대한 설명으로 틀린 것은? 72 어떤 기계의 보전도 M(t)가 지수분포를 따르고, 1시간 동안의 보전도가 M(1) = 1-e-2×1가 되었다면 MTTR(평균수리시간)은?
73 동일한 부품을 사용하는 5대의 기계를 200시간 동안 작동시켜 그 부품의 고장을 관찰하였다. 다음 표는 그 부품이 고장 났던 시간들이다. 이 부품의 고장분포는 지수분포라 하고, 고장 즉시 동일한 것으로 교체되었다. 이 부품의 평균고장시간 MTBF는? 74 부품의 고장률이 각각 λ1 = 0.01, λ2 = 0.04로 고정된 고장률일 경우에 두 부품이 병렬로 연결된 시스템의 MTBF는 약 얼마인가? 75 3개의 부품 B1, B2, B3로 이루어진 직렬구조의 시스템이 있다. 서브시스템 B1, B2, B3의 고장률이 각각 0.002, 0.005, 0.004(회/시간)로 알려져 있을 때, 20시간에서 시스템의 신뢰도를 0.9 이상이 되도록 하려면 서브시스템 B1에 배분되어야 할 고장률은 약 얼마인가? 76 n개의 부품이 직렬구조로 구성된 시스템이 있다. 각 부품의 수평분포가 지수분포를 따르며, 각 부품의 평균수명이 MTBF로 동일할대, 이 직렬구조시스템의 평균수명은? 77 용어-신인성 및 서비스 품질(KS A 3004)에서 정의하고 있는 고장에 관한 용어 중 아이템의 사용시간 또는 사용횟수의 증가에 따라 요구기능이 부분 고장이면서 점진적인 고장을 나타내는 용어는? 78 와이블 분포에서 형상모수값이 2일 때 고장률에 대한 설명 중 맞는 것은? 79 각 요소의 신뢰도가 0.9인 2 out of 3 시스템(3 중 2 시스템)의 신뢰도는? 80 부품에 가해지는 부하(x)는 평균 25000, 표준편차 4272인 정규분포를 따르며, 부품의 강도(y)는 평균 50000이다. 신뢰도 0.999가 요구될 때 부품강도의 표준편차는 약 얼마인가? (단, P(z>-3.1) = 0.999 이다.) 81 공차를 수식으로 올바르게 표현한 것은? 82 품질경영시스템-기본사항과 용어(KS Q ISO 9000:2015)에 정의된 용어의 설명으로 맞는 것은? 83 외부업체 관리 비용, 신뢰성 시험비용, 품질기술 비용, 품질관리 교육비용 등과 관련된 품질비용은? 84 제조공정에 관한 사내표준화의 요건을 설명한 것으로 가장 적절하지 않은 것은?
85 부적합품 손실금액, 부적합품수, 부적합수 등을 요인별, 현상별, 공정별, 품종별 등으로 분류해서 크기의 순서대로 차례로 늘어놓는 그림은? 86 품질전략을 수립할 때 계획단계(전략의 형성단계)에서 SWOT분석을 많이 활용하고 있다. 여기서 O는 무엇을 뜻하는가? 87 시험 장소의 표준 상태(KS A 0006)에 정의된 상온, 상습의 기준으로 맞는 것은? 88 다음의 제품의 유통과정에서 제조물 책임의 면책대상자로 볼 수 있는 자는? 89 4개의 PCB 제품에서 각 제품마다 10개를 측정했을 때, 부적합수가 각각 2개, 1개, 3개, 2개가 나왓다. 이때 6시그마 척도인 DPMO(Defects Per Million Oppoptunities)는? 90 국가품질상의 심사범주에 해당되지 않는 것은? 91 품질보증시스템 운영과 거리가 가장 먼 것은? 92 측정오차의 발생원인 중 측정오차에 가장 큰 영향을 미치는 요인은? 93 규격상한이 70, 규격하한이 10인 어떤 제품을 제조하는 제조공정에서 만들어진 제품의 표준편차는 7.5이다. 이 제조공정이 관리상태에 있다고 할 때 공정능력지수(Cp)는 약 얼마인가? 94 어떤 문제에 대한 특성과 그 요인을 파악하기 위한 것으로 브레인스토밍이 많이 사용되는 개선활동 기법은? 95 고객의 요구와 기대를 규명하고 이들을 설계 및 생산 사이클을 통하여 목적과 수단이 계열을 따라 계통적으로 전개되는 포괄적인 계획화과정을 무엇이라 하는가? 96 Kirkpatrick의 총품질코스트 이론에서 제품의 품질을 규격과 비교하여 분석·시험·검사함으로써 회사의 품질수준을 유지하는데 소요되는 코스트와 설명으로 맞는 것은?
App Store Google Play
오늘학습 예시 이미지

시험에 합격하려면
복습을 제대로 해야 합니다.

오늘학습은 스스로 기억을 떠올리고 계획적으로 복습할 수 있도록 설계돼 있어요.
그것도, 가장 과학적인 방식으로요!

능동적 회상

능동적 회상
(Active Recall)

배운 내용을 단순 읽으며 반복하는 것이 아니라,
능동적으로 기억하고 있는지를
스스로 테스트하며
공부할 수 있는
학습 환경을 제공해 학습 효과를 높여요

간격 반복 학습

간격 반복 학습
(Spaced Repetition)

에빙하우스 망각곡선을 바탕으로
가장 최적의 시점에 복습을 제공하여
배운 내용이 잊히지 않도록 장기 기억화해요

Data 기반의
뇌과학적 복습 시스템

학습 결과 Data를 분석해, 문제별 최적화된
반복 학습량을
자동으로 분배해요.
학습에 소요되는 시간을 최소화하는
동시에
단기 기억을 장기 기억으로 전환해줘요.

36만 개 이상의
기출문제 무료 제공

공무원 및 약 300여종의 자격증 시험 기출문제
36만개
이상을 무료로 이용할 수 있어요.
여러 앱을 설치할 필요
없이, 오늘학습 하나로
모든 시험을 준비할 수 있어요.

다양한 문제 유형으로 만드는
나만의 단어장&문제집

기출 외에도 외워야 하는 내용은
객관식, 주관식, 카드, 빈칸
등 다양한 형식으로
직접 만들어 보세요. 내 학습 스타일에
맞게
나만의 단어장과 문제집을 만들 수 있어요.

시험별 체계적인
문제 관리

시험에 문제를 추가해 체계적으로
관리할 수 있어요.
주제나 단원별로
분류하고 싶다면,
시험에 챕터를 만들어
문제를 추가할 수도 있어요.

수십만 명이
오늘학습을 사랑합니다

앱 스토어 평점 4.9
구글 플레이 평점 4.8
누적 회원수 100,000+
지금 오늘학습을
시작해보세요
지금 시작하기
문제 선택