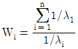
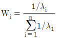
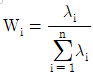
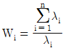
n개의 부품으로 이루어지는 직렬시스템에서 각 부풍의 고장률이 λ1, λ2, ㆍㆍㆍλn 일 때 각 부품의 중요도를 구하는 식으로 맞는 것은?
지금 시작하기 →

・・・ 문제은행 품질경영기사(2019년 3회) 62번

품질경영기사 2019년 09월 62번

n개의 부품으로 이루어지는 직렬시스템에서 각 부풍의 고장률이 λ1, λ2, ㆍㆍㆍλn 일 때 각 부품의 중요도를 구하는 식으로 맞는 것은?

1
2
3
4
단축키
이전 문제로 이동은 키를 누르고, 다음 문제로 이동은 키를 누르세요
이전 문제 , 다음 문제
문제(100)
1 요인 A, B가 각각 4수준인 모수모형 반복 없는 2요인 시험에서 결측지가 1개 발생하였다. 이것을 추정하여 분석했을 때, 오차항의 자유도(νe)는? 2 다음은 L9(34)형 직교배열표를 이용하여 A, B, C 각각 3수준을 배열하여 실험한 결과를 나타낸 것이다. 요인 A의 제곱한 SA는 약 얼마인가? 3 23형 요인실험을 abc, a, b, c 4개의 조합에 의한 일부실시법으로 실험하려고 한다. A의 주효과를 구하는 식으로 맞는 것은? (단, 1/2 블록 반복의 실험이다.) 4 교락법에서 블록반복을 행하는 경우에 각 반복마다 블록효과와 교락시키는 요인이 다른 경우를 무엇이라 하는가? 5 다요인 실험계획법(다원배치법)에 대한 설명으로 틀린 것은? 6 23형 요인배치법에서 다음 표와 같이 8회의 실험을 하였을 때, 교호작용 A×C의 효과는 얼마인가? 7 두 개 이상의 요인효과가 뒤섞여서 분리되지 않은 것을 무엇이라 하는가? 8 다음은 반복이 다른 1요인 실험 결과에 대한 분산분석표이다. F0의 () 안에 알맞은 값은 약 얼마인가? 9 실험의 결과 특성치가 다음과 같다. 이를 망목 특성치로 생각하면 SN비(signal to noiseratio)는 약 얼마인가? 10 동일한 물건을 생산하는 5대의 기계에서 부적합여부의 동일성에 관한 실험을 하였다. 적합품이면 0, 부적합품이면 1의 값을 주기로 하고, 5대의 기계에서 200개씩 제품을 만들어 부적합여부를 실험하여 다음과 같은 분산분석표를 구하였다. 다음 분산분석표의 일부자료를 이용하여 검정통계량 F0의 값을 구하면 얼마인가? 11 수준수 l=5, 반복수 m=3인 1요인 실험 단순휘귀 분석에서 직선회구의 자유도(vr)와 고차회귀의 자유도(νr)는 각각 얼마인가? 12 모수요인 a를 3수준, 변량요인 B를 4수준으로 하여 반복 2회의 실험을 했을 때, 요인 A의 불편분산 기대치(E(VA))는?
13 1차 단위 요인이 A(4수준), 2차 단위 요인이 B(3수준), 반복요인이 R(3회)인 단일 분할법 실험에서 2차 단위 오차(e2)의 자유도 νe2는? 14 제품의 강도를 높이기 위하여 열처리 온도를 요인으로 설정하여 300℃, 350℃, 400℃에서 실험을 실시했을 경우의 설명으로 틀린 것은? 15 난괴법이 층별이 잘된 경우에는 반복이 있는 1요인 실험보다 더 좋은 이점은 무엇인가? 16 다음은 실험조건(A, B, C)에서 실험순서(1, 2, 3)가 날짜(월, 화, 수)를 고려한 라틴방격법이다. ㉠~㉣ 중 라틴방격법에 의한 실험계획을 모두 고른 것은? 17 반복수가 n으로 동일하고 a개의 수준을 갖는 1요인 실험에서, 각 처리 수준에서 측정의 합은 y1, y2, ㆍㆍㆍ, ya라 할 때, 처리수준별 합의 선형결합 으로 관심을 갖는 처리 균들을 비교하게 된다 이때 이러한 선형결합이 대비를 이루기 위한 조건은? 18 지분실험법에 관한 설명으로 틀린 것은? 19 반복수가 같은 1요인 실험에서 다음의 분산분석표를 얻었다. = 12.85 라면, A1 수준에서 모평균 μ(A1)의 95% 신뢰구간은 약 얼마인가? (단, t0.975(4)=2.776, t0.975(15)=2.131, t0.975(19)=2.093이다.) 20 L16(215) 직교배열표에서 요인 A, B, C, D, F, G,H와 교호작용 A×B, C×D를 배치하는 경우 오차항의 자유도는? 21 통계적 가설건정 시 사용되는 검정통계량 분포의 유형이 다른 것은? 22 다음의 데이터로 np관리도를 작성할 경우 관리한계는 얼마인가? 23 2대의 기계 A, B에서 생산된 제품에서 각각 시료를 뽑아 평균과 표준편차를 구했더니 =15, =50, SA=5, SB=5로 평균치의 차이가 크게 나타났다. 변동계수를 이용하여 기계 A, B로부터 생산된 제품의 산포를 비교한 결과로 맞는 것은? 24 규격이 12~14cm인 제품을 매일 5개씩 취하여 16일간 조사하여 -R관리도를 작성하였더니 및 R관리도는 안정상태 였으며, =13cm, =0.38cm이었다. 이 공정에 관한 해석으로 맞는 것은? (단, n=5일 때 d2=2.326)
25 전수검사가 불가능하여 반드시 샘플링검사를 하여야 하는 경우는? 26 n=5인 그림참조 관리도에서 UCL=43.4M LCL=16.6이었다. 공정의 분포가 N(30, 102)일 때 그림참조 관리도가 관리상한을 벗어날 확률은 약 얼마인가? 27 X, Y는 확률번수이다. X와 Y의 공분산이 8, X의 기대치가 2이고, Y의 기대치가 3일 때 XY의 기대치는? 28 임의의 로트(lot)로부터 400개의 제품을 랜덤 추출하여 조사해 보니 240개가 부적합품이었다. 표본 부적합품률의 분산은? 29 로트별 합격품질한계(AQL) 지표형 샘플링검사방식(KS Q ISO 2859- : 2014)에서 전환 규칙에 관한 설명으로 틀린 것은? 30 모상관계수 ρ≠0인 경우 로 ≈변환을 하면 ≈는 근사적으로 어떤 분포를 따르는가? 31 군의 수 k=40, 샘플의 크기 n=4인 -R 관리도에서 =27.70, =1.02이다. 군내변동 는 약 얼마인가? (단, n=4일 때, d2=2.059, d3=0.88이다.) 32 어떤 공작기계로 만든 사프트 중에서 랜덤하게 13개를 샘플링하여 외경을 측정하였더니 평균은 112.7, 제곱합은 176이었다. 샤프트 외경의 모평균의 95% 신뢰구간은 약 얼마인가? (단, t0.95(12)=1.782, t0,95(13)=1.771, t0.975(12)=2,179, t0.975(13)=2.160이다.) 33 OC 곡선의 특성을 설명한 것으로 틀린 것은? 34 A기계와 B기계의 정도(精度)를 비교하기 위하여 각각의 기계로 15개씩 제품을 가공하였더니 VA=0.052mm2, VB=0.178mm2가 되었다. 유의수준 5%에서 A기계의 산포가 B기계의 산포보다 더 작다고 할 수 있는지를 검정한 결과로 맞는 것은? (단, F0.95(14, 14)=2.48이다.) 35 모부적합수에 대한 검정을 할 때 검정을 할 때 검정통계량으로 맞는 것은? 36 스킵 로트 샘플링에 대한 설명으로 적합한 것은?
37 계량형 샘플링검사에 대한 설명으로 틀린 것은? 38 부선 5척으로 광석이 입하되고 있다. 부선 5척은 각각 200, 300, 500, 800, 400톤 씩 싣고 있다. 각 부선으로부터 광석을 풀 때 100톤 간격으로 인크리멘트를 떠서 이것을 대량 시료로 혼합할 경우 샘플링의 정밀도는 약 얼마인가? (단, 이 관석은 이제까지의 실험으로부터 100톤 내의 인크리멘트간의 산포(σω)가 0.8인 것을 알고 있다.) 39 관리도에 대한 설명으로 틀린 것은? 40 멘델의 유전법칙에 의하면 4종류의 식물이 9:3:3:1의 비율로 나오게 되어 있다고 한다. 240그루의 식물을 관찰하였더니 각 부문별로 120:55:40:25로 나타났다면, 적합도 검정을 위한 통계량은 약 얼마인가? 41 목표생산주기시간(사이클 타임)을 구하는 공식으로 맞는 것은? (단,∑tii 는 총 작업소요 시간, Q는 목표생산량, a는 부적합품률, μ는 라인의 여유율이다.) 42 다음가 같은 제품을 생산하는데 적합한 배치방식은 무엇인가? 43 1일 조업시간을 8시간, 1일 부하시간 460분, 1일 생산량 380개, 정지내용(준비작업 30분,고장 30분 조정 20분), 부적합품 5개이다. 또, 기준싸이클 타임은 0.5분/개, 실제 사이클타임은 0.8분/개이다. 실질가동률은 얼마인가? 44 설비배치의 형태 중 U-Line의 원칙에 해당되지 않은 것은? 45 MRP 운영에 관련된 용어의 설명으로 틀린 것은? 46 제품 생산 시 발생되는 데이터를 실시간으로 수집하고 조회하며, 이들 정보를 통하여 생산 통제를 하는 1차 기능과 분석 빛 평가를 통한 생상성향상을 시할 수 있는 시스템은? 47 작업공정도(OPC)에 대한 설명으로 틀린 것은? 48 협력업체에 의한 자재조달품목으로 바라직하지 않은 것은?
49 조업도(매출량, 생산량)의 변화에 따라 수익 및 비용이 어떻게 변하는가를 분석하는 기법은? 50 동작경제의 원칙 중 신체사용에 관한 원칙의 내용으로 틀린 것은? 51 구람의 네트워크에서 단계 3의 TE(Earliest Possible Time)와 TL(Latest Allowable Time)은? 52 가중이동평균법에서 최근 자료에 높은 가중치를 부여하는 가장 큰 이유는? 53 JlT 생산시스템의 특징으로 틀린 것은? 54 설비보전방법 중 CBM(condition-based maintenance)에 의한 기준열화 이하의 설비를 예방보전하는 방법은? 55 킹 테니스 라켓의 구입단가가 2000원이고, 여기에 필요한 1회 발주비용이 10000원이다. 재고유지비용은 단위당 구입단가의 20%이다. 이 때 경제적 발주횟수는? (단, 연간소요량을 20000대이다.) 56 다음에서 설명하고 있는 수요예측기법은? 57 주기가 짧고 반복전인 작업에 적합한 작업측정기법으로 볼 수 없는 것은? 58 고객서비스 수준을 만족시키면서 전반적인 시스템 비용을 최소화하기 위해 제품이 적당한 수량으로 적당한 장소에, 적당한 시간에 생산되고 유통되도록 공급자, 제조업자, 창고업자, 소매업자 들을 효율적으로 통합하는 데 이용되는 일련의 접근 방법을 뜻하는 기법은 무엇인가? 59 총괄생산계획에서 재고수준 변수와 직접적인 관련성이 가장 높은 비용항복은? 60 5개의 작업이 2대의 기계(A, B)를 거쳐 단계적으로 완성된다. 존슨법칙(Johnson's rule)을 이용하여 기계사송시간을 최소로 하는 작업순서로 맞는 것은? (단, 각 숫자는 가공시간을 나타낸다.)
61 일반적으로 가정용 오디요, TV, 에어컨 등의 시스템, 기기 및 부품 등이 정해진 사용조건에서 의도하는 기간 동안 정해진 기능을 발휘할 확률은? 62 n개의 부품으로 이루어지는 직렬시스템에서 각 부풍의 고장률이 λ1, λ2, ㆍㆍㆍλn 일 때 각 부품의 중요도를 구하는 식으로 맞는 것은? 63 지수분포를 따르는 수리계 시스템의 고장률은 0.02/시간이고, 이 시스템의 평균수리시간(MTTR)이 30시간 이라면, 이 시스템의 가용도(Availabilty)는? 64 어느 가정의 연말 크리스마스트리가 50개의 전구로 구성되어 있다. 이 트리클 점등 후 연속사용 할 때 1000시간까지 고장 난 개수가 30개라고 할 때, 1000시간까지의 전구의 신뢰도는? 65 평균순위법을 이용하여 소시료 시험결과 2번째 랭크에서의 고장률함수 λ(t2)=0.02hr이었다. 이때 실험한 시료수가 5개이고, 3번째 고장난 시료의 고장시간이 20시간 경과 후였다면 2번째 시료가 고장난 시간은? 66 다음의 고장목그림(FT도)에서 시스템의 고장 확률은? (단, 주어진 수치는 각 구성품의 고장률이며, 각 구성품의 고장은 서로 독립이다.) 67 신뢰도를 배분할 때 고려해야 하는 사항이 아닌 것은?(오류 신고가 접수된 문제입니다. 반드시 정답과 해설을 확인하시기 바랍니다.) 68 지수분포를 따르는 어떤 부품에 대해 10개를 샘플링하여 모두 고장이 날 때까지 정상수명시험한 결과 평균수면은 100시간으로 추정되었다. 이 제품에 대한 100시간에서의 고장확률 믿도함수는 약 얼마인가? 69 강도는 평균 140kgf/cm2, 표준편차 16kgf/cm2인 정규분포를 따르고 부하는 평균 100kgf/cm2, 표준편차 12kgf/cm2인 정규분포를 따를 경우에 부품의 신뢰도는 얼마인가? (단, u0.8531=1.05, u0.9545=1.69, u0.9772=2.00, u0.9913=2.38이다.) 70 3모수 와이블 분포에서 임무시간 t=1000이고, 척도모수(η)가 1000, 위치모수(r)가 0일 때, 신뢰도에 대한 설명으로 맞는 것은? 71 보전성이랑 주어진 조건에서 규정된 기간에 보전을 완료할 수 있는 성질이다. 주어진 조건 중 보전성 설계에 관한 설명으로 틀린 것은? 72 FMEA로 식별한 치면적 품목에 발생확률을 고려하여 치명도 지수를 구한 다음에 고장 등 급을 결정하는 해석을 무엇이라 하는가?
73 와이블 분포를 가정하여 신뢰성을 추정하는 경우 특성수면이란? 74 시험 중에 연속적으로 총 시험시간 대비 고장발생 개수를 평가하여 합격영역, 불합격영역, 시험계속영역으로 구분하여 시험종료시점이 미리 정해져 있지 않은 시험법은 무엇인가? 75 Y제품의 신뢰도를 추정하기 위하여 수명시험을 하고, 와이블 확률지들 사용하여 형상모수(m)의 값을 추정하였더니 m=1.0이 되었다. 이 제품의 고장률에 대한 설명으로 맞는 것은? 76 초기고장 기간동안 모든 고장에 대하여 연속적인 개량보전을 실시하면서 규정된 환경에서 모든 아이템의 기능을 동작시켜 하드웨어의 신뢰성을 형상시키는 과정을 무엇이라 하는가? 77 가속수명시험 데이터를 분석하여 사용조건에서의 수명을 예측하고자 한다. 이때 데이터 분석에 필요한 것으로 가장 타당한 것은? 78 신회도가 0.8인 동일한 부품을 사용하여 그림과 같이 만들어진 시스템에서 신뢰도는 약 얼마인가? 79 어떤 제품이 20시간, 30시간, 40시간의 고장시간을 기록하였고, 또 하나의 70시간 동안 고장이 일어나지 않있다. 그렇다면 이 기기의 평균수명은 약 몇 시간인가? 80 2개의 부품 중 하나만 작동하면 장치가 작동되는 경우, 장치의 신뢰도를 0.96 이상이 되게 하려면 각 부품의 신뢰도를 최소 얼마 이상이 되어야 하는가? (단, 각 부품의 신뢰도는 동일하다.) 81 표준화에 관한 용어의 설명으로 틀린 것은? 82 품질관리의 4대 기능의 사이틀을 형성하고 있다. 그 순서로 맞는 것은? 83 품질관리 교육방법 중에서 일상작업 중에 교육을 실시하여 작업자로 하여금 업무수행에 필요한 지식, 기능 태도 등에 대해서 배우도록 하는 직장 내 훈련방식은? 84 종합적 품질경영(TQM)을 추진하기 위한 조직적 구조로서 활용되고 있는 팀(team) 활동으로 틀린 것은?
App Store Google Play
오늘학습 예시 이미지

시험에 합격하려면
복습을 제대로 해야 합니다.

오늘학습은 스스로 기억을 떠올리고 계획적으로 복습할 수 있도록 설계돼 있어요.
그것도, 가장 과학적인 방식으로요!

능동적 회상

능동적 회상
(Active Recall)

배운 내용을 단순 읽으며 반복하는 것이 아니라,
능동적으로 기억하고 있는지를
스스로 테스트하며
공부할 수 있는
학습 환경을 제공해 학습 효과를 높여요

간격 반복 학습

간격 반복 학습
(Spaced Repetition)

에빙하우스 망각곡선을 바탕으로
가장 최적의 시점에 복습을 제공하여
배운 내용이 잊히지 않도록 장기 기억화해요

Data 기반의
뇌과학적 복습 시스템

학습 결과 Data를 분석해, 문제별 최적화된
반복 학습량을
자동으로 분배해요.
학습에 소요되는 시간을 최소화하는
동시에
단기 기억을 장기 기억으로 전환해줘요.

36만 개 이상의
기출문제 무료 제공

공무원 및 약 300여종의 자격증 시험 기출문제
36만개
이상을 무료로 이용할 수 있어요.
여러 앱을 설치할 필요
없이, 오늘학습 하나로
모든 시험을 준비할 수 있어요.

다양한 문제 유형으로 만드는
나만의 단어장&문제집

기출 외에도 외워야 하는 내용은
객관식, 주관식, 카드, 빈칸
등 다양한 형식으로
직접 만들어 보세요. 내 학습 스타일에
맞게
나만의 단어장과 문제집을 만들 수 있어요.

시험별 체계적인
문제 관리

시험에 문제를 추가해 체계적으로
관리할 수 있어요.
주제나 단원별로
분류하고 싶다면,
시험에 챕터를 만들어
문제를 추가할 수도 있어요.

수십만 명이
오늘학습을 사랑합니다

앱 스토어 평점 4.9
구글 플레이 평점 4.8
누적 회원수 100,000+
지금 오늘학습을
시작해보세요
지금 시작하기
문제 선택