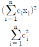
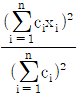
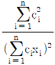
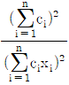
선형식 의 제곱합을 표현한 식으로 맞는 것은?
지금 시작하기 →

・・・ 문제은행 품질경영기사(2020년 3회) 5번

품질경영기사 2020년 09월 5번

선형식 의 제곱합을 표현한 식으로 맞는 것은?

1
2
3
4
단축키
이전 문제로 이동은 키를 누르고, 다음 문제로 이동은 키를 누르세요
이전 문제 , 다음 문제
문제(100)
1 교락법에 대한 설명 중 틀린 것은? 2 1 요인 또는 2 요인 실험에서 실험순서가 랜덤하게 정해지지 않고, 실험 전체를 몇 단계로 나누어서 단계별로 랜덤화하는 실험계획법은? 3 다음과 같은 L4(23) 직교배열표에서 요인 A의 제곱합 (SA)는 얼마인가? 4 다음은 A, B 각 수준조건에서 100개의 물건을 만들어 그 중의 불량품수를 표시한 계수형 2요인 실험의 데이터이다. 오차분산(Ve2)는? 5 선형식 의 제곱합을 표현한 식으로 맞는 것은? 6 실험계획에서 필요한 요인에 대한 정보를 얻기 위하여 2요인 이상의 무의미한 고차의 교호작용의 효과는 희생시켜 실험의 횟수를 적게 하도록 고안된 실험계획법은? 7 L27(313)형 직교배열표를 사용할 때, B요인을 3열 기본표시 ab에 배치하고, D요인을 12열 기본표시 ab2c에 배치하였다. B×D는 어떤 기본표시에 나타나는가? 8 수준수가 4, 반복 3회의 1요인 실험 결과 ST=2.383, SA=2.011 이었으며, =8.360, =9.70 이었다. μ(A1)와 μ(A2)의 평균치차를 α=0.01로 구간추정하면 약 얼마인가? (단, t0.99(8)=2.896, t0.995=3.355 이다.) 9 연구소 등에서 신제품 개발을 위해 라인 외 (off line) 품질관리활동에 해당되지 않는 것은? 10 직선회귀에서 데이터가 다음과 같을 때, 단순회귀식으로 맞는 것은? 11 반복 없는 23 요인배치법의 구조모형은 어느 것인가? (단, i, j, k=0, 1, eijk~N(0, )이고, 서로 독립이다.) 12 다음과 같은 1요인 실험에서 오차항의 자유도는?
13 다음은 변량요인 A와 B로 이루어진 지분실험법의 분산분석표이다. 여기서 의 추정값은 얼마인가? 14 화학공장에서 수율을 높이려고 농도(A), 온도(B), 시간(C) 3요인을 선정하여 반복없이 실험한 후 분산분석표를 작성하여 유의하지 않는 요인은 풀링하였더니 최종적으로 다음의 분산분석표로 나타났다. 이와 관련된 설명으로 틀린 것은? (단, A, B, C 모두 모수요인이고, F0.95(2, 20)=3.49, F0.99(2, 20)=5.85 이다.) 15 Y화학공장에서 제품의 수율에 영향을 미칠 것으로 생각되는 반응온도(A)와 원료(B)를 요인으로 2요인 실험을 하였다. 실험은 12회 완전 랜덤화 하였고, 2요인 모두 모수이다. 검정 결과로 맞는 것은? (단, F0.99(3, 6)=9.78, F0.95(3, 6)=4.76, F0.99(2, 6)=10.9, F0.95(2, 6)=5.14 이다.)(오류 신고가 접수된 문제입니다. 반드시 정답과 해설을 확인하시기 바랍니다.) 16 반 투명경의 투과율을 측정하기 위하여 측정광원의 파장(A)을 4수준 지정하고 다수의 측정자로부터 랜덤으로 4명(B)을 뽑아 반복이 없는 2요인 실험을 행하고, 그 결과를 분산분석한 결과 다음 표를 얻었다. 측정자에 의한 분산성분의 추정치 의 값은 약 얼마인가? 17 1차 단위가 1요인 실험인 단일분할법의 특징 중 틀린 것은? 18 3×3 라틴방격법에서 그림 ㉠~㉣에 관한 설명으로 틀린 것은? 19 완전랜덤화배열법(completely ramdomized designs)의 모수모형(fixed effect model)으로 구조식이 다음과 같을 때 틀린 것은? 20 혼합모형(A: 모수, B: 변량)일 때 반복 있는 2요인 실험의 구조식에서 조건으로 틀린 것은? 21 어떤 사무실에 공기청정기를 설치하기 이전과 설치한 이후의 실내 미세먼지에 대한 자료가 다음과 같다. 공기청정기 설치 전과 후의 평균치 차를 검정하기 위한 검정통계량은 약 얼마인가? (단, 이다.) 22 관리도에서 n=4, UCL=52.9, LCL=47.74 일 때 의 값은? (단, n=4 일 때 d2=2.059 이다.) 23 관리도의 OC곡선에 관한 설명으로 틀린 것은? 24 샘플링 검사의 OC곡선에 관한 설명으로 가장 거리가 먼 것은?
25 관리도에 대한 설명으로 맞는 것은? 26 계수형 샘플링검사 절차 - 제3부: 스킵로트 샘플링검사 절차(KS Q ISO 2859-3)를 사용하는 경우 최초 검사빈도를 1/3로 결정되었다면 자격인정에 필요한 로트의 개수는? 27 모집단을 여러개의 층(層)으로 나누고 그중에서 일부를 랜덤샘플링(random sampling)한 후 샘플링된 층에 속해 있는 모든 제품을 조사하는 샘플링 방법은? 28 통계량으로부터 모집단을 추정할 때 모집단의 무엇을 추측하는 것인가? 29 어떤 제품의 품질특성에 대해 σ2에 대한 95% 신뢰구간을 구하였더니 1.65≤σ2≤6.20 이었다. 이 품질특성을 동일한 데이터를 활용하여 귀무가설(H0) σ2=8, 대립가설(H1) σ2≠8 로 하여 유의수준 0.05로 검정하였다면, 귀무가설(H0)의 판정 결과는? 30 5대의 라이도를 하나의 시료 군으로 구성하여 25개 시료 군을 조사한 결과 195개의 부적합이 발견되었다. 이 때 c관리도와 u관리도의 UCL은 각각 약 얼마인가? 31 어느 제조회사의 2개 공정라인이 있는데 평균 생산량의 차이를 추정하고자 10일 동안 생산량을 측정하였더니 다음과 같았다. 2개 라인의 모평균 μ1-μ2에 대한 95% 신뢰구간을 구하면 약 얼마인가? (단, t0.975(18)=2.101, t0.995(18)=2.878 이고, 생산량은 등분산이며, 정규분포를 한다고 가정한다.) 32 한국, 미국, 중국 세 나라별로 좋아하는 것에 차이가 있는지 다음과 같은 분할표를 활용하여 독립성 검정하고자 할 때 검정 과정 중 잘못된 것은? (문제 오류로 가답안 발표시 1번으로 발표되었지만 확정 답안 발표시 1, 2번이 정답처리 되었습니다. 여기서는 가답안인 1번을 누르면 정답 처리 됩니다.) 33 부적합률에 대한 계량형 축차 샘플링검사 방식(표준편차 기지)(KS Q ISO 39511:2018)에서 양쪽 규격한계의 결합관리인 경우 상한 합격판정치(AU)를 구하는 식은? 34 어떤 부품공장에서 제조되는 부품의 특성치의 분포가 μ=3.10mm, σ=0.02mm인 정규분포를 따르며, 공정은 안정 상태에 있다. 부품의 규격이 3.10±0.0392mm로 주어졌을 경우, 이 공정에서 발생되는 부적합품의 발생률은 약 얼마인가? 35 관리도의 사용목적에 해당되지 않는 것은? 36 모부적합수(m)에 대한 신뢰상한값만을 추정하는 식으로 맞는 것은?
37 계량 규준형 1회 샘플링 검사에 대한 설명으로 맞는 것은? 38 반응온도(x)와 수율(y)과의 관계를 조사한 결과 Sxx=147.6, Syy=56.9, Sxy=80.4 이었다. 회귀로 부터의 제곱합(Sy/x)은 약 얼마인가? 39 대형 컴퓨터 네트워크를 운영하는 A씨는 하루 동안의 네트워크 장애건수 X에 대한 확률분포를 다음과 같이 구하였다. X의 기대값 μ와 표준편차 σ는 약 얼마인가? 40 재가공이나 폐기 처리비를 무시할 경우, 부적합품 발생으로 인한 손실비용(무검사 비용)을 맞게 표시한 것은? (단, N은 전체 로트 크기, a는 개당 검사비용, b는 개당 손실비용, p는 부적합품률이다.) 41 지수평활 모델을 위한 평활상수(α)값의 결정에 관한 설명으로 맞는 것은? 42 MRP시스템의 로트사이즈 결정방법에 대한 설명으로 틀린 것은? 43 총괄 생산 계획(APP) 기법 중 휴리스틱 계획 기법인 것은? 44 고정주문량모형과 고정주문주기모형의 비교 설명으로 틀린 것은? 45 동작경제의 원칙 중 신체사용의 원칙이 아닌 것은? 46 도요타 생산방식의 운영에 관한 설명으로 틀린 것은? 47 워밍업이 필요한 작업에서 정상작업 페이스(pace)에 도달하는데 필요한 것보다 적은 수량을 생산함으로써 발생하는 초과시간을 보상하기 위한 여유는? 48 작업방법의 개선을 위해서 제품이 어떤 과정 혹은 순서에 따라 생산되는지를 분석⋅조사하는데 활용되는 도표가 아닌 것은?
49 다음 표는 정상상태로 추진되는 작업과 특급상태로 추진되는 작업의 기간과 비용을 나타내고 있다. 비용구배(cost slope)는? 50 자재관리에서 구매하는 자재의 가격이 결정되는 원리가 아닌 것은? 51 5개의 요소작업으로 이루어진 작업을 스톱워치로 10번 관측한 자료가 다음과 같다. 신뢰도 90%, 허용오차 ±5%일 때 적합한 관측횟수는? (단, t0.05(9)=1.833 이다.) 52 설비를 예정한 시기에 점검, 시험, 급유, 조정, 분해정비, 계획적 수리 및 부분품 갱신 등을 하여 설비성능의 저하와 고장 및 사고를 미연에 방지하고 설비의 성능을 표준 이상으로 유지하는 보전활동은? 53 테일러 시스템과 포드 시스템을 비교⋅분석한 내용으로 틀린 것은? 54 라인 밸런싱(Line Balancing)에 관한 내용과 가장 거리가 먼 것은? 55 설비의 최적수리주기 결정 요인이 아닌 것은? 56 기업의 산출물인 재화나 서비스에 대한 수량, 시기 등의 미래 시장수요를 추정하는 예측의 유형을 무엇이라 하는가? 57 생산시스템의 투입(input)단계에 대한 설명으로 가장 적합한 것은? 58 설비 선정 시 표준품을 대량으로 연속 생산할 경우 어떤 기계설비를 사용하는 것이 가장 유리한가? 59 두 대의 기계를 거쳐 수행되는 작업들의 총 작업시간을 최소화하는 투입순서를 결정하는데 가장 중요한 것은? 60 일정계획의 주요 기능에 해당되지 않는 것은?
61 신뢰성에 관한 설명 중 틀린 것은? 62 생산단계에서 초기고장을 제거하기 위하여 실시하는 시험은? 63 고장이 랜덤하게 발생하는 20개의 전자부품 중 5개가 고장 날 때까지 수명시험을 실시한 결과 216, 384, 492, 783, 1010 시간에 각각 한개씩 고장 났다. 이 부품의 평균고장률은 약 얼마인가? 64 신뢰성은 시간의 경과에 따라 저하된다. 그 이유에는 사용시간 또는 사용횟수에 따른 피로나 마모에 의한 것과 열화현상에 의한 것들이 있다. 이와 같은 마모와 열화현상에 대하여 수리 가능한 시스템을 사용 가능한 상태로 유지시키고, 고장이나 결함을 회복시키기 위한 제반조치 및 활동은? 65 지수분포를 따르는 어떤 부품의 고장률이 0.01/시간인 2개가 병렬로 연결되어 있는 시스템의 평균수명은? 66 지수분포의 수명을 갖는 어떤 부품 10개를 수명시험하여 100시간이 되었을 때 시험을 중단하였다. 고장 난 부품의 수는 4개였고, 평균수명은 200시간으로 추정되었다. 이 부품을 100시간 사용한다면 누적고장확률은 약 얼마인가? 67 리던던시 구조 중 구성품이 규정된 기능을 수행하고 있는 동안 고장 날 때까지 예비로써 대기하고 있는 것은? 68 수명데이터를 분석하기 위해서는 먼저 그 데이터의 분포를 알아야 하는데 분포의 적합성 검정에 사용할 수 없는 것은? 69 시스템의 FT(Fault Tree)도가 그림과 같을 때 이 시스템의 블럭도로 맞는 것은? 70 표본의 크기가 n일 때 시간 t를 지정하여 그때까지의 고장수를 r이라고 하면, 시간 t에 대한 신뢰도 R(t)의 점추정치를 맞게 표현한 것은? 71 고장해석기법에 관한 사항으로 틀린 것은? 72 와이블 확률지에서 가로축과 세로축이 표시하는 것으로 맞는 것은?
73 고장분포함수가 지수분포인 부품 n개의 고장시간이 t1, t2, …, tn 으로 얻어졌다. 평균고장시간(MTBF 또는 MTTF)에 대한 추정치로 맞는 것은? (단, t(i)는 i번째 순서통계량이다.) 74 계수 1회 샘플링 검사(MIL-STD-690B)에 의하여 총시험시간을 9000시간으로 하여 고장개수가 0개이면 로트를 합격시키고 싶다. 로트허용 고장률이 0.0001/시간인 로트가 합격될 확률은 약 몇 %인가? 75 4개의 브레이크 라이닝을 마모실험을 하여 수명을 측정하였더니, 200, 270, 310, 440시간으로 나타났다. 270시간에서의 평균순위법의 F(t)는 얼마인가? 76 설비의 가용도(Availability)에 대한 설명으로 틀린 것은? 77 부품의 고장률이 CFR이고, 평균수명이 각각 100시간인 2개의 부품이 직렬결합모형으로 만들어진 장치를 50시간 사용한 경우 신뢰도는 약 얼마인가? 78 가속계수가 12인 가속수준에서 총시료 10개 중 5개의 부품이 고장났을 때, 시험을 중단하여 다음의 데이터를 얻었다. 정상 사용조건에서의 평균수명은? (단, 이 부품의 수명은 가속수준과 상관없이 지수분포를 따른다.) 79 간섭이론의 부하강도 모델에서 부하는 평균 μX, 표준편차 σX인 정규분포에 따르고, 강도는 평균 μY, 표준편차 σY인 정규분포에 따른다. nY, nX는 μX로부터의 거리를 나타낼 때, 안전계수 m을 구하는 식은? 80 대기 시스템에서 대기 중인 부품의 고장율을 0으로 가정하는 시스템은? 81 산업표준화 유형 중 국면에 따른 표준화 분류의 내용으로 틀린 것은? 82 품질보증(QA)활동 중 제품기획의 단계에 관한 설명으로 틀린 것은? 83 국제표준화기구(ISO)에 대한 설명 중 틀린 것은? 84 개선활동에 있어서 부적합항목 등에 대해 개별도수 또는 개별손실금액 및 그 누적상대도수 등을 막대그래프와 꺾은선그래프를 사용하여 나타내는 것으로 중점관리항목을 도출할 목적으로 활용하는 도구는?
85 품질경영을 효율적으로 추진하기 위해 많은 공장에서는 5S 운동을 전개한다. 5S에 해당하지 않는 것은? 86 제조물 책임(PL)법에 의한 손해배상 책임을 지는 자가 면책을 받는 사유로 볼 수 없는 것은? (단, 제조물을 공급한 후에 결함 사실을 알아서 그 결함으로 인한 손해의 발생을 방지하기 위하여 적절한 조치를 취한 경우이다.) 87 원자재나 제조공정 또는 제품의 규격 등 소정의 품질수준을 확보하지 못한 제품생산에 따른 추가 재작업에 소요되는 품질비용은? 88 국가표준으로만 구성된 것은? 89 다음과 같은 규격의 3가지 부품 A, B, C를 이용하여 B+C-A와 같이 조립할 경우 이 조립품의 허용차는? 90 파라슈라만 등(Parasuraman, Berry&Zeuthaml)에 의해 제시된 서비스 품질 측정도구인 SERVQUAL 모형의 5가지 품질특성에 해당되지 않는 것은? 91 6시그마 품질혁신운동에서 사용하는 시그마 수준 측정과 공정능력지수(CP)의 관계를 맞게 설명한 것은? 92 카노(Kano)의 고객만족모형 중 충족이 되면 만족을 주지만 충족이 되지 않아도 불만을 일으키지 않는 요인은? 93 Y제품의 두께규격이 12.0±0.05cm이다. 이 제품을 제조하는 공정의 표준편차가 σ=0.02이면, 이 공정의 제품에 대한 공정능력지수(CP)에 관한 설명으로 맞는 것은? 94 사내표준화에 대한 설명으로 틀린 것은? 95 품질에 대하여 구성원들의 품질개선 의욕을 불러일으키는 작용 또는 과정을 뜻하는 용어는? 96 측정시스템에서 선형성, 편의, 정밀성에 관한 설명으로 맞는 것은?
App Store Google Play
오늘학습 예시 이미지

시험에 합격하려면
복습을 제대로 해야 합니다.

오늘학습은 스스로 기억을 떠올리고 계획적으로 복습할 수 있도록 설계돼 있어요.
그것도, 가장 과학적인 방식으로요!

능동적 회상

능동적 회상
(Active Recall)

배운 내용을 단순 읽으며 반복하는 것이 아니라,
능동적으로 기억하고 있는지를
스스로 테스트하며
공부할 수 있는
학습 환경을 제공해 학습 효과를 높여요

간격 반복 학습

간격 반복 학습
(Spaced Repetition)

에빙하우스 망각곡선을 바탕으로
가장 최적의 시점에 복습을 제공하여
배운 내용이 잊히지 않도록 장기 기억화해요

Data 기반의
뇌과학적 복습 시스템

학습 결과 Data를 분석해, 문제별 최적화된
반복 학습량을
자동으로 분배해요.
학습에 소요되는 시간을 최소화하는
동시에
단기 기억을 장기 기억으로 전환해줘요.

36만 개 이상의
기출문제 무료 제공

공무원 및 약 300여종의 자격증 시험 기출문제
36만개
이상을 무료로 이용할 수 있어요.
여러 앱을 설치할 필요
없이, 오늘학습 하나로
모든 시험을 준비할 수 있어요.

다양한 문제 유형으로 만드는
나만의 단어장&문제집

기출 외에도 외워야 하는 내용은
객관식, 주관식, 카드, 빈칸
등 다양한 형식으로
직접 만들어 보세요. 내 학습 스타일에
맞게
나만의 단어장과 문제집을 만들 수 있어요.

시험별 체계적인
문제 관리

시험에 문제를 추가해 체계적으로
관리할 수 있어요.
주제나 단원별로
분류하고 싶다면,
시험에 챕터를 만들어
문제를 추가할 수도 있어요.

수십만 명이
오늘학습을 사랑합니다

앱 스토어 평점 4.9
구글 플레이 평점 4.8
누적 회원수 100,000+
지금 오늘학습을
시작해보세요
지금 시작하기
문제 선택