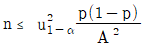
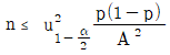
모집단 비율(P)에 대하여 100(1-α)% 양측 신뢰구간의 폭을 2.4이상 되지 않게 추정하기 위한 표본크기(n)를 결정할 때의 식으로 맞는 것은?
지금 시작하기 →

・・・ 문제은행 품질경영기사(2018년 3회) 38번

품질경영기사 2018년 09월 38번

모집단 비율(P)에 대하여 100(1-α)% 양측 신뢰구간의 폭을 2.4이상 되지 않게 추정하기 위한 표본크기(n)를 결정할 때의 식으로 맞는 것은?

1
2
3
4
단축키
이전 문제로 이동은 키를 누르고, 다음 문제로 이동은 키를 누르세요
이전 문제 , 다음 문제
문제(100)
1 L27(313)형 직교배열표에서 인자 A, B 요인이 4열과 9열에 배치되어 있다. A×B는 어느열에 배치해야 하는가? 2 yiㆍ은 i번째 처리 수준에서 측정값의 합을 나타낸다. 다음 중 대비(contrast)가 아닌 것은? 3 변량요인에 대한 설명으로 틀린 것은? 4 어떤 분광석의 샘플링 방법을 결정하기 위하여 열차로부터 랜덤으로 3대의 화차를 택하고, 각 화차로부터 200g의 인크리멘트를 4개씩 샘플링하였다. 이 인크리멘트를 다시 축분하여 각각 2개씩의 분석시료를 얻어 3×4×2=24회의 실험을 랜덤덤화하여 자분실험계획을 실시하였다. 이 때 화차 수준내의 인크리멘트간 편차 제곱함의 자유도는? 5 난괴법(randomized complete block designs)의 특징을 나타낸 것으로 맞는 것은? 6 4요인 A, B, C, D를 각각 4수준으로 잡고, 4×4 그레코 라틴방격으로 실험을 행했다. 분산분석표를 작성하고, 최적조건으로 A3B1D1을 구했다. A3B1D1에서 모평균의 점추정 값은 얼마인가? (단, =12.50, =11.50, =10.00, =15.94이다.) 7 다음은 Y펌프 축의 마모실험을 한 데이터이다. 망소특성에 대한 SN비는 약 얼마인가? 8 K 제품의 종합반응에서 흡수속도가 제조시간에 영향을 미치고 있다. 흡수속도에 대한 큰 요인이라고 생각되는 촉매량(Ai)을 2수준, 반응온도(Bi)를 2수준으로 하고, 반복 3회인 22형 실험을 한 데이터가 다음과 같을 때, B의 주효과는 얼마인가? (단, Tij은 A의 i번째, B의 J번째에서 측정된 특성치의 합이다.) 9 수준 수 l=4, 반복 수 m=5인 1요인 실험에서 분산분석 결과 요인 A가 1%로 유의적이었다. ST=2.478. SA=1.690이고, =7.72일 때, μ(A1를 α=0.01로 구간추정하면 약 얼마인가? (단, t0.90(16)=2.583, t0.995(16)=2.921이다.)(오류 신고가 접수된 문제입니다. 반드시 정답과 해설을 확인하시기 바랍니다.) 10 요인의 수준수가 5이고, 각 수준에서 반복수가 5인 1요인 실험으로 얻는 관측치를 정리하여 다음과 같은 값을 얻었다. 제곱함 SA의 값은 얼마인가? (문제 오류로 가답안 발표시 3번으로 발표되었지만 확정답안 발표시 모두 정답처리 되었습니다. 여기서는 가답안인 3번을 누르면 정답 처리 됩니다.) 11 다음 분산분석표로부터 모수요인 A, B에 대한 유의수준, 10%에서의 가설 검정 결과로 맞는 것은? (단, F0.90(2, 6)=3.46, F0.90(3, 2)=9.16, F0.90(3, 6)=3.29, F 0.90=(6, 11)=2.39이다.) 12 다음 표는 요인 A를 4수준, 요인 B를 3수준으로 하여 반복 2회인 2요인 실험한 결과이다. 이에 대한 설명으로 틀린 것은? (단, 요인 A, B는 모두 모수요인이다.)
13 Ls(s7)인 직교배열표에서 7이 의미하는 것은? 14 I=ABCDE=ABC=DE의 별명 관계 중 틀린 것은? 15 25형의 1/4실시 실험에서 이중교락을 시켜 블록과 ABCDE, ABC, DE를 교락시켰다. AD와 별명관계가 아닌 것은? 16 xijk=μ+ai+rk+e(1)ik+bj+(ab)ij+e(2)ijk인 구조를 갖는 단일분할법의 게산방법으로 틀린 것은? 17 동일한 제품을 생산하는 3대의 기계가 있다. 이들 간에 부적합품률에 차이가 있는가를 조사하기 위하여 적합품을 0, 부적합품을 1로 하는 계수치 데이터의 분산분석을 실시한 결과 아래와 같은 표를 얻었다. 오차항의 자유도 ve를 구하면? 18 데이터 분석 시 발생한 결측치의 처리방법으로 틀린 것은? 19 표본 자료를 희귀직선에 적합시킨 경우, 적합성의 정도를 판단하는 방법이 아닌 것은? 20 반복 없는 3요인 실험에서 A, B, C가 모두 모수이고, 주효과가 교호작용 A×B, A×C, B×C가 모두 유의할 때 의 값은? 21 슈하트 관리도에서 점의 배열과 관련하여 이상원인에 의한 변동의 판정 규칙에 해당되지 않는 것은? (문제 오류로 가답안 발표시 2번으로 발표되었지만 확정답안 발표시 2, 4번이 정답처리 되었습니다. 여기서는 가답안인 3번을 누르면 정답 처리 됩니다.) 22 군의 크기 n=4의 -R 관리도에서 =18.50, =3.09인 관리상태이다. 지금 공정평균이 15.50으로 변경되었다면, 본래의 3σ 한계로부터 벗어날 확률은? (단, n=4일 때, d2=2.059이다.) 23 2개 회사의 제품을 각각 로트로부터 랜덤하게 뽑아 인장강도를 측정하여 다음의 데이터를 구했다. 두 회사 제품의 평균치 차에 대한 검정 결과로 맞는 것은? (단, σS=3kg/mm2, σQ=5kg/mm2, u0.975=1.96, u0.995=2.576이다.) 24 만성적으로 존재하는 것이 아니고 산발적으로 발생하여 품질변동을 일으키는 원인으로 현재의 기술수준으로 통제 가능한 원인을 뜻하는 용어는?
25 100개의 표본에서 구한 데이터로부터 두 변수의 상관계수를 구하니 0.8이었다. 모상관계수가 0이 아니라면, 모상관계수와 기준치와의 상이검정을 위하여 z변환하면, z의 값은 약 얼마인가? (단, 두 변수 x, y는 모두 정규분포에 따른다.) 26 빨간 공이 3개, 하얀 공이 5개 들어있는 주머니에서 임의로 2개의 공을 꺼냈을 때, 2개 모두 하얀 공일 확률은 얼마인가? 27 계수형 샘플링 검사 절차-제1부:로트별 합격품질한계(AQL) 지표형 샘플링검사 방식(KS Q ISO 2859-1:2014)에서 검사수준에 관한 설명 중 틀린 것은? 28 c관리도에서 평균 부적합수 =9일 때, 3σ관리한계 LCL및 UCL은 각각 얼마인가? 29 확률변수의 확률분포에 관한 설명으로 틀린 것은? 30 타이어 제조 회사에서 생산 중인 타이어의 수명시간은 평균이 37000km이고, 표준편차는 5000km인 것으로 알려져 있다. 타이어의 수명을 증가시키는 공정을 개발하고 시제품을 100개 생산하여 조사한 결과 평균 수명이 38000km이었다. 타이어 수명시간의 표준편차가 5000kg로 유지된다고 할 때, 유의수준 5%로 평균수명이 증가하였는지 검정할 때의 설명으로 틀린 것은? 31 계수 및 게량 규준형 1회 샘플링 검사(KS Q 0001:2013)에서 계량 규준형 1회 샘플링 검사에 대한 설명으로 맞는 것은? 32 로트의 형성에 있어 원료별 기계별로 특징이 확실한 모수적 원인으로 로트를 구분하는 것은? 33 합리적인 군으로 나눌 수 있는 경우, X관리도의 관리한계(UCL, LCL)의 표현으로 맞는 것은? 34 계수 규준형 샘플링 검사특성(OC) 곡선의 계산방법에 대한 설명 내용으로 맞는 것은? 35 계수치 축차 샘플링 검사방식(KS Q ISO 8422:2006)에서 100 아이템당 부적합수 검사를 하는 경우, 1회 샘플링 검사의 샘플크기를 11개로 이미 알고 있다. 이 떄 중지 시 누적샘플크기(중지값)은 얼마인가? 36 한국인과 일본인의 스포츠(축구, 농구, 야구) 선호도가 같은지 조사하였다. 각각 100명씩 랜덤추출하여 가장 좋아하는 한 가지 운동을 선택하여 분류하였더니 다음 표와 같을 때, 설명 중 틀린 것은? (단, α=0.05, X20.95(2)=5.991이다.)
37 ‘통계적으로 유의하다’라는 표현에 관한 설명으로 가장 적절한 것은? 38 모집단 비율(P)에 대하여 100(1-α)% 양측 신뢰구간의 폭을 2.4이상 되지 않게 추정하기 위한 표본크기(n)를 결정할 때의 식으로 맞는 것은? 39 A와 B는 독립사상이며, P(A)=0.3, P(B)=0.6이라고 할 때, P(Ac∩Bc)는 얼마인가? 40 계수형 및 계량형 샘플링검사에 대한 설명으로 적합하지 않은 것은? 41 총괄생산계획(APP)이 전략 중 생산율, 즉 생산성을 주요의 변동에 대응시키는 전략에서 고려되는 비용은? 42 공급자가 복수일 경우와 비교하여 단일 공급자인 경우의 장점이 아닌 것은? 43 어느 프레스공장에서 프레스 10대의 가동상태가 정지율 25%로 추정되고 있다. 이 때 워크샘플링법에 의해서 신뢰도 95% 상대오차 ±10%로 조사하고자 할 때 샘플의 크기는 약 몇 회인가?(오류 신고가 접수된 문제입니다. 반드시 정답과 해설을 확인하시기 바랍니다.) 44 3월의 수요예측값이 500개이고, 실제판매량이 540개일 때, 4월의 수요예측값은? (단, 지수평활계수 σ=0.2로 한다.) 45 공정도에 사용되는 기호와 이에 대한 설명으로 맞는 것은? 46 다음은 생산관리에서 휠 라이트에 의해 제시된 생산과업의 우선순위 평가기준이다. 단계별 순서로 맞는 것은? 47 하루 8시간 근무시간 중 일반여유시간으로 100분이 설정되었다면 여유율은 약 몇 %인가? (문제 오류로 가답안 발표시 2번으로 발표되었지만 확정답안 발표시 1, 2번이 정답처리 되었습니다. 여기서는 가답안인 2번을 누르면 정답 처리 됩니다.) 48 노동력, 설비, 물자, 공간 등의 생산자원을 누가, 언제, 어디서, 무엇을, 얼마나 사용할 것인가를 결정하는 작업계획으로 주ㆍ일ㆍ시간 단위별 계획을 수립하는 것은?
61 신뢰성 샘플링 검사에서 MTBF와 같은 수명 데이터를 기초로 로트의 합무판정을 결정하는 것은? 62 신뢰성 설계에 대한 설명으로 틀린 것은? 63 수명분포가 지수분포인 부품 n개를 t0시간에서 정시중단시허을 하였다. t0시간 동안 고장수는 r개이고 고장품을 교체하지 않는 경우 각각의 고장시간이 t1, ㆍㆍㆍ, tr이라면, 고장률 λ에 대한 추정치는? 64 샘플 200개에 대한 수명시험 데이터이다. 500~1000 관측시간에서의 경험적(empirical)고장률(λ(t))은 얼미인가? 65 고장시간 데이터가 와이블분포를 따르는지 알아보기 위해 사용하는 와이블확률지에 대한 설명 중 틀린 것은? 66 부품에 가해지는 부하(x)는 평균 25000. 표준편차 4272인 정규분포를 따르며, 부품의 강도(y)는 평균 50000이다. 신뢰도 0.999가 요구될 때 부품강도의 표준편차는 약 얼마인가? (단, P(u>-3.1)=0.999이다.) 67 고장밀도함수가 지수분포를 따를 때, MTBF 시점에서 신뢰도의 값은? 68 제품이 고장 나기 전까지 제품의 평균수명을 의미하는 용어는? 69 수명분포가 평균이 300, 표준편차가 30인 정규분포를 따르는 제품이 있다. 이미 300시간을 사용한 이 제품이 앞으로 30시간 더 작동할 신뢰도는 약 얼마인가? (단, u0.8413=1, u0.95=1.645, u0.975=1.96, u0.9777=2이다.) 70 8개의 테니스 라켓에 대한 신뢰성 시험에서 모두 고장이 발생했다. 6번째 고장에 대한 중앙순위(Median Rank)법을 사용했을 때, 신뢰성의 누적고장확률 값은 얼마인가? 71 고장률이 λ인 지수분포를 따르는 N개의 부품을 T시간 사용할 때 C건의 고장이 발생하는 확률은 어떤 분포로부터 구할 수 있는가? (단, N은 굉장히 크다고 한다.) 72 두 개의 부품 A와 B로 구성된 대기 시스템이 있다. 두 부품이 평균고장률이 λ4=0.02., λB=0.3인 지수분포를 따른다면, 50시간까지 시스템이 작동할 확률은 약 얼마인가? (단, 스위치의 작동확률은 1.00으로 가정한다.)
73 정상전압 220V의 콘덴서 10개를 가속전압 260V에서 3개가 고장날 때까지 가속수명시험을 하였더니 63, 112, 280시간에 각각 1개씩 고장났다. 가속계수값이 2.31인 경우 σ(알파)승법칙을 사용하여 정상전압에서의 평균 수명시간을 구하면 약 얼마인가? 74 그림의 신뢰성 블록도에 맞는 FT(Fault Tree:고장목)도는? 75 Y시스템의 고장률이 시간당 0.005라고 한다. 가용도가 0.990 이상이 되기 위해서는 평균수리 시간은 약 얼마인가? 76 욕조형(bath-tub) 고장률 곡선에서 디버깅(debugging), 번인(bum-in) 등의 방법을 통해 나쁜 품질의 부품들을 걸러내야 할 필요성이 있는 시기는? 77 동일한 신뢰도를 갖는 2개의 부품으로 병렬 구성되어 있는 장비의 목표신뢰도가 0.95가 되려면 각 부품의 신뢰도는 약 얼마인가? 78 주어진 조건에서 규정된 기간에 보전을 완료할 수 있는 성질을 보전성이라 하고, 그 확률을 보전도라 정의한다. 이 때 주어진 조건에 포함되지 않아도 되는 사항은? 79 부품의 신뢰도가 각각 0.85, 0.90, 0.95인 3개의 부품으로 구성된 직렬시스템이 있다. 이 시스템의 신뢰도를 향상시키고자 할 때, 특별한 제한조건이 없는 경우 시스템의 신뢰도에 가장 민감한 부품은? 80 아이템의 모든 서브 아이템에 존재할 수 있는 결함 모드에 대한 조사와 다른 서브 아이템 및 아이템의 요구 기능에 대한 각 결함 모드의 영향을 확인하는 정성적 신뢰성 분석 방법은? 81 샌더스(T.R.B. Sanders)가 제시한 현대적인 표준화의 목적으로 가장 거리가 먼 것은? 82 품질경영시스템-요구사항(KS Q ISO 9001:2015)에서 사용되지 않는 용어는? 83 제조공정에 관한 사내표준화의 요건으로 볼 수 없는 것은? 84 서비스의 개념과 특징에 대한 설명으로 틀린 것은?
App Store Google Play
오늘학습 예시 이미지

시험에 합격하려면
복습을 제대로 해야 합니다.

오늘학습은 스스로 기억을 떠올리고 계획적으로 복습할 수 있도록 설계돼 있어요.
그것도, 가장 과학적인 방식으로요!

능동적 회상

능동적 회상
(Active Recall)

배운 내용을 단순 읽으며 반복하는 것이 아니라,
능동적으로 기억하고 있는지를
스스로 테스트하며
공부할 수 있는
학습 환경을 제공해 학습 효과를 높여요

간격 반복 학습

간격 반복 학습
(Spaced Repetition)

에빙하우스 망각곡선을 바탕으로
가장 최적의 시점에 복습을 제공하여
배운 내용이 잊히지 않도록 장기 기억화해요

Data 기반의
뇌과학적 복습 시스템

학습 결과 Data를 분석해, 문제별 최적화된
반복 학습량을
자동으로 분배해요.
학습에 소요되는 시간을 최소화하는
동시에
단기 기억을 장기 기억으로 전환해줘요.

36만 개 이상의
기출문제 무료 제공

공무원 및 약 300여종의 자격증 시험 기출문제
36만개
이상을 무료로 이용할 수 있어요.
여러 앱을 설치할 필요
없이, 오늘학습 하나로
모든 시험을 준비할 수 있어요.

다양한 문제 유형으로 만드는
나만의 단어장&문제집

기출 외에도 외워야 하는 내용은
객관식, 주관식, 카드, 빈칸
등 다양한 형식으로
직접 만들어 보세요. 내 학습 스타일에
맞게
나만의 단어장과 문제집을 만들 수 있어요.

시험별 체계적인
문제 관리

시험에 문제를 추가해 체계적으로
관리할 수 있어요.
주제나 단원별로
분류하고 싶다면,
시험에 챕터를 만들어
문제를 추가할 수도 있어요.

수십만 명이
오늘학습을 사랑합니다

앱 스토어 평점 4.9
구글 플레이 평점 4.8
누적 회원수 100,000+
지금 오늘학습을
시작해보세요
지금 시작하기
문제 선택