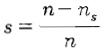
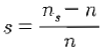
유도전동기의 동기속도 ns, 회전속도 n 일때 슬립은?
지금 시작하기 →

・・・ 문제은행 전기기능사(2013년 4회) 31번

전기기능사 2013년 10월 31번

유도전동기의 동기속도 ns, 회전속도 n 일때 슬립은?

1
2
3
4
단축키
이전 문제로 이동은 키를 누르고, 다음 문제로 이동은 키를 누르세요
이전 문제 , 다음 문제
문제(60)
49 사용전압이 400V 이상인 경우 금속관 및 부속품 등은 사람이 접촉할 우려가 없는 경우 제 몇 종 접지공사를 하는가?(관련 규정 개정전 문제로 여기서는 기존 정답인 3번을 누르면 정답 처리됩니다. 자세한 내용은 해설을 참고하세요.) 50 옥내배선공사 중 금속관 공사에 사용되는 공구의 설명 중 잘못된 것은?(오류 신고가 접수된 문제입니다. 반드시 정답과 해설을 확인하시기 바랍니다.) 51 주상 변압기의 고ㆍ저압 혼촉 방지를 위해 실시하는 2차측 접지공사는?(관련 규정 개정전 문제로 여기서는 기존 정답인 2번을 누르면 정답 처리됩니다. 자세한 내용은 해설을 참고하세요.) 52 OW 전선을 사용하는 저압 구내 가공인입전선으로 전선의 길이가 15[m]를 초과하는 경우 그 전선의 지름은 몇 [㎜] 이상을 사용하여야 하는가? 53 금속관 내의 같은 굵기의 전선을 넣을 때는 절연전선의 피복을 포함한 총 단면적이 금속관 내부 단면적의 몇[%] 이하 이어야 하는가? 54 석유류를 저장하는 장소의 공사 방법 중 틀린 것은? 55 다음 중 가요전선관 공사로 적당하지 않은 것은? 56 무대ㆍ무대밑ㆍ오케스트라 박스ㆍ영사실 기타 사람이나 무대 도구가 접촉될 우려가 있는 장소에 시설하는 저압 옥내배선ㆍ전구선 또는 이동전선은 사용전압이 몇[V] 미만 이어야하는가? 57 전주의 길이가 16[m]인 지지물을 건주하는 경우에 땅에 묻히는 최소 깊이는 몇 [m] 인가?(단, 설계하중이 6.8[kN] 이하이다.) 58 가로등, 경기장, 공장, 아파트 단지 등의 일반조명을 위하여 시설하는 고압방전등의 효율은 몇 [ℓm/W] 이상의 것이어야 하는가? 59 다음 배전반 및 분전반의 설치 장소로 적합하지 않은 곳은? 60 전압의 구분에서 저압 직류전압은 몇 [V] 이하인가?(관련 규정 개정전 문제로 여기서는 기존 정답인 3번을 누르면 정답 처리됩니다. 자세한 내용은 해설을 참고하세요.)
App Store Google Play
오늘학습 예시 이미지

시험에 합격하려면
복습을 제대로 해야 합니다.

오늘학습은 스스로 기억을 떠올리고 계획적으로 복습할 수 있도록 설계돼 있어요.
그것도, 가장 과학적인 방식으로요!

능동적 회상

능동적 회상
(Active Recall)

배운 내용을 단순 읽으며 반복하는 것이 아니라,
능동적으로 기억하고 있는지를
스스로 테스트하며
공부할 수 있는
학습 환경을 제공해 학습 효과를 높여요

간격 반복 학습

간격 반복 학습
(Spaced Repetition)

에빙하우스 망각곡선을 바탕으로
가장 최적의 시점에 복습을 제공하여
배운 내용이 잊히지 않도록 장기 기억화해요

Data 기반의
뇌과학적 복습 시스템

학습 결과 Data를 분석해, 문제별 최적화된
반복 학습량을
자동으로 분배해요.
학습에 소요되는 시간을 최소화하는
동시에
단기 기억을 장기 기억으로 전환해줘요.

36만 개 이상의
기출문제 무료 제공

공무원 및 약 300여종의 자격증 시험 기출문제
36만개
이상을 무료로 이용할 수 있어요.
여러 앱을 설치할 필요
없이, 오늘학습 하나로
모든 시험을 준비할 수 있어요.

다양한 문제 유형으로 만드는
나만의 단어장&문제집

기출 외에도 외워야 하는 내용은
객관식, 주관식, 카드, 빈칸
등 다양한 형식으로
직접 만들어 보세요. 내 학습 스타일에
맞게
나만의 단어장과 문제집을 만들 수 있어요.

시험별 체계적인
문제 관리

시험에 문제를 추가해 체계적으로
관리할 수 있어요.
주제나 단원별로
분류하고 싶다면,
시험에 챕터를 만들어
문제를 추가할 수도 있어요.

수십만 명이
오늘학습을 사랑합니다

앱 스토어 평점 4.9
구글 플레이 평점 4.8
누적 회원수 100,000+
지금 오늘학습을
시작해보세요
지금 시작하기
문제 선택