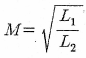
코일이 접속되어 있을 때, 누설 자속이 없는 이상적인 코일간의 상호 인덕턴스는?
지금 시작하기 →

・・・ 문제은행 전기기능사(2013년 3회) 10번

전기기능사 2013년 07월 10번

코일이 접속되어 있을 때, 누설 자속이 없는 이상적인 코일간의 상호 인덕턴스는?

1
2
3
4
단축키
이전 문제로 이동은 키를 누르고, 다음 문제로 이동은 키를 누르세요
이전 문제 , 다음 문제
문제(60)
37 권선형 유도전동기 기동시 회전자 측에 저항을 넣는 이유는? 38 동기 전동기의 부하각(load angle)은? 39 전기기의 냉각 매체로 활용하지 않는 것은? 40 동기 전동기의 계자 전류를 가로축에, 전기자 전류를 세로축으로 하여 나타낸 V곡선에 관한 설명으로 옳지 않는 것은? 41 설계하중 6.8kN 이하인 철근 콘크리트 전주의 길이가 7[m]인 지지물을 건주하는 경우 땅에 묻히는 깊이로 가장 옳은 것은? 42 옥내 배선에서 주로 사용하는 직선 접속 및 분기 접속방법은 어떤 것을 사용하여 접속하는가? 43 380[V] 전기세탁기의 금속제 외함에 시공한 접지공사의 접지 저항값 기준으로 옳은 것은?(관련 규정 개정전 문제로 여기서는 기존 정답인 3번을 누르면 정답 처리됩니다. 자세한 내용은 해설을 참고하세요.) 44 단상 2선식 옥내배전반 회로에서 접지축 전선의 색깔로 옳은 것은?(관련 규정 개정전 문제로 여기서는 기존 정답인 4번을 누르면 정답 처리됩니다. 자세한 내용은 해설을 참고하세요.) 45 하향광속으로 직접 작업면에 직사하고 상부방향으로 향한 빛이 천장과 상부의 벽을 부분 반사하여 작업면에 조도를 증가시키는 조명방식은?(문제오류로 확정답안 발표시 2, 4 번이 정답 처리 되었습니다. 여기서는 2번을 누르시면 정답 처리 됩니다.) 46 60[cd]의 점광원으로부터 2[m]의 거리에서 그 방향과 직각인 면과 30° 기울어진 평면위의 조도[lx]는? 47 한 개의 전등을 두 곳에서 점멸할 수 있는 배선으로 옳는 것은? 48 일반적으로 과전류 차단기를 설치하여야 할 곳은?
App Store Google Play
오늘학습 예시 이미지

시험에 합격하려면
복습을 제대로 해야 합니다.

오늘학습은 스스로 기억을 떠올리고 계획적으로 복습할 수 있도록 설계돼 있어요.
그것도, 가장 과학적인 방식으로요!

능동적 회상

능동적 회상
(Active Recall)

배운 내용을 단순 읽으며 반복하는 것이 아니라,
능동적으로 기억하고 있는지를
스스로 테스트하며
공부할 수 있는
학습 환경을 제공해 학습 효과를 높여요

간격 반복 학습

간격 반복 학습
(Spaced Repetition)

에빙하우스 망각곡선을 바탕으로
가장 최적의 시점에 복습을 제공하여
배운 내용이 잊히지 않도록 장기 기억화해요

Data 기반의
뇌과학적 복습 시스템

학습 결과 Data를 분석해, 문제별 최적화된
반복 학습량을
자동으로 분배해요.
학습에 소요되는 시간을 최소화하는
동시에
단기 기억을 장기 기억으로 전환해줘요.

36만 개 이상의
기출문제 무료 제공

공무원 및 약 300여종의 자격증 시험 기출문제
36만개
이상을 무료로 이용할 수 있어요.
여러 앱을 설치할 필요
없이, 오늘학습 하나로
모든 시험을 준비할 수 있어요.

다양한 문제 유형으로 만드는
나만의 단어장&문제집

기출 외에도 외워야 하는 내용은
객관식, 주관식, 카드, 빈칸
등 다양한 형식으로
직접 만들어 보세요. 내 학습 스타일에
맞게
나만의 단어장과 문제집을 만들 수 있어요.

시험별 체계적인
문제 관리

시험에 문제를 추가해 체계적으로
관리할 수 있어요.
주제나 단원별로
분류하고 싶다면,
시험에 챕터를 만들어
문제를 추가할 수도 있어요.

수십만 명이
오늘학습을 사랑합니다

앱 스토어 평점 4.9
구글 플레이 평점 4.8
누적 회원수 100,000+
지금 오늘학습을
시작해보세요
지금 시작하기
문제 선택