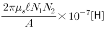
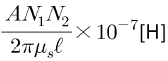
환상철심의 평균자로길이 ℓ[m], 단면적 A[m2], 비투자율 μs, 권선수 N1, N2인 두 코일의 상호 인덕턴스는?
지금 시작하기 →

・・・ 문제은행 전기기능사(2013년 1회) 3번

전기기능사 2013년 01월 3번

환상철심의 평균자로길이 ℓ[m], 단면적 A[m2], 비투자율 μs, 권선수 N1, N2인 두 코일의 상호 인덕턴스는?

1
2
3
4
단축키
이전 문제로 이동은 키를 누르고, 다음 문제로 이동은 키를 누르세요
이전 문제 , 다음 문제
문제(60)
1 100V의 교류 전원에 선풍기를 접속하고 입력과 전류를 측정하였더니 500[W], 7[A]였다. 이 선풍기의 역률은? 2 정전용량이 같은 콘덴서 10개가 있다. 이것을 병렬 접속할 때의 값은 직렬 접속할 때의 값보다 어떻게 되는 가? 3 환상철심의 평균자로길이 ℓ[m], 단면적 A[m2], 비투자율 μs, 권선수 N1, N2인 두 코일의 상호 인덕턴스는? 4 다음이 설명하는 것은?(금속 A와 B로 만든 열전쌍과 접점 사이에 임의의 금속 C를 연결해도 C의 양 끝의 접점의 온도를 똑같이 유지 하면 회로의 열기전력은 변화하지 않는다.)(오류 신고가 접수된 문제입니다. 반드시 정답과 해설을 확인하시기 바랍니다.) 5 전류에 의해 발생되는 자기장에서 자력선의 방향을 간단하게 알아내는 법칙은? 6 키르히호프의 법칙을 이용하여 방정식을 세우는 방법으로 잘못된 것은? 7 1차 전지로 가장 많이 사용되는 것은? 8 그림의 회로에서 전압 100[V]의 교류전압을 가했을 때 전력은? 9 절연체 중에서 플라스틱, 고무, 종이, 운모 등과 같이 전기적으로 분극 현상이 일어나는 물체를 특히 무엇이라 하는가? 10 Y-Y결선 회로에서 선간 전압이 200V 일 때 상전압은 약 몇 [V]인가? 11 저항과 코일이 직접 연결된 회로에서 직류 220[V]를 인가하면 20[A]의 전류가 흐르고, 교류 220[V]를 인가하면 10[A]의 전류가 흐른다. 이 코일의 리액턴스[Ω]는? 12 100[V], 300[W]의 전열선의 저항값은?
49 논이나 기타 지반이 약한 곳에 전주 공사시 전주의 넘어짐을 방지하기 위해 시설하는 것은? 50 금속덕트 배선에 사용하는 금속덕트의 철판 두께는 몇 [mm] 이상 이어야 하는가? 51 금속관 배선에 대한 설명으로 잘못된 것은? 52 단선의 굵기가 6[mm2] 이하인 전선을 직선접속할 때 주로 사용하는 접속법은? 53 저압 가공전선로의 지지물이 목주인 경우 풍압하중의 몇배에 견디는 강도를 가져야 하는가? 54 간선에 접속하는 전동기의 정격전류는 합계가 50[A]이하인 경우에 그 정격전류 합계의 몇 배에 견디는 전선을 선정하여야 하는가? 55 주위온도가 일정 상승률 이상이 되는 경우에 작동하는 것으로 일정한 장소의 열에 의하여 작동하는 화재 감지기는? 56 아래 그림기호가 나타내는 것은? 57 수ㆍ변전 설비의 고압회로에 걸리는 접압을 표시하기 위해 전압계를 시설할 때 고압회로와 전압계 사이에 시설하는 것은? 58 합성수지제 가요전선관의 규격이 아닌 것은? 59 400[V] 이상인 저압 옥내배선 공사를 케이블 공사로 할 경우 케이블을 넣는 방호 장치의 금속제 부분은 제 몇 종 접지공사를 하는가?(관련 규정 개정전 문제로 여기서는 기존 정답인 4번을 누르면 정답 처리됩니다. 자세한 내용은 해설을 참고하세요.) 60 합성수지관 공사의 특징 중 옳은 것은?
App Store Google Play
오늘학습 예시 이미지

시험에 합격하려면
복습을 제대로 해야 합니다.

오늘학습은 스스로 기억을 떠올리고 계획적으로 복습할 수 있도록 설계돼 있어요.
그것도, 가장 과학적인 방식으로요!

능동적 회상

능동적 회상
(Active Recall)

배운 내용을 단순 읽으며 반복하는 것이 아니라,
능동적으로 기억하고 있는지를
스스로 테스트하며
공부할 수 있는
학습 환경을 제공해 학습 효과를 높여요

간격 반복 학습

간격 반복 학습
(Spaced Repetition)

에빙하우스 망각곡선을 바탕으로
가장 최적의 시점에 복습을 제공하여
배운 내용이 잊히지 않도록 장기 기억화해요

Data 기반의
뇌과학적 복습 시스템

학습 결과 Data를 분석해, 문제별 최적화된
반복 학습량을
자동으로 분배해요.
학습에 소요되는 시간을 최소화하는
동시에
단기 기억을 장기 기억으로 전환해줘요.

36만 개 이상의
기출문제 무료 제공

공무원 및 약 300여종의 자격증 시험 기출문제
36만개
이상을 무료로 이용할 수 있어요.
여러 앱을 설치할 필요
없이, 오늘학습 하나로
모든 시험을 준비할 수 있어요.

다양한 문제 유형으로 만드는
나만의 단어장&문제집

기출 외에도 외워야 하는 내용은
객관식, 주관식, 카드, 빈칸
등 다양한 형식으로
직접 만들어 보세요. 내 학습 스타일에
맞게
나만의 단어장과 문제집을 만들 수 있어요.

시험별 체계적인
문제 관리

시험에 문제를 추가해 체계적으로
관리할 수 있어요.
주제나 단원별로
분류하고 싶다면,
시험에 챕터를 만들어
문제를 추가할 수도 있어요.

수십만 명이
오늘학습을 사랑합니다

앱 스토어 평점 4.9
구글 플레이 평점 4.8
누적 회원수 100,000+
지금 오늘학습을
시작해보세요
지금 시작하기
문제 선택