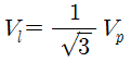
평형 3상 교류회로에서 Y결선할 때 선간전압(Vl)과 상전압(Vp)의 관계는?
지금 시작하기 →

・・・ 문제은행 전기기능사(2015년 3회) 5번

전기기능사 2015년 07월 5번

평형 3상 교류회로에서 Y결선할 때 선간전압(Vl)과 상전압(Vp)의 관계는?

1
2
3
4
단축키
이전 문제로 이동은 키를 누르고, 다음 문제로 이동은 키를 누르세요
이전 문제 , 다음 문제
문제(60)
13 그림과 같은 회로의 저항값이 R1> R2> R3> R4 일 때 전류가 최소로 흐르는 저항은? 14 원자핵의 구속력을 벗어나서 물질 내에서 자유로이 이동할 수 있는 것은? 15 권수가 150인 코일에서 2초간 1Wb의 자속이 변화한다면, 코일에 발생 되는 유도 기전력의 크기는 몇 V 인가? 16 복소수에 대한 설명으로 틀린 것은? 17 자기 인덕턴스가 각각 L1 과 L2인 2개의 코일이 직렬로 가동접속 되었을 때, 합성 인덕턴스는? (단, 자기력선에 의한 영향을 서로 받는 경우이다.) 18 저항이 있는 도선에 전류가 흐르면 열이 발생한다. 이와 같이 전류의 열작용과 가장 관계가 깊은 법칙은? 19 RL 직렬회로에 교류전압 를 가했을 때 회로의 위상각 θ를 나타낸 것은? 20 그림에서 a-b간의 합성저항은 c-d간의 합성저항 보다 몇 배인가? 21 변압기의 임피던스 전압이란? 22 그림은 전력제어 소자를 이용한 위상제어 회로이다. 전동기의 속도를 제어하기 위해서 ‘가’부분에 사용되는 소자는? 23 정격이 10000V, 500A, 역률 90%의 상동기발전기의 단락전류 IsA는?(단, 단락비는 1.3으로 하고, 전기자저항은 무시한다.)(오류 신고가 접수된 문제입니다. 반드시 정답과 해설을 확인하시기 바랍니다.) 24 2대의 동기 발전기 A, B가 병렬 운전하고 있을 때 A기의 여자 전류를 증가 시키면 어떻게 되는가?
37 애벌런치 항복 전압은 온도 증가에 따라 어떻게 변화하는가? 38 용량이 작은 유도 전동기의 경우 전부하에서의 슬립(%)은? 39 60㎐, 2000kVA의 발전기의 회전수가 1200rpm이라면 이 발전기의 극수는 얼마인가? 40 변압기를 △-Y로 연결할 때 1, 2차간의 위상차는? 41 저압 연접 인입선의 시설규정으로 적합한 것은? 42 사람이 쉽게 접촉 하는 장소에 설치하는 누전차단기의 사용전압 기준은 몇 V 초과인가?(관련 규정 개정전 문제로 여기서는 기존 정답인 1번을 누르면 정답 처리됩니다. 자세한 내용은 해설을 참고하세요.) 43 전선을 접속할 경우의 설명으로 틀린 것은? 44 특고압 계기용 변성기 2차측에는 어떤 접지 공사를 하는가?(관련 규정 개정전 문제로 여기서는 기존 정답인 1번을 누르면 정답 처리됩니다. 자세한 내용은 해설을 참고하세요.) 45 화약류 저장소에서 백열전등이나 형광등 또는 이들에 전기를 공급하기 위한 전기설비를 시설하는 경우 전로의 대지전압(V)은? 46 연피없는 케이블을 배선할 때 직각 구부리기(L형)는 대략 굴곡 반지름을 케이블의 바깥지름의 몇 배 인상으로 하는가? 47 정격전류 20A인 전동기 1대와 정격전류 5A인 전열기 3대가 연결된 분기회로에 시설하는 과전류차단기의 정격전류는? 48 접지저항 측정방법으로 가장 적당한 것은?
49 큰 건물의 공사에서 콘크리트에 구멍을 뚫어 드라이브 핀을 경제적으로 고정하는 공구는? 50 전자접촉기 2개를 이용하여 유도전동기 1대를 정·역운전하고 있는 시설에서 전자접촉기 2개가 동시에 여자 되어 상간 단락되는 것을 방지하기 위하여 구성하는 회로는? 51 특별 제3종접지공사의 접지저항은 몇 Ω 이하여야 하는가?(관련 규정 개정전 문제로 여기서는 기존 정답인 1번을 누르면 정답 처리됩니다. 자세한 내용은 해설을 참고하세요.) 52 다음 중 버스 덕트가 아닌 것은? 53 과전류차단기로서 저압전로에 사용되는 배선용 차단기에 있어서 정격전류가 25A인 회로에 50A의 전류가 흘렀을 때 몇 분 이내에 자동적으로 동작하여야 하는가? 54 가공전선로의 지지물에서 다른 지지물을 거치지 아니하고 수용장소의 인입선 접속점에 이르는 가공전선을 무엇이라 하는가? 55 합성수지관 공사의 설명 중 틀린 것은? 56 배선설계를 위한 전등 및 소형 전기기계기구의 부하용량 산정 시 건축물의 종류에 대응한 표준 부하에서 원칙적으로 표준부하를 20 VA/m2으로 적용하여야 하는 건축물은?(오류 신고가 접수된 문제입니다. 반드시 정답과 해설을 확인하시기 바랍니다.) 57 지중전선로를 직접매설식에 의하여 시설하는 경우 차량, 기타 중량물의 압력을 받을 우려가 있는 장소의 매설 깊이(m)는?(2021년 KEC 개정된 규정 적용됨) 58 동전선의 직선접속에서 단선 및 연선에 적용되는 접속 방법은? 59 금속관 공사에 관하여 설명한 것으로 옳은 것은? 60 전기 난방 기구인 전기담요나 전기장판의 보호용으로 사용되는 퓨즈는?
App Store Google Play
오늘학습 예시 이미지

시험에 합격하려면
복습을 제대로 해야 합니다.

오늘학습은 스스로 기억을 떠올리고 계획적으로 복습할 수 있도록 설계돼 있어요.
그것도, 가장 과학적인 방식으로요!

능동적 회상

능동적 회상
(Active Recall)

배운 내용을 단순 읽으며 반복하는 것이 아니라,
능동적으로 기억하고 있는지를
스스로 테스트하며
공부할 수 있는
학습 환경을 제공해 학습 효과를 높여요

간격 반복 학습

간격 반복 학습
(Spaced Repetition)

에빙하우스 망각곡선을 바탕으로
가장 최적의 시점에 복습을 제공하여
배운 내용이 잊히지 않도록 장기 기억화해요

Data 기반의
뇌과학적 복습 시스템

학습 결과 Data를 분석해, 문제별 최적화된
반복 학습량을
자동으로 분배해요.
학습에 소요되는 시간을 최소화하는
동시에
단기 기억을 장기 기억으로 전환해줘요.

36만 개 이상의
기출문제 무료 제공

공무원 및 약 300여종의 자격증 시험 기출문제
36만개
이상을 무료로 이용할 수 있어요.
여러 앱을 설치할 필요
없이, 오늘학습 하나로
모든 시험을 준비할 수 있어요.

다양한 문제 유형으로 만드는
나만의 단어장&문제집

기출 외에도 외워야 하는 내용은
객관식, 주관식, 카드, 빈칸
등 다양한 형식으로
직접 만들어 보세요. 내 학습 스타일에
맞게
나만의 단어장과 문제집을 만들 수 있어요.

시험별 체계적인
문제 관리

시험에 문제를 추가해 체계적으로
관리할 수 있어요.
주제나 단원별로
분류하고 싶다면,
시험에 챕터를 만들어
문제를 추가할 수도 있어요.

수십만 명이
오늘학습을 사랑합니다

앱 스토어 평점 4.9
구글 플레이 평점 4.8
누적 회원수 100,000+
지금 오늘학습을
시작해보세요
지금 시작하기
문제 선택