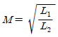
L1, L2 두 코일이 접속되어 있을 때, 누설자속이 없는 이상적인 코일 간의 상호 인덕턴스는?
지금 시작하기 →

・・・ 문제은행 전기기능사(2015년 4회) 7번

전기기능사 2015년 10월 7번

L1, L2 두 코일이 접속되어 있을 때, 누설자속이 없는 이상적인 코일 간의 상호 인덕턴스는?

1
2
3
4
단축키
이전 문제로 이동은 키를 누르고, 다음 문제로 이동은 키를 누르세요
이전 문제 , 다음 문제
문제(60)
49 저압 옥내 간선으로부터 분기하는 곳에 설치하여야 하는 것은? 50 전주를 건주할 경우에 A종 철근콘크리트주의 길이가 10m이면 땅에 묻는 표준 깊이는 최저 약 몇 m인가?(단, 설계하중이 6.8kN 이하 이다.) 51 전로에 지락이 생겼을 경우에 부하 기기, 금속제 외함 등에 발생하는 고장전압 또는 지락전류를 검출하는 부분과 차단기 부분을 조합하여 자동적으로 전로를 차단하는 장치는? 52 소맥분, 전분 기타 가연성의 분진이 존재하는 곳의 저압 옥내 배선 공사 방법에 해당되는 것으로 짝지어진 것은? 53 가로 20m, 세로 18m, 천정의 높이 3.85m, 작업면의 높이 0.85m, 간접조명 방식인 호텔 연회장의 실지수는 약 얼마인가? 54 전선의 도체 단면적이 2.5mm2인 전선 3본을 동일 관내에 넣는 경우의 2종 가요전선관의 최소 굵기(㎜)는? 55 굵은 전선이나 케이블을 절단할 때 사용되는 공구는? 56 ACSR 약호의 품명은? 57 물탱크의 물의 양에 따라 동작하는 자동스위치는? 58 후강 전선관의 관 호칭은( (ㄱ) ) 크기로 정하여 ( (ㄴ) )로 표시하는데, (ㄱ)과 (ㄴ)에 들어갈 내용으로 옳은 것은? 59 노출장소 또는 점검 가능한 은폐장소에서 제2종 가요전선관을 시설하고 제거하는 것이 부자유하거나 점검 불가능한 경우의 곡률 반지름은 안지름의 몇 배 이상으로 하여야 하는가? 60 저고압 가공전선이 철도 또는 궤도를 횡단하는 경우 높이는 궤도면상 몇 m 이상이어야 하는가?(오류 신고가 접수된 문제입니다. 반드시 정답과 해설을 확인하시기 바랍니다.)
App Store Google Play
오늘학습 예시 이미지

시험에 합격하려면
복습을 제대로 해야 합니다.

오늘학습은 스스로 기억을 떠올리고 계획적으로 복습할 수 있도록 설계돼 있어요.
그것도, 가장 과학적인 방식으로요!

능동적 회상

능동적 회상
(Active Recall)

배운 내용을 단순 읽으며 반복하는 것이 아니라,
능동적으로 기억하고 있는지를
스스로 테스트하며
공부할 수 있는
학습 환경을 제공해 학습 효과를 높여요

간격 반복 학습

간격 반복 학습
(Spaced Repetition)

에빙하우스 망각곡선을 바탕으로
가장 최적의 시점에 복습을 제공하여
배운 내용이 잊히지 않도록 장기 기억화해요

Data 기반의
뇌과학적 복습 시스템

학습 결과 Data를 분석해, 문제별 최적화된
반복 학습량을
자동으로 분배해요.
학습에 소요되는 시간을 최소화하는
동시에
단기 기억을 장기 기억으로 전환해줘요.

36만 개 이상의
기출문제 무료 제공

공무원 및 약 300여종의 자격증 시험 기출문제
36만개
이상을 무료로 이용할 수 있어요.
여러 앱을 설치할 필요
없이, 오늘학습 하나로
모든 시험을 준비할 수 있어요.

다양한 문제 유형으로 만드는
나만의 단어장&문제집

기출 외에도 외워야 하는 내용은
객관식, 주관식, 카드, 빈칸
등 다양한 형식으로
직접 만들어 보세요. 내 학습 스타일에
맞게
나만의 단어장과 문제집을 만들 수 있어요.

시험별 체계적인
문제 관리

시험에 문제를 추가해 체계적으로
관리할 수 있어요.
주제나 단원별로
분류하고 싶다면,
시험에 챕터를 만들어
문제를 추가할 수도 있어요.

수십만 명이
오늘학습을 사랑합니다

앱 스토어 평점 4.9
구글 플레이 평점 4.8
누적 회원수 100,000+
지금 오늘학습을
시작해보세요
지금 시작하기
문제 선택