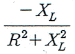
RL 직렬회로에서 서셉턴스는?
지금 시작하기 →

・・・ 문제은행 전기기능사(2016년 1회) 4번

전기기능사 2016년 01월 4번

RL 직렬회로에서 서셉턴스는?

1
2
3
4
단축키
이전 문제로 이동은 키를 누르고, 다음 문제로 이동은 키를 누르세요
이전 문제 , 다음 문제
문제(60)
49 전선을 종단겹침용 슬리브에 의해 종단 접속할 경우 소정의 압축공구를 사용하여 보통 몇 개소를 압착하는가? 50 사람이 상시 통행하는 터널 내 배선의 사용전압이 저압일 때 배선 방법으로 틀린 것은? 51 변압기 중성점에 2종 접지공사를 하는 이유는?(관련 규정 개정전 문제로 여기서는 기존 정답인 4번을 누르면 정답 처리됩니다. 자세한 내용은 해설을 참고하세요.) 52 어느 가정집이 40W LED등 10개, 1kW 전자레인지 1개, 100W 컴퓨터 세트 2대, 1kW 세탁기 1대를 사용하고, 하루 평균 사용 시간이 LED등은 5시간, 전자레인지 30분, 컴퓨터 5시간, 세탁기 1시간이라면 1개월(30일)간의 사용 전력량(kWh)은? 53 고압 가공전선로의 지지물로 철탑을 사용하는 경우 경간은 몇 m 이하로 제한하는가? 54 금속관 구부리기에 있어서 관의 굴곡이 3개소가 넘거나 관의 길이가 30m를 초과하는 경우 적용하는 것은? 55 옥내배선공사할 때 연동선을 사용할 경우 전선의 최소 굵기(mm2)는? 56 연선 결정에 있어서 중심 소선을 뺀 층수가 3층이다. 전체 소선수는? 57 접지전극의 매설 깊이는 몇 m 이상인가? 58 금속관 절단구에 대한 다듬기에 쓰이는 공구는? 59 동전선의 종단접속 방법이 아닌 것은? 60 합성수지관 상호 접속 시에 관을 삽입하는 깊이는 관 바깥지름의 몇 배 이상으로 하여야하는가?(단, 접착제는 사용하지 않는다.)
App Store Google Play
오늘학습 예시 이미지

시험에 합격하려면
복습을 제대로 해야 합니다.

오늘학습은 스스로 기억을 떠올리고 계획적으로 복습할 수 있도록 설계돼 있어요.
그것도, 가장 과학적인 방식으로요!

능동적 회상

능동적 회상
(Active Recall)

배운 내용을 단순 읽으며 반복하는 것이 아니라,
능동적으로 기억하고 있는지를
스스로 테스트하며
공부할 수 있는
학습 환경을 제공해 학습 효과를 높여요

간격 반복 학습

간격 반복 학습
(Spaced Repetition)

에빙하우스 망각곡선을 바탕으로
가장 최적의 시점에 복습을 제공하여
배운 내용이 잊히지 않도록 장기 기억화해요

Data 기반의
뇌과학적 복습 시스템

학습 결과 Data를 분석해, 문제별 최적화된
반복 학습량을
자동으로 분배해요.
학습에 소요되는 시간을 최소화하는
동시에
단기 기억을 장기 기억으로 전환해줘요.

36만 개 이상의
기출문제 무료 제공

공무원 및 약 300여종의 자격증 시험 기출문제
36만개
이상을 무료로 이용할 수 있어요.
여러 앱을 설치할 필요
없이, 오늘학습 하나로
모든 시험을 준비할 수 있어요.

다양한 문제 유형으로 만드는
나만의 단어장&문제집

기출 외에도 외워야 하는 내용은
객관식, 주관식, 카드, 빈칸
등 다양한 형식으로
직접 만들어 보세요. 내 학습 스타일에
맞게
나만의 단어장과 문제집을 만들 수 있어요.

시험별 체계적인
문제 관리

시험에 문제를 추가해 체계적으로
관리할 수 있어요.
주제나 단원별로
분류하고 싶다면,
시험에 챕터를 만들어
문제를 추가할 수도 있어요.

수십만 명이
오늘학습을 사랑합니다

앱 스토어 평점 4.9
구글 플레이 평점 4.8
누적 회원수 100,000+
지금 오늘학습을
시작해보세요
지금 시작하기
문제 선택