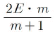
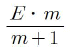
콘크리트의 전단탕성계수(G)를 구하는 공식으로 옳은 것은? (단, E는 탄성계수, m은 프와송수 이다.)
지금 시작하기 →

・・・ 문제은행 콘크리트기사(2020년 1회) 33번

콘크리트기사 2020년 06월 33번

콘크리트의 전단탕성계수(G)를 구하는 공식으로 옳은 것은? (단, E는 탄성계수, m은 프와송수 이다.)

1
2
3
4
단축키
이전 문제로 이동은 키를 누르고, 다음 문제로 이동은 키를 누르세요
이전 문제 , 다음 문제
문제(80)
1 굵은 골재의 체가름을 하여 다음 표와 같은 결과를 얻었다. 이 골재의 조립률은 얼마인가? 2 포졸란 반응의 특징이 아닌 것은? 3 플라이 애시의 품질 시험에 사용하는 시험 모르타르의 배합 비율로서 옳은 것은? (단, 보통 포틀랜드 시멘트 : 플라이 애시의 질량 비율) 4 콘크리트용 강섬유의 인장강도 시험방법(KS F 2565)에 대한 설명으로 틀린 것은? 5 시방배합으로 산출된 단위수량이 165kg/m3인 콘크리트에서 잔골재의 표면 수량 4%, 굵은 골재의 표면수량 2%인 현장 골재를 사용하기 위해 현장배합으로 수정하였다. 현장배합으로 단위 골재량이 650kg/m3, 단위 굵은 골재량 1326kg/m3을 얻었다면 현장배합의 단위 수량은? 6 방청제에 관한 설명으로 옳지 않은 것은? 7 아래 표는 상수돗물 이외의 물을 혼합수로 사용할 경우에 대한 물의 품질을 나타낸 것이다. 틀린 항목을 모두 나열한 것은? 8 콘크리트 배합설계에서 잔골재의 절대용적이 360L, 굵은 골재의 절대용적이 540L인 경우 잔골재율은? 9 콘크리트용 화학 혼화제 중 공기연행감수제의 품질규정 항목과 관련이 없는 것은? 10 콘크리트용 플라이 애시로 사용할 수 없는 것은? 11 콘크리트 배합설계에서 잔골재율을 작게 할 경우에 대한 설명으로 옳지 않은 것은? 12 콘크리트의 압축강도를 알지 못할 때, 또는 압축강도의 시험횟수가 14회 이하인 경우 콘크리트의 배합강도를 구한 것으로 틀린 것은?
61 콘크리트 구조물의 재하시험은 하중을 받는 구조부분의 재령이 최소한 며칠이 지난 다음에 재하시험을 시행하여야 하는가? 62 경험과 기술을 갖춘 사람에 의한 세심한 외관조사 수준의 점검으로서 시설물의 기능적 상태를 판단하고 시설물이 현재의 사용요건을 계속 만족시키고있는지 확인하기 위한 점검은? 63 초음파속도법에 대한 설명으로 옳지 않은 것은? 64 피복두께가 100mm이하이고, 건조 환경에 있는 철근콘크리트 구조물의 허용균열폭은 최대 얼마인가? 65 그림과 같은 단면을 가진 PSC보가 L=15m, 자중을 포함한 계수하중 32.5kN/m가 작용할 때 경간 중앙단면의 상연응력은 약 얼마인가? (단, 프리스트레스 힘 P=3200kN, 편심량 ep=0.2m이다.) 66 직사각형 단철근 보에 배근된 주철근의 설계기준항복강도가 450MPa이고 이 철근에 0.0075의 변형률이 발생했을 때, 다음 설명 중 옳은 것은? (단, 철근의 탄성 계수는 200000MPa이다.) 67 기둥에서 축방향 철근량의 최소한계를 두는 이유로 틀린 것은? 68 콘크리트의 알칼리콜재반응에 의한 열화가 발생되는 직접적인 원인이 아닌 것은? 69 그림과 같은 정사각형 독립확대기초 주변에 작용하는 지압력이 q=160kN/m2일 때 휨에 대한 위험단면의 모멘트는? 70 콘크리트의 설계기준압축강도가 35MPa이고 단위질량이 2100kg/m3일 때, 콘크리트의 탄성계수(Ec)는? 71 옹벽의 안정 조건 중 옳지 않은 것은? 72 저압·저속식 주입공법에서 이용되지 않는 재료는?
App Store Google Play
오늘학습 예시 이미지

시험에 합격하려면
복습을 제대로 해야 합니다.

오늘학습은 스스로 기억을 떠올리고 계획적으로 복습할 수 있도록 설계돼 있어요.
그것도, 가장 과학적인 방식으로요!

능동적 회상

능동적 회상
(Active Recall)

배운 내용을 단순 읽으며 반복하는 것이 아니라,
능동적으로 기억하고 있는지를
스스로 테스트하며
공부할 수 있는
학습 환경을 제공해 학습 효과를 높여요

간격 반복 학습

간격 반복 학습
(Spaced Repetition)

에빙하우스 망각곡선을 바탕으로
가장 최적의 시점에 복습을 제공하여
배운 내용이 잊히지 않도록 장기 기억화해요

Data 기반의
뇌과학적 복습 시스템

학습 결과 Data를 분석해, 문제별 최적화된
반복 학습량을
자동으로 분배해요.
학습에 소요되는 시간을 최소화하는
동시에
단기 기억을 장기 기억으로 전환해줘요.

36만 개 이상의
기출문제 무료 제공

공무원 및 약 300여종의 자격증 시험 기출문제
36만개
이상을 무료로 이용할 수 있어요.
여러 앱을 설치할 필요
없이, 오늘학습 하나로
모든 시험을 준비할 수 있어요.

다양한 문제 유형으로 만드는
나만의 단어장&문제집

기출 외에도 외워야 하는 내용은
객관식, 주관식, 카드, 빈칸
등 다양한 형식으로
직접 만들어 보세요. 내 학습 스타일에
맞게
나만의 단어장과 문제집을 만들 수 있어요.

시험별 체계적인
문제 관리

시험에 문제를 추가해 체계적으로
관리할 수 있어요.
주제나 단원별로
분류하고 싶다면,
시험에 챕터를 만들어
문제를 추가할 수도 있어요.

수십만 명이
오늘학습을 사랑합니다

앱 스토어 평점 4.9
구글 플레이 평점 4.8
누적 회원수 100,000+
지금 오늘학습을
시작해보세요
지금 시작하기
문제 선택