다음 식 중 콘크리트 구조물의 탄산화깊이를 예측할 때 일반적으로 적용되고 있는 식은? (단, X를 탄산화깊이, A를 탄산화 속도계수, t를 경과년수라 한다.)
지금 시작하기 →

・・・ 문제은행 콘크리트기사(2018년 1회) 67번

콘크리트기사 2018년 03월 67번

다음 식 중 콘크리트 구조물의 탄산화깊이를 예측할 때 일반적으로 적용되고 있는 식은? (단, X를 탄산화깊이, A를 탄산화 속도계수, t를 경과년수라 한다.)

1
X=A√t
2
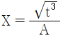
X=At3
3
4
X=At2
단축키
이전 문제로 이동은 키를 누르고, 다음 문제로 이동은 키를 누르세요
이전 문제 , 다음 문제
문제(80)
13 콘크리트에 이용되는 혼화재에 대한 설명으로 틀린 것은? 14 골재의 절대부피가 0.65m3인 콘크리트에서 잔골재율이 42%이고 잔골재의 표건밀도가 2.60g/cm3이면 단위 잔골재량은? 15 콘크리트용 화학혼화제의 작용과 효과에 관한 다음 설명 중 틀린 것은? 16 일반 콘크리트용 천연 잔골재의 성질에 대한 설명으로 틀린 것은? 17 시멘트의 비중시험에 대한 설명으로 틀린 것은? 18 골재의 체가름시험에 관한 설명으로 틀린 것은? 19 콘크리트 압축강도 시험결과가 다음과 같을 경우 표준편차는 얼마인가? (단, 불편분산의 개념에 의해 구하시오.) 20 콘크리트용 굵은 골재의 최대치수에 대한 설명으로 틀린 것은? 21 콘크리트의 동결융해 시험에서 300싸이클에서 상대 동탄성계수가 76%라면, 이 공시체의 내구성 지수는? 22 콘크리트의 충격강도는 말뚝의 항타, 충격하중을 받는 기계기초, 폭발하중을 받는 방호구조 등과 같은 경우에 매우 중요하다. 다음 중 충격강도에 대한 일반적인 설명으로 틀린 것은? 23 콘크리트용 재료를 계량하고자 한다. 고로슬래그 미분말 50kg을 목표로 계량한 결과 50.6kg이 계량되었다면, 계량오차에 대한 올바른 판정은? (단, 콘크리트표준시방서의 규정을 따른다.) 24 일반 콘크리트의 비비기에 대한 설명으로 틀린 것은?
25 콘크리트의 공기량을 감소시키는 요인으로 적합하지 않는 것은? 26 콘크리트의 탄성계수는 압축강도와 일정한 상관관계가 있는 것으로 알려져 있다. 콘크리트의 압축강도가 27MPa일 때 탄성계수는? (단, 보통중량골재를 사용한 콘크리트) 27 3등분점 재하로 휨강도 시험을 실시하였을 때 파괴하중이 30.8kN이었고 지간의 중앙의 1/3내에서 파괴되었다면 휨강도는 얼마인가? (단, 공시체의 크기는 150×150×530mm이며, 지간은 450mm이다.) 28 콘크리트의 압축강도 시험용 공시체 규격 및 시험방법에 대한 설명으로 틀린 것은? 29 굳지 않은 콘크리트의 시료채취방법(KS F 2401)에서 시료의 양에 대한 설명으로 옳은 것은? (단, 분취 시료를 그대로 시료로 하는 경우는 제외한다.) 30 일반적인 레디믹스트콘크리트의 주문 규격이 아래의 표와 같을 경우 다ㅑ음 설명 중 틀린 것은? 31 콘크리트용 재료의 계량에 대한 설명으로 틀린 것은? 32 ø100×200mm 콘크리트 공시체에 축 하중 P=200kN을 가했을 때 세로 방향의 수축량을 구한 값으로 옳은 것은? (단, 콘크리트 탄성계수 Ec=13730N/mm2) 33 품질관리 7가지 관리기법 중 아래의 표에서 설명하는 것은? 34 히스토그램의 특징으로 틀린 것은? 35 콘크리트의 크리프에 영향을 미치는 요인에 대한 설명 중 틀린 것은? 36 레디믹스 콘크리트 혼합에 사용되는 물에 대한 설명으로 틀린 것은?
61 슬래브 두께가 100mm이고, 양쪽의 슬래브의 중심 간 거리가 2.5m, 보의 경간이 6.5m인 대칭 T형보가 있다. 유효깊이가 500mm, 복부폭이 300mm일 때, 플랜지의 유효폭은 얼마인가? 62 균열보수공법 중에서 저압ㆍ지속식 주입공법에 대한 설명으로 틀린 것은? 63 콘크리트 구조물의 표면에 나타나는 열화 등을 조사하는 방법 중에서 눈으로 직접하는 외관조사 항목이 아닌 것은? 64 프리스트레스트 콘크리트에서 프리스트레스의 손실에 대한 설명 중 틀린 것은? 65 보수재료를 선정할 때 고려하여야 하는 사항에 대한 설명으로 틀린 것은? 66 장주의 좌굴하중(Pcr)을 구하는 식이 아래의 표와 같을 때 다음 중 n값이 가장 큰 지점조건은? 67 다음 식 중 콘크리트 구조물의 탄산화깊이를 예측할 때 일반적으로 적용되고 있는 식은? (단, X를 탄산화깊이, A를 탄산화 속도계수, t를 경과년수라 한다.) 68 철근콘크리트 교량의 슬래브에 균열이 발생하였을 때 적용할 수 있는 보수ㆍ보강방법으로 거리가 먼 것은? 69 콘크리트 비파괴시험 방법 중 전자파 레이더법에 대한 설명으로 틀린 것은? 70 아래 그림과 같이 인장철근이 1열로 배근된 단철근 직사각형 보에서 휨에 의한 강도감소계수(ø)를 구하면? (단, fck=28MPa, fy=400MPa, As=4500mm2) 71 전자파 레이더법에서 반사물체까지의 거리(D)를 구하는 식으로 옳은 것은? (단, V는 콘크리트내의 전자파속도, T는 입사파와 반사파의 왕복전파시간) 72 폭은 300mm, 유효깊이는 500mm, As는 1700mm2, fck는 24MPam, fy는 350MPa인 단철근 직사각형 보가 있다. 균형철근비는 얼마인가?(관련 규정 개정전 문제로 여기서는 기존 정답인 1번을 누르면 정답 처리됩니다. 자세한 내용은 해설을 참고하세요.)
App Store Google Play
오늘학습 예시 이미지

시험에 합격하려면
복습을 제대로 해야 합니다.

오늘학습은 스스로 기억을 떠올리고 계획적으로 복습할 수 있도록 설계돼 있어요.
그것도, 가장 과학적인 방식으로요!

능동적 회상

능동적 회상
(Active Recall)

배운 내용을 단순 읽으며 반복하는 것이 아니라,
능동적으로 기억하고 있는지를
스스로 테스트하며
공부할 수 있는
학습 환경을 제공해 학습 효과를 높여요

간격 반복 학습

간격 반복 학습
(Spaced Repetition)

에빙하우스 망각곡선을 바탕으로
가장 최적의 시점에 복습을 제공하여
배운 내용이 잊히지 않도록 장기 기억화해요

Data 기반의
뇌과학적 복습 시스템

학습 결과 Data를 분석해, 문제별 최적화된
반복 학습량을
자동으로 분배해요.
학습에 소요되는 시간을 최소화하는
동시에
단기 기억을 장기 기억으로 전환해줘요.

36만 개 이상의
기출문제 무료 제공

공무원 및 약 300여종의 자격증 시험 기출문제
36만개
이상을 무료로 이용할 수 있어요.
여러 앱을 설치할 필요
없이, 오늘학습 하나로
모든 시험을 준비할 수 있어요.

다양한 문제 유형으로 만드는
나만의 단어장&문제집

기출 외에도 외워야 하는 내용은
객관식, 주관식, 카드, 빈칸
등 다양한 형식으로
직접 만들어 보세요. 내 학습 스타일에
맞게
나만의 단어장과 문제집을 만들 수 있어요.

시험별 체계적인
문제 관리

시험에 문제를 추가해 체계적으로
관리할 수 있어요.
주제나 단원별로
분류하고 싶다면,
시험에 챕터를 만들어
문제를 추가할 수도 있어요.

수십만 명이
오늘학습을 사랑합니다

앱 스토어 평점 4.9
구글 플레이 평점 4.8
누적 회원수 100,000+
지금 오늘학습을
시작해보세요
지금 시작하기
문제 선택