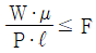
혼성제 직립부의 안전성 해석에 있어서 활동(滑動)에 관한 식 중 옳은 것은? (단, P는 제체에 작용하는 파력의 수평분력, F는 안전율로 F≧1.2 이며, W는 직립부의 자중에서 부력과 양압력을 뺀 무게, μ는 직립부의 저면마찰계수이다.)
지금 시작하기 →

・・・ 문제은행 해양공학기사(2010년) 45번

해양공학기사 2010년 05월 45번

혼성제 직립부의 안전성 해석에 있어서 활동(滑動)에 관한 식 중 옳은 것은? (단, P는 제체에 작용하는 파력의 수평분력, F는 안전율로 F≧1.2 이며, W는 직립부의 자중에서 부력과 양압력을 뺀 무게, μ는 직립부의 저면마찰계수이다.)

1
2
3
4
단축키
이전 문제로 이동은 키를 누르고, 다음 문제로 이동은 키를 누르세요
이전 문제 , 다음 문제
문제(100)
37 우리나라 해도 수심의 기준면은? 38 파고 0.6m인 파가 수심 10m의 운하에서 발생하엿다. 이때 물입자의 최대유속 Umax는? (단, 파의 주기는 30초 이다.) 39 부유사의 체적 농도가 0.01% 일 때 부유사의 농도는? 40 지름 40cm 인 큰 밸브를 통해 0.8 m3/sec 의 물이 흐르는 유동을 연구하기 위한 모형실험을 수행하려 한다. 모형에서는 원형에서와 같은 온도의 물을 사용한다. 모형과 원형 사이에는 기하학적 상사가 완전히 이루어지고, 모형의 지름은 5cm 이다. 모형에서 필요한 유량은 얼마인가? 41 일반적으로 단면 2차 극모멘트(Ip)와 단면2차 모멘트(Ix 또는 Iy)와의 관계가 옳은 것은? 42 사석구조물과 같은 경사식 해안구조물의 장점 중 옳은 것은? 43 그림과 같이 강체인 AB부재가 D점을 중심으로 회전이 가능할 때 A단에 100t의 하중이 작용한다. 이 때 BC 강선에 작용하는 응력의 크기는? (단, BC 강선의 단면적은 6cm2 이다.) 44 잔교의 해석 및 설계 시 고려할 사항 중 틀린 것은? 45 혼성제 직립부의 안전성 해석에 있어서 활동(滑動)에 관한 식 중 옳은 것은? (단, P는 제체에 작용하는 파력의 수평분력, F는 안전율로 F≧1.2 이며, W는 직립부의 자중에서 부력과 양압력을 뺀 무게, μ는 직립부의 저면마찰계수이다.) 46 고장력 볼트의 이음방법 중 교량 구조에 가장 많이 쓰이는 것은? 47 콘크리트 해양구조물의 장점이 아닌 것은? 48 사각형 단면의 보에서 전단응력의 변화 형태는?
85 다음 중 유기재료에 해당하는 것은? 86 아래 그림과 같이 길이가 ℓ인 단면이 일정한 부재가 있는 경우 자중에 의해 축적된 스트레인 에너지(strain energy)값은? (단, 부재의 비중은 B, 부재의 단면적은 A 이다.) 87 콘크리트의 워커빌리티 측정법이 아닌 것은? 88 그림과 같은 직4각형 단면에서 x-x축에 대한 단면 2차 모멘트는 어떻게 표현할 수 있는가? 89 수중 콘크리트에 사용하는 수중불분리성 혼화제의 근본적인 역할은? 90 캐비테이션 부식 방지방법으로 옳지 않은 것은? 91 직경 1cm의 강봉을 인장응력 210kg/cm2으로 당길 때 0.02cm가 늘어났다면 이 강봉의 처음 길이는? (단, 강봉의 탄성계수는 2100000 kg/cm2 이다.) 92 해양구조물에 적합한 폴리머(polymer) 콘크리트에 관한 설명 중 옳지 못한 것은? 93 콘크리트의 성질을 개선할 목적으로 사용되는 혼화재료 중 시멘트 입자에 습윤, 분산작용을 함으로써 콘크리트의 워커빌리티를 향상시키는 것은? 94 정하중으로 파괴를 일으키는 응력보다 훨씬 낮은 응력으로도 반복하여 하중을 가하면 재료가 파괴하게 된다. 이러한 것을 조사하는 시험법을 무엇이라고 하는가? 95 트래미를 사용하여 일반 수중 콘크리트를 타설할 때 슬럼프 값으로 가장 적합한 것은? 96 강철재 녹방지용 페인트에 대한 성질 중 틀린 것은?
App Store Google Play
오늘학습 예시 이미지

시험에 합격하려면
복습을 제대로 해야 합니다.

오늘학습은 스스로 기억을 떠올리고 계획적으로 복습할 수 있도록 설계돼 있어요.
그것도, 가장 과학적인 방식으로요!

능동적 회상

능동적 회상
(Active Recall)

배운 내용을 단순 읽으며 반복하는 것이 아니라,
능동적으로 기억하고 있는지를
스스로 테스트하며
공부할 수 있는
학습 환경을 제공해 학습 효과를 높여요

간격 반복 학습

간격 반복 학습
(Spaced Repetition)

에빙하우스 망각곡선을 바탕으로
가장 최적의 시점에 복습을 제공하여
배운 내용이 잊히지 않도록 장기 기억화해요

Data 기반의
뇌과학적 복습 시스템

학습 결과 Data를 분석해, 문제별 최적화된
반복 학습량을
자동으로 분배해요.
학습에 소요되는 시간을 최소화하는
동시에
단기 기억을 장기 기억으로 전환해줘요.

36만 개 이상의
기출문제 무료 제공

공무원 및 약 300여종의 자격증 시험 기출문제
36만개
이상을 무료로 이용할 수 있어요.
여러 앱을 설치할 필요
없이, 오늘학습 하나로
모든 시험을 준비할 수 있어요.

다양한 문제 유형으로 만드는
나만의 단어장&문제집

기출 외에도 외워야 하는 내용은
객관식, 주관식, 카드, 빈칸
등 다양한 형식으로
직접 만들어 보세요. 내 학습 스타일에
맞게
나만의 단어장과 문제집을 만들 수 있어요.

시험별 체계적인
문제 관리

시험에 문제를 추가해 체계적으로
관리할 수 있어요.
주제나 단원별로
분류하고 싶다면,
시험에 챕터를 만들어
문제를 추가할 수도 있어요.

수십만 명이
오늘학습을 사랑합니다

앱 스토어 평점 4.9
구글 플레이 평점 4.8
누적 회원수 100,000+
지금 오늘학습을
시작해보세요
지금 시작하기
문제 선택