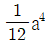
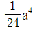
한변의 길이가 a인 정사각형 단면의 대각선 축에 관한 단면 2차모멘트는?
지금 시작하기 →

・・・ 문제은행 해양공학기사(2009년) 42번

해양공학기사 2009년 05월 42번

한변의 길이가 a인 정사각형 단면의 대각선 축에 관한 단면 2차모멘트는?

1
2
3
4
단축키
이전 문제로 이동은 키를 누르고, 다음 문제로 이동은 키를 누르세요
이전 문제 , 다음 문제
문제(100)
25 표사로 인한 해빈의 특수한 평면 형상 중에서 자연해안, 특히 결궤성 해안에서는 정선(汀線)이 원호상으로 드나드는 일이 많다. 이와 같은 원호상의 정선은? 26 해안선의 변형을 예측하는데 주로 사용하는 모델은? 27 주기 3분의 장주기 파랑에 의한 공진현상이 일어날 수 있는 수심이 25m이며, 한쪽이 폐쇄된 내만의 특성길이는? 28 조석이 있는 2개의 해역을 잇는 해협이 있다. 이 해협의 수심과 폭이 일정하며, 해협 양끝에서의 최대 수위차가 1m인 경우 해협 중앙부에서의 최대 조류속도는? 29 모래입자의 평균입경이 d(cm), 해수의 밀도를 ρ(g/cm3), 모래입자의 밀도를 σ(g/cm3), 동점성계수를 ν(cm2/sec) 라고 할 때 Stokes의 한계침강속도 Vc(cm/sec)를 나타낸 식은? 30 취송류(wind drift current)에 관한 설명 중 틀린 것은? 31 물체의 저항과 관련된 설명 중 틀린 것은? 32 이안류에 대한 설명으로 틀린 것은? 33 파의 운동에 관한 설명 중 틀린 것은? 34 톰보로(Tombolo) 지형에 대한 설명으로 옳은 것은? 35 지중해를 그림과 같이 단순모형화 하였을 때 지중해 입구 상층부에서는 36.25‰의 염분을 가진 물이 지중해로 유입되고, 저층부에서는 37.75‰의 염분을 가진 물이 지중해에서 대서양으로 유출되며, 지중해 내에서 단위시간당 증발량이 70×103 m3/s라면 단위시간당 지중해로 유입되는 해수량은? 36 파랑의 굴절현상의 해석에 이용되는 스넬(Snell)법칙은? (단, α1 : 파랑의 입사각, α2 : 파랑의 굴절각, C1 : 파랑의 입사파속, C2 : 파랑의 굴절파속)
85 해양 콘크리트에 사용된 철근의 부식을 최소화 하기 위한 방법이 아닌 것은? 86 지름 4cm, 길이 100cm의 봉에 6000kg의 인장하중을 부과하였다면 축방향의 신장은? (단, E = 0.63 × 106 kg/cm2) 87 굳지 않은 콘크리트의 워커빌리티(workbility) 측정시험 방법이 아닌 것은? 88 시멘트의 비중시험을 위하여 르 샤텔리(Le Chatelier) 비중병의 0.2mL 눈금까지 광유를 주입하고 시료를 64g 가하였을 때의 눈금이 22.4mL이면 이 시료의 비중은? 89 길이 300m, 직경 50mm인 알루미늄 봉을 100kN으로 인장시험한 결과 봉의 길이가 0.3mm 늘어났고 지름은 0.012mm 만큼 감소하였다. 이 때 프와송비는? 90 강을 필요한 용도와 목적에 맞도록 가열 또는 냉각함으로서 그 조직을 바꾸고 가공성, 강도, 점성 등의 성질을 개선시키기 위한 강의 열처리방법에 속하지 않는 것은? 91 허용응역 이하로 긴장해 놓은 PS(Prestressing) 강재(Steel)가 긴장 후 몇 시간, 또는 수십 시간 후에 별안간 끊어지는 현상은? 92 조강성, 내화성, 화학적 저항성이 높고 발열량이 커서 긴급을 요하는 공사, 내화용 콘크리트, 해양콘크리트 또는 한중공사의 시공에 이용될 수 있는 시멘트는? 93 골재의 조립률 설명으로 틀린 것은? 94 콘크리트의 압축강도를 측정하는 방법으로 테스트 해머에 의한 강도 평가방법은? 95 1000kg/cm 의 비틀림 모멘트가 작용하는 직경 6cm인 둥근 막대의 최대전단응력은? 96 철강재료의 녹방지용 페인트 성질을 열거한 내용 중 틀린 것은?
App Store Google Play
오늘학습 예시 이미지

시험에 합격하려면
복습을 제대로 해야 합니다.

오늘학습은 스스로 기억을 떠올리고 계획적으로 복습할 수 있도록 설계돼 있어요.
그것도, 가장 과학적인 방식으로요!

능동적 회상

능동적 회상
(Active Recall)

배운 내용을 단순 읽으며 반복하는 것이 아니라,
능동적으로 기억하고 있는지를
스스로 테스트하며
공부할 수 있는
학습 환경을 제공해 학습 효과를 높여요

간격 반복 학습

간격 반복 학습
(Spaced Repetition)

에빙하우스 망각곡선을 바탕으로
가장 최적의 시점에 복습을 제공하여
배운 내용이 잊히지 않도록 장기 기억화해요

Data 기반의
뇌과학적 복습 시스템

학습 결과 Data를 분석해, 문제별 최적화된
반복 학습량을
자동으로 분배해요.
학습에 소요되는 시간을 최소화하는
동시에
단기 기억을 장기 기억으로 전환해줘요.

36만 개 이상의
기출문제 무료 제공

공무원 및 약 300여종의 자격증 시험 기출문제
36만개
이상을 무료로 이용할 수 있어요.
여러 앱을 설치할 필요
없이, 오늘학습 하나로
모든 시험을 준비할 수 있어요.

다양한 문제 유형으로 만드는
나만의 단어장&문제집

기출 외에도 외워야 하는 내용은
객관식, 주관식, 카드, 빈칸
등 다양한 형식으로
직접 만들어 보세요. 내 학습 스타일에
맞게
나만의 단어장과 문제집을 만들 수 있어요.

시험별 체계적인
문제 관리

시험에 문제를 추가해 체계적으로
관리할 수 있어요.
주제나 단원별로
분류하고 싶다면,
시험에 챕터를 만들어
문제를 추가할 수도 있어요.

수십만 명이
오늘학습을 사랑합니다

앱 스토어 평점 4.9
구글 플레이 평점 4.8
누적 회원수 100,000+
지금 오늘학습을
시작해보세요
지금 시작하기
문제 선택