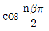
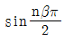
n차 고조파에 대하여 동기 발전기의 단절 계수는? (단, 단절권의 권선피치와 자극 간격과의 비를 β라 한다.)
지금 시작하기 →

・・・ 문제은행 전기기능장(2018년) 31번

전기기능장 2018년 03월 31번

n차 고조파에 대하여 동기 발전기의 단절 계수는? (단, 단절권의 권선피치와 자극 간격과의 비를 β라 한다.)

1
2
3
4
단축키
이전 문제로 이동은 키를 누르고, 다음 문제로 이동은 키를 누르세요
이전 문제 , 다음 문제
문제(60)
1 유도성 부하에 단상 100V의 전압을 가하면 30A의 전류가 흐르고 1.8kW의 전력을 소비한다고 한다. 이 유도성 부하와 병렬로 콘덴서를 접속하여 회로의 합성역률을 100%로 하기 위한 용량성 리액턴스는 약 몇 Ω이면 되는가? 2 그림과 같은 병렬회로에서 저항 r=3Ω, 유도 리액턴스 X=4Ω이다. 이 회로 a-b간의 역률은? 3 그림과 같은 RLC 병렬 공진회로에 관한 설명 중 옳지 않은 것은? (단, Q는 전류확대율이다.) 4 환상 솔레노이드의 원환 중심선의 반지름 a=50㎜, 권수 N=1000회이고, 여기에 20mA의 전류가 흐를 때, 중심선의 자계의 세기는 약 몇 AT/m인가? 5 그림의 회로에서 5Ω의 저항에 흐르는 전류 (A)는? (단, 각각의 전원은 이상적인 것으로 본다.) 6 순서회로 설계의 기본인 JK-FF 진리표에서 현재 상태의 출력 Qn 이 “0”이고, 다음 상태의 출력 Qn+1 이 “1”일 때 필요입력 J 및 K의 값 은? (단, x는 “0” 또는 “1”이다.) 7 그림과 같은 v=sinωt V인 정현파 교류전압의 반파 정류파에서 사선부분의 평균값은 약 몇 V 인가? 8 콘덴서 용량이 C1, C2인 2개를 병렬로 연결했을 때 합성용량은? 9 이상 변압기를 포함하는 그림과 같은 회로의 4단자 정수 는?(오류 신고가 접수된 문제입니다. 반드시 정답과 해설을 확인하시기 바랍니다.) 10 다음 그림에서 코일에 인가되는 전압의 크기 VL은 몇 V 인가? 11 회로에 접속된 콘덴서(C)와 코일(L)에서 실제적으로 급격하게 변할 수 없는 것은? 12 많은 입력선 중에 필요한 데이터를 선택하여 단일 출력선으로 연결시켜 주는 회로는?
37 전기설비가 고장이 나지 않은 상태에서 대지 또는 회로의 노출 도전성 부분에 흐르는 전류는? 38 동기조상기에 유입되는 여자전류를 정격보다 적게 공급시켜 운전했을 때의 현상으로 옳은 것은? (문제 오류로 실제 시험에서는 모두 정답처리 되었습니다. 여기서는 1번을 누르면 정답 처리 됩니다.) 39 다음은 풍압하중과 관련된 내용이다. ㉮, ㉯의 알맞은 내용으로 옳은 것은? 40 저압 연접 인입선의 시설에 대한 기준으로 틀린 것은? 41 평균 구면광도 200cd의 전구 10개를 지름 10m인 원형의 방에 점등할 때 방의 평균조도는 약 몇 lx 인가? (단, 조명률은 0.5, 감광보상률은 1.5 이다.) 42 애자사용 공사에 의한 고압 옥내배선의 시설에 있어서 적당하지 않은 것은? 43 2종 가요전선관을 구부리는 경우 노출장소 또는 점검 가능한 은폐장소에서 관을 시설하고 제거하는 것이 부자유 하거나 또는 점검이 불가능한 경우는 곡률 반지름을 2종 가요전선관 안지름의 몇 배 이상으로 하여야 하는가? 44 저압, 고압 및 특고압 수전의 3상 3선식 또 는 3상 4선식에서 불평형부하의 한도는 단상 접속부하로 계산하여 설비불평형률을 30% 이하로 하는 것을 원칙으로 한다. 다음 중 이 제한에 따르지 않아도 되는 경우가 아닌 것은? 45 소도체 2개로 된 복도체 방식 3상 3선식 송 전선로가 있다 소도체의 지름 2㎝, 간격 36㎝, 등가 선간거리가 120 ㎝인 경우에 복도체 1 km의 인덕턴스는 약 몇 mH/km 인가? 46 과전류차단기로 시설하는 퓨즈 중 고압전로에 사용하는 포장 퓨즈는 정격전류의 몇 배의 전류에 견디어야 하는가? (단, 전기설비기술기준의 판단기준에 의한다.) 47 가공 송전선로에서 단도체보다 복도체를 많이 사용하는 이유는? 48 가공전선로의 지지물에 시설하는 지선의 시설기준이 아닌 것은?
App Store Google Play
오늘학습 예시 이미지

시험에 합격하려면
복습을 제대로 해야 합니다.

오늘학습은 스스로 기억을 떠올리고 계획적으로 복습할 수 있도록 설계돼 있어요.
그것도, 가장 과학적인 방식으로요!

능동적 회상

능동적 회상
(Active Recall)

배운 내용을 단순 읽으며 반복하는 것이 아니라,
능동적으로 기억하고 있는지를
스스로 테스트하며
공부할 수 있는
학습 환경을 제공해 학습 효과를 높여요

간격 반복 학습

간격 반복 학습
(Spaced Repetition)

에빙하우스 망각곡선을 바탕으로
가장 최적의 시점에 복습을 제공하여
배운 내용이 잊히지 않도록 장기 기억화해요

Data 기반의
뇌과학적 복습 시스템

학습 결과 Data를 분석해, 문제별 최적화된
반복 학습량을
자동으로 분배해요.
학습에 소요되는 시간을 최소화하는
동시에
단기 기억을 장기 기억으로 전환해줘요.

36만 개 이상의
기출문제 무료 제공

공무원 및 약 300여종의 자격증 시험 기출문제
36만개
이상을 무료로 이용할 수 있어요.
여러 앱을 설치할 필요
없이, 오늘학습 하나로
모든 시험을 준비할 수 있어요.

다양한 문제 유형으로 만드는
나만의 단어장&문제집

기출 외에도 외워야 하는 내용은
객관식, 주관식, 카드, 빈칸
등 다양한 형식으로
직접 만들어 보세요. 내 학습 스타일에
맞게
나만의 단어장과 문제집을 만들 수 있어요.

시험별 체계적인
문제 관리

시험에 문제를 추가해 체계적으로
관리할 수 있어요.
주제나 단원별로
분류하고 싶다면,
시험에 챕터를 만들어
문제를 추가할 수도 있어요.

수십만 명이
오늘학습을 사랑합니다

앱 스토어 평점 4.9
구글 플레이 평점 4.8
누적 회원수 100,000+
지금 오늘학습을
시작해보세요
지금 시작하기
문제 선택