f(t)=sintcost를 라플라스변환하면?
지금 시작하기 →

・・・ 문제은행 전기기능장(2016년 1회) 12번

전기기능장 2016년 04월 12번

f(t)=sintcost를 라플라스변환하면?

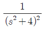
1
2
3
4
단축키
이전 문제로 이동은 키를 누르고, 다음 문제로 이동은 키를 누르세요
이전 문제 , 다음 문제
문제(60)
1 고압 보안공사에서 전선을 경동선으로 사용하는 경우 지름 몇 ㎜ 이상의 것을 사용하여야 하는지 그 기준으로 옳은 것은? 2 제 2종 접지공사에 사용하는 접지선을 사람이 접촉할 우려가 있는 곳에 시설하는 경우, 접지극을 지중에서 철주 또는 기타의 금속체로부터 몇 ㎝ 이상 떼어서 매설하여야 하는가? 3 그림과 같은 회로에서 전류 I(A)는? 4 일반 변전소 또는 이에 준하는 곳의 주요 변압기에 시설하여야 하는 계측장치로 옳은 것은? 5 교류와 직류 양쪽 모두에 사용 가능한 전동기는? 6 송전단 전압 66kV, 수전단 전압 61kV인 송전선로에서 수전단의 부하를 끊은 경우의 수전단 전압이 63kV이면 전압변동률은 약 몇 % 인가? 7 동기 전동기를 무부하로 하였을 때, 계자전류를 조정하면 동기기는 L과 C소자와 같이 작동하고 계자전류를 어떤 일정 값 이하의 범위에서 가감하면 가변 리액턴스가 되고, 어떤 일정값이상에서 가감하면 가변 커패시턴스로 작동한다 이와 같은 목적으로 사용되는 것은? 8 단권 변압기에 대한 설명이다. 틀린 것은? 9 JK FF에서 현재상태의 출력 Qn을 1로 하고, J입력에 0, K입력에 0을 클럭펄스 CP에 rising edge의 신호를 가하게 되면 다음 상태의 출력 Qn+1은 무엇이 되는가? 10 합성수지몰드공사에 사용하는 몰드 홈의 폭과 깊이는 몇 ㎝ 이하가 되어야 하는가? (단, 두께는 1.2㎜ 이상이다.) 11 3상 유도전동기의 2차 입력, 2차 동손 및 슬립을 각각 P2, P2c, s라 하면 이들의 관계식은? 12 f(t)=sintcost를 라플라스변환하면?
13 선간거리 D(m)이고, 반지름이 r(m)인 선로의 인덕턴스 L(mH/km)은? 14 변압기에서 여자전류를 감소시키려면? 15 역률을 개선하면 전력요금의 절감과 배전선의 손실경감, 전압강하의 감소, 설비여력의 증가 등을 기할 수 있으나, 너무 과보상하면 역효과가 나타난다. 즉, 경부하시에 콘덴서가 과대 삽입되는 경우의 결점에 해당되는 사항이 아닌 것은? 16 전기설비기술기준의 판단기준에 의하여 전력용 커패시터의 뱅크용량이 15000kVA 이상인 경우에는 자동적으로 전로로부터 자동 차단하는 장치를 시설하여야 한다. 장치를 시설하여야 하는 기준으로 틀린 것은? 17 그림은 동기발전기의 특성을 나타낸 곡선이다. 단락곡선은 어느 것인가? (단,Vn은 정격전압, In 정격전류, If 계자전류, Is는 단락전류이다.) 18 변압기의 철손과 동손을 측정할 수 있는 시험으로 옳은 것은? 19 합성수지관 공사에 의한 저압 옥내배선의 시설 기준으로 틀린 것은? 20 전등 및 소형기계기구의 용량합계가 25kVA, 대형 기계기구 8kVA의 학교에 있어서 간선의 전선 굵기 산정에 필요한 최대 부하는 몇 kVA 인가? (단, 학교의 수용률은 70% 이다.) 21 다음과 같은 회로에서 저항 R이 0Ω인 것을 사용하면 무슨 문제가 발생하는가? 22 그림과 같은 직렬형 인버터에 대해서 L=1mH, C=8㎌일 때 출력 주파수를 1kHz로 할 경우 거의 정현파의 출력전압 파형이 얻어진다. 이 때 부하 저항 R은 몇 Ω인가? 23 AND게이트 1개와 배타적 OR게이트 1개로 구성되는 회로는? 24 3상 전류원 인버터(CSI)에 관한 설명이다. 틀린 것은?
37 1500kW, 6000V, 60㎐의 3상 부하의 역률이 75%(뒤짐)이다. 이 때 이부하의 무효분은 약 몇 kVar인가? 38 그림과 같은 회로에서 스위치 S를 닫을 때 t초 후의 R에 걸리는 전압은? 39 그림과 같은 회로는 어떤 논리동작을 하는가? (단, A, B는 입력이며, F는 출력이다.) 40 직류 발전기의 극수가 10극이고, 전기자 도체수가 500, 단중 파권일 때 매극의 자속수가 0.01Wb이면 600rpm의 속도로 회전할 때의 기전력은 몇 V 인가? 41 그림과 같은 논리회로의 논리함수는? 42 전격살충기를 시설 할 경우 전격격자와 시설물 또는 식물 사이의 이격거리는 몇 ㎝ 이상 이어야 하는가? 43 저압 연접인입선의 시설기준으로 옳은 것은? 44 소맥분, 전분, 기타의 가연성 분진이 존재하는 곳의 저압 옥내배선 공사방법으로 적합하지 않은 것은? 45 3상 3선식 선로에서 수전단 전압 6.6kV, 역률 80%(지상), 600kVA의 3상 평형부하가 연결되어 있다. 선로의 임피던스 R=3Ω, X=4Ω인 경우 송전단 전압은 약 몇 V인가? 46 다음 중 SCR에 대한 설명으로 가장 옳은 것은? 47 최대 사용전압이 7kV 이하인 발전기의 절연 내력을 시험하고자 한다. 최대사용전압의 몇 배의 전압으로 권선과 대지사이에 연속하여 몇 분간 가하여야 하는지 그 기준을 옳게 나타낸 것은? 48 전력 원선도에서 구할 수 없는 것은?
App Store Google Play
오늘학습 예시 이미지

시험에 합격하려면
복습을 제대로 해야 합니다.

오늘학습은 스스로 기억을 떠올리고 계획적으로 복습할 수 있도록 설계돼 있어요.
그것도, 가장 과학적인 방식으로요!

능동적 회상

능동적 회상
(Active Recall)

배운 내용을 단순 읽으며 반복하는 것이 아니라,
능동적으로 기억하고 있는지를
스스로 테스트하며
공부할 수 있는
학습 환경을 제공해 학습 효과를 높여요

간격 반복 학습

간격 반복 학습
(Spaced Repetition)

에빙하우스 망각곡선을 바탕으로
가장 최적의 시점에 복습을 제공하여
배운 내용이 잊히지 않도록 장기 기억화해요

Data 기반의
뇌과학적 복습 시스템

학습 결과 Data를 분석해, 문제별 최적화된
반복 학습량을
자동으로 분배해요.
학습에 소요되는 시간을 최소화하는
동시에
단기 기억을 장기 기억으로 전환해줘요.

36만 개 이상의
기출문제 무료 제공

공무원 및 약 300여종의 자격증 시험 기출문제
36만개
이상을 무료로 이용할 수 있어요.
여러 앱을 설치할 필요
없이, 오늘학습 하나로
모든 시험을 준비할 수 있어요.

다양한 문제 유형으로 만드는
나만의 단어장&문제집

기출 외에도 외워야 하는 내용은
객관식, 주관식, 카드, 빈칸
등 다양한 형식으로
직접 만들어 보세요. 내 학습 스타일에
맞게
나만의 단어장과 문제집을 만들 수 있어요.

시험별 체계적인
문제 관리

시험에 문제를 추가해 체계적으로
관리할 수 있어요.
주제나 단원별로
분류하고 싶다면,
시험에 챕터를 만들어
문제를 추가할 수도 있어요.

수십만 명이
오늘학습을 사랑합니다

앱 스토어 평점 4.9
구글 플레이 평점 4.8
누적 회원수 100,000+
지금 오늘학습을
시작해보세요
지금 시작하기
문제 선택