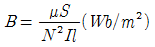
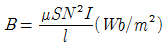
단면적 S(m2), 길이 l(m), 투자율 μ(H/m)의 자기회로에 N회의 코일을 감고 I(A)의 전류를 통할 때, 자기회로의 옴의 법칙을 옳게 표현한 것은?
지금 시작하기 →

・・・ 문제은행 전기기능장(2014년 2회) 47번

전기기능장 2014년 07월 47번

단면적 S(m2), 길이 l(m), 투자율 μ(H/m)의 자기회로에 N회의 코일을 감고 I(A)의 전류를 통할 때, 자기회로의 옴의 법칙을 옳게 표현한 것은?

1
2
3
4
단축키
이전 문제로 이동은 키를 누르고, 다음 문제로 이동은 키를 누르세요
이전 문제 , 다음 문제
문제(60)
13 를 복소수로 표시하면? 14 다음은 3상 전압형 인버터를 이용한 전동기 운전회로의 일부이다. 회로에서 트랜지스터의 기본적인 역할로 가장 적당한 것은? 15 인터럽트(interrupt) 발생 시 수행되어 할 일이 아닌 것은? 16 풀용 수중조명등에 전기를 공급하기 위하여 1차측 120V, 2차측 30V의 절연 변압기를 사용하였다. 절연 변압기의 2차측 전로의 접지공사에 관한 내용으로 옳은 것은? 17 Boost 컨버터에서 입·출력 전압비 는? (단, D는 시비율(duty cycle)이다.) 18 단상 유도전압조정기의 동작 원리 중 가장 적당한 것은? 19 그림과 같은 회로에 입력 전압 220V를 가할 때 30Ω의 저항에 흐르는 전류는 몇 A인가? 20 마이크로프로세서에서 번지지정 방법 중 레지스터 간접번지 지정에 해당하는 명령의 표현인 것은? 21 논리회로의 출력함수가 뜻하는 논리게이트의 명칭은? 22 저압 옥상전선로를 전개된 장소에 시설하고자 할 때 다음 중 옳지 않은 것은? 23 3300V, 60㎐ 용 변압기의 와류손이 620W이다. 이 변압기를 2650V, 50㎐의 주파수에 사용할 때 와류손은 약몇 W인가? 24 과전류 차단기로 저압전로에 사용하는 퓨즈를 수평으로 붙인 경우, 정격전류의 1.1배의 전류에 견디어야 한다. 퓨즈의 정격전류가 30A를 넘고 60A이하일 때 2배의 전류를 통한 경우 몇 분 이내로 용단되어야 하는가?
37 다음 중 기록된 자료를 자외선을 쬐어서 지울 수 있고, 다시 새로운 자료를 써 넣을 수 있는 것은? 38 금속몰드공사에 의한 저압 옥내배선의 몰드에는 제 몇종 접지공사를 하여야 하는가?(관련 규정 개정전 문제로 여기서는 기존 정답인 3번을 누르면 정답 처리됩니다. 자세한 내용은 해설을 참고하세요.) 39 PN 접합 다이오드에 공핍층이 생기는 경우는? 40 동기전동기는 유도전동기에 비하여 어떤 장점이 있는가? 41 래칭전류(Latching Current)를 올바르게 설명한 것은? 42 다음 중 8086 마이크로프로세서의 세그먼트 레지스터가 아닌 것은? 43 벅 컨버터(Buck Converter)에 대한 설명으로 옳지 않은 것은? 44 조상기의 내부고장이 생긴 경우 자동적으로 전로를 차단하는 장치를 설치하여야 하는 용량의 기준은? 45 2.5mm2 전선 5본과, 4.0mm2 전선 3본을 동일한 금속전선관(후강)에 넣어 시공할 경우 관의 굵기의 호칭은? (단, 피복절연물을 포함한 전선의 단면적은 표와 같으며, 절연전선을 금속관 내에 넣을 경우의 보정계수는 2.0으로 한다.) 46 1200lm의 광속을 갖는 전등 10개를 120m2의 사무실에 설치할 때 조명률이 0.5이고 감광보상률이 1.5이면 이사무실의 평균조도는 약 몇 lx인가? 47 단면적 S(m2), 길이 l(m), 투자율 μ(H/m)의 자기회로에 N회의 코일을 감고 I(A)의 전류를 통할 때, 자기회로의 옴의 법칙을 옳게 표현한 것은? 48 다음 사이리스터 중 순방향 전압에서 양(+)의 전류에 의하여 턴-온 시킬 수 있고, 음(-)의 전류로 턴-오프 시킬수 있는 것은?
49 동기 발전기에서 부하가 갑자기 변화할 때 발전기의 회전 속도가 동기속도 부근에서 진동하는 현상을 무엇이라 하는가? 50 지중전선로 공사에서 케이블 포설시 케이블 끝단에 설치하여 당길 수 있도록 하는데 사용하는 것은? 51 모든 전기 장치에 접지시키는 근본적인 이유는? 52 전선의 접속법에서 두 개 이상의 전선을 병렬로 시설하여 사용하는 경우에 대한 사항으로 옳지 않은 것은? 53 콘덴서 기동형 단상 유도전동기의 설명으로 옳은 것은? 54 CISC(Complex Instruction Set Computer)의 특징으로 옳지 않은 것은? 55 일정 통제를 할 때 1일당 그 작업을 단축하는데 소요되는 비용의 증가를 의미하는 것은? 56 그림의 OC곡선을 보고 가장 올바른 내용을 나타낸 것은? 57 np 관리도에서 시료군 마다 시료수(n)는 100이고, 시료군의 수(k)는 20, 이다. 이 때 np관리도의 관리상한선(UCL)을 구하면 약 얼마인가? 58 다음 중 단속생산 시스템과 비교한 연속생산 시스템의 특징으로 옳은 것은? 59 미국의 마틴 마리에타사(Martin Marietta Corp)에서 시작된 품질개선을 위한 동기부여 프로그램으로, 모든 작업자가 무결점을 목표로 설정하고, 처음부터 작업을 올바르게 수행함으로써 품질비용을 줄이기 위한 프로그램은 무엇인가? 60 MTM(Method Time Measurement)법에서 사용되는1TMU(Time Measurement Unit)는 몇 시간인가?
App Store Google Play
오늘학습 예시 이미지

시험에 합격하려면
복습을 제대로 해야 합니다.

오늘학습은 스스로 기억을 떠올리고 계획적으로 복습할 수 있도록 설계돼 있어요.
그것도, 가장 과학적인 방식으로요!

능동적 회상

능동적 회상
(Active Recall)

배운 내용을 단순 읽으며 반복하는 것이 아니라,
능동적으로 기억하고 있는지를
스스로 테스트하며
공부할 수 있는
학습 환경을 제공해 학습 효과를 높여요

간격 반복 학습

간격 반복 학습
(Spaced Repetition)

에빙하우스 망각곡선을 바탕으로
가장 최적의 시점에 복습을 제공하여
배운 내용이 잊히지 않도록 장기 기억화해요

Data 기반의
뇌과학적 복습 시스템

학습 결과 Data를 분석해, 문제별 최적화된
반복 학습량을
자동으로 분배해요.
학습에 소요되는 시간을 최소화하는
동시에
단기 기억을 장기 기억으로 전환해줘요.

36만 개 이상의
기출문제 무료 제공

공무원 및 약 300여종의 자격증 시험 기출문제
36만개
이상을 무료로 이용할 수 있어요.
여러 앱을 설치할 필요
없이, 오늘학습 하나로
모든 시험을 준비할 수 있어요.

다양한 문제 유형으로 만드는
나만의 단어장&문제집

기출 외에도 외워야 하는 내용은
객관식, 주관식, 카드, 빈칸
등 다양한 형식으로
직접 만들어 보세요. 내 학습 스타일에
맞게
나만의 단어장과 문제집을 만들 수 있어요.

시험별 체계적인
문제 관리

시험에 문제를 추가해 체계적으로
관리할 수 있어요.
주제나 단원별로
분류하고 싶다면,
시험에 챕터를 만들어
문제를 추가할 수도 있어요.

수십만 명이
오늘학습을 사랑합니다

앱 스토어 평점 4.9
구글 플레이 평점 4.8
누적 회원수 100,000+
지금 오늘학습을
시작해보세요
지금 시작하기
문제 선택