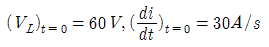
그림과 같은 회로에서 스위치 S를 t=0에서 닫았을 때 이다. L의 값은 몇 H인가?
지금 시작하기 →

・・・ 문제은행 전기기능장(2016년 2회) 37번

전기기능장 2016년 07월 37번

그림과 같은 회로에서 스위치 S를 t=0에서 닫았을 때 이다. L의 값은 몇 H인가?

1
0.5
2
1.0
3
1.25
4
2
단축키
이전 문제로 이동은 키를 누르고, 다음 문제로 이동은 키를 누르세요
이전 문제 , 다음 문제
문제(60)
13 그림과 같은 회로에서 전압비의 전달함수는? 14 자기인덕턴스가 L1, L2 상호인덕턴스가 M인 두 회로의 결합계수가 1인 경우 L1, L2, M의 관계는? 15 권수비 50인 단상변압기가 전부하에서 2차 전압이 115V, 전압변동률이 2%라 한다. 1차 단자전압(V)은? 16 주택배선에 금속관 또는 합성수지관공사를 할 때 전선을 2.5mm2의 단선으로 배선하려고 한다. 전선관의 접속함(정션 박스) 내에서 비닐테이프를 사용하지 않고 직접 전선 상호간을 접속하는데 가장 편리한 재료는? 17 비투자율 3000인 자로의 평균 길이 50㎝, 단면적 30cm2인 철심에 감긴, 권수 425회의 코일에 0.5A의 전류가 흐를 때 저축되는 전자(電磁)에너지는 약 몇 J인가? 18 단상 교류 위상제어 회로의 입력 전원전압 이 vs=Vmsinθ이고, 전원 vs 양의 반주기 동안 사이리스터 T1을 점호각 α에서 턴온 시키고, 전원의 음의 반주기 동안에는 사이리스터 T2를 턴온 시킴으로써 출력전압(v0)의 파형을 얻었다면 단상 교류 위상제어 회로의 출력전압에 대한 실효값은? 19 전동기의 외함과 권선 사이에 절연상태를 점검하고자 한다. 다음 중 필요한 것은 어느 것인가? 20 MOS-FET의 드레인 전류는 무엇으로 제어 하는가? 21 2대의 직류 분권발전기 G1, G2를 병렬 운전시킬 때, G1의 부하 분담을 증가시키려면 어떻게 하여야 하는가? 22 반파 정류 회로에서 직류 전압 220V를 얻는데 필요한 변압기 2차 상전압은 약 몇 V인가? (단, 부하는 순저항이고, 변압기 내의 전압강하는 무시하며, 정류기 내의 전압강하는 50V로 한다.) 23 단상 전파 정류회로를 구성한 것으로 옳은 것은? 24 전기자 권선에 의해 생기는 전기자 기자력을 없애기 위하여 주 자극의 중간에 작은 자극으로 전기자 반작용을 상쇄하고 또한 정류에 의한 리액턴스 전압을 상쇄하여 불꽃을 없애는 역할을 하는 것은?
25 화약류 저장소 안에는 전기설비를 시설하여서는 아니 되나 백열전등이나 형광등 또는 이들에 전기를 공급하기 위한 전기설비를 금속관공사에 의한 규정 등을 준수하여 시설하는 경우에 는 설치할 수 있다. 설치할 수 있는 시설기준으로 틀린 것은? 26 가로 25m, 세로 8m 되는 면적을 갖는 상가에 사용전압 220V, 15A 분기회로로 할 때, 표준 부하에 의하여 분기회로수를 구하면 몇 회로로 하면 되는가? 27 그림의 트랜지스터 회로에 5V 펄스 1개를 RB저항을 통하여 인가하면 출력 파형 V0는? (문제 오류로 실제 시험에서는 1, 3번이 정답처리 되었습니다. 여기서는 3번을 누르면 정답 처리 됩니다.) 28 전력 원선도의 가로축과 세로축은 각각 무엇을 나타내는가? 29 그림과 같은 회로에서 저항 R2에 흐르는 전류는 약 몇 A인가? 30 부하를 일정하게 유지하고 역률 1로 운전중인 동기전동기의 계자전류를 감소시키면? 31 엔트런스 캡의 주된 사용 장소는 다음 중 어느 것인가? 32 정격출력 20kVA, 정격전압에서의 철손150W, 정격전류에서 동손 200W의 단상변압기에 뒤진 역률 0.8인 어느 부하를 걸었을 경우 효율이 최대라 한다. 이 때 부하율은 약 몇 %인가? 33 정류회로에서 교류 입력 상(phase) 수를 크게 했을 경우의 설명으로 옳은 것은? 34 수전단 전압 66kV, 전류 100A, 선로저항 10Ω, 선로 리액턴스 15Ω, 수전단 역률 0.8인 단거리 송전선로의 전압강하율은 약 몇 %인가?(오류 신고가 접수된 문제입니다. 반드시 정답과 해설을 확인하시기 바랍니다.) 35 3300/110V 계기용 변압기(PT)의 2차측 전압을 측정하였더니 105V였다. 1차측 전압은 몇 V 인가? 36 전기자 전류 20A일 때 100N·m의 토크를 내는 직류 직권 전동기가 있다. 전기자 전류가 40A로 될 때 토크는 약 몇 kg·m 인가?
37 그림과 같은 회로에서 스위치 S를 t=0에서 닫았을 때 이다. L의 값은 몇 H인가? 38 다음 논리식을 간략화 하면? 39 단상 3선식 220/440V 전원에 다음과 같이 부하가 접속 되었을 경우 설비 불평형률은 약 몇 %인가? 40 평행판 콘덴서에서 전압이 일정한 경우 극판 간격을 2배로 하면 내부의 전계의 세기는 어떻게 되는가? 41 옥내에 시설하는 전동기에는 전동기가 소손될 우려가 있는 과전류가 생겼을 때에 자동적으로 이를 저지하거나 경보하는 장치를 하여야 한다. 이 장치를 시설하지 않아도 되는 경우는? 42 500lm의 광속을 발산하는 전등 20개를 1000m2방에 점등하였을 경우 평균조도는 약 몇 lx인 가? (단, 조명률은 0.5, 감광 보상률은 1.5이다.) 43 변압기 단락시험에서 2차측을 단락하고 1차 측에서 정격전압을 가하면 큰 단락전류가 흘러 변압기가 소손 된다. 이에 따라 정격주파수의 전압을 서서히 증가시켜 1차 정격전류가 될 때 의 변압기 1차측 전압을 무엇이라 하는가? 44 다음 논리식을 간소화 하면? 45 접지재료의 구비 조건이 아닌 것은? 46 인버터 제어라고도 하며 유도전동기에 인가되는 전압과 주파수를 변환시켜 제어하는 방식은? 47 그림의 부스터 컨버터 회로에서 입력전압 (Vs)의 크기가 20V이고 스위칭 주기(T)에 대한 스위치(SW)의 온(On) 시간(ton)의 비인 듀티비(D)가 0.6이었다면, 부하저항(R)의 크기가 10Ω인 경우 부하저항에서 소비되는 전력(W)은? 48 인버터의 스위칭 소자와 역병렬 접속된 다이오드에 관한 설명으로 가장 적합한 것은?
App Store Google Play
오늘학습 예시 이미지

시험에 합격하려면
복습을 제대로 해야 합니다.

오늘학습은 스스로 기억을 떠올리고 계획적으로 복습할 수 있도록 설계돼 있어요.
그것도, 가장 과학적인 방식으로요!

능동적 회상

능동적 회상
(Active Recall)

배운 내용을 단순 읽으며 반복하는 것이 아니라,
능동적으로 기억하고 있는지를
스스로 테스트하며
공부할 수 있는
학습 환경을 제공해 학습 효과를 높여요

간격 반복 학습

간격 반복 학습
(Spaced Repetition)

에빙하우스 망각곡선을 바탕으로
가장 최적의 시점에 복습을 제공하여
배운 내용이 잊히지 않도록 장기 기억화해요

Data 기반의
뇌과학적 복습 시스템

학습 결과 Data를 분석해, 문제별 최적화된
반복 학습량을
자동으로 분배해요.
학습에 소요되는 시간을 최소화하는
동시에
단기 기억을 장기 기억으로 전환해줘요.

36만 개 이상의
기출문제 무료 제공

공무원 및 약 300여종의 자격증 시험 기출문제
36만개
이상을 무료로 이용할 수 있어요.
여러 앱을 설치할 필요
없이, 오늘학습 하나로
모든 시험을 준비할 수 있어요.

다양한 문제 유형으로 만드는
나만의 단어장&문제집

기출 외에도 외워야 하는 내용은
객관식, 주관식, 카드, 빈칸
등 다양한 형식으로
직접 만들어 보세요. 내 학습 스타일에
맞게
나만의 단어장과 문제집을 만들 수 있어요.

시험별 체계적인
문제 관리

시험에 문제를 추가해 체계적으로
관리할 수 있어요.
주제나 단원별로
분류하고 싶다면,
시험에 챕터를 만들어
문제를 추가할 수도 있어요.

수십만 명이
오늘학습을 사랑합니다

앱 스토어 평점 4.9
구글 플레이 평점 4.8
누적 회원수 100,000+
지금 오늘학습을
시작해보세요
지금 시작하기
문제 선택