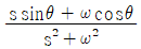
의 역라플라스 변환을 구하면 어떻게 되는가?
지금 시작하기 →

・・・ 문제은행 철도신호산업기사(2018년) 80번

철도신호산업기사 2018년 08월 80번

의 역라플라스 변환을 구하면 어떻게 되는가?

1
sin(ωt-θ)
2
sin(ωt+θ)
3
cos(ωt-θ)
4
cos(ωt+θ)
단축키
이전 문제로 이동은 키를 누르고, 다음 문제로 이동은 키를 누르세요
이전 문제 , 다음 문제
문제(80)
37 변압기 부하가 증가할 때의 현상으로 틀린 것은? 38 열차가 궤도회로 점유 시 궤도단락으로 인한 레일의 자화전류와 차상 LOOP 코일의 공진작용을 이용하여 열차를 제어하는 방식은? 39 단상 변압기의 2차 무부하 전압이 210Vd고 정격 부하 시의 2차 단자전압이 200V이다. 전압변동률은 약 몇 % 인가? 40 3상 유도전동기의 원선도를 그리는 데 필요한 단락전류 크기와 위상각을 얻는 시험은? 41 단선구간 역간 평균 열차운행시간이 5분이고 폐색취급 시간이 1분 30초일 때 이 역간 1일 최대 선로용량은? (단, 선로이용률은 0.5 이다.) 42 진로선별계전기의 설치 위치는? 43 ATS-S형 지상자의 선택도(Q)를 옳게 표현한 것은? (단, R은 회로의 저항, L은 인덕턴스, C는 커패시턴스이다.) 44 열차자동제어장치(ATC) 지시속도에서 기지모드(yard mode)에서의 최대 운전속도(km/h)는? 45 경부고속철도 열차제어 설비의 최상위 장치로 진로구성에 관한 명령과 제어, 열차간격을 조정하는 기능, 안전 운행의 확보, 각종 보호 기능 등에 관한 기능을 수행하는 시스템은? 46 접근쇄정 3대 요소로 볼 수 없는 것은? 47 열차자동운전장치(ATO)구간에서 운행하는 차량과 현장기기 간에 양방향 통신을 하는 것은? 48 선로전환기가 있는 궤도회로를 열차가 점유하고 있을 때 그 선로전환기를 전환할 수 없도록 하는 쇄정은?
App Store Google Play
오늘학습 예시 이미지

시험에 합격하려면
복습을 제대로 해야 합니다.

오늘학습은 스스로 기억을 떠올리고 계획적으로 복습할 수 있도록 설계돼 있어요.
그것도, 가장 과학적인 방식으로요!

능동적 회상

능동적 회상
(Active Recall)

배운 내용을 단순 읽으며 반복하는 것이 아니라,
능동적으로 기억하고 있는지를
스스로 테스트하며
공부할 수 있는
학습 환경을 제공해 학습 효과를 높여요

간격 반복 학습

간격 반복 학습
(Spaced Repetition)

에빙하우스 망각곡선을 바탕으로
가장 최적의 시점에 복습을 제공하여
배운 내용이 잊히지 않도록 장기 기억화해요

Data 기반의
뇌과학적 복습 시스템

학습 결과 Data를 분석해, 문제별 최적화된
반복 학습량을
자동으로 분배해요.
학습에 소요되는 시간을 최소화하는
동시에
단기 기억을 장기 기억으로 전환해줘요.

36만 개 이상의
기출문제 무료 제공

공무원 및 약 300여종의 자격증 시험 기출문제
36만개
이상을 무료로 이용할 수 있어요.
여러 앱을 설치할 필요
없이, 오늘학습 하나로
모든 시험을 준비할 수 있어요.

다양한 문제 유형으로 만드는
나만의 단어장&문제집

기출 외에도 외워야 하는 내용은
객관식, 주관식, 카드, 빈칸
등 다양한 형식으로
직접 만들어 보세요. 내 학습 스타일에
맞게
나만의 단어장과 문제집을 만들 수 있어요.

시험별 체계적인
문제 관리

시험에 문제를 추가해 체계적으로
관리할 수 있어요.
주제나 단원별로
분류하고 싶다면,
시험에 챕터를 만들어
문제를 추가할 수도 있어요.

수십만 명이
오늘학습을 사랑합니다

앱 스토어 평점 4.9
구글 플레이 평점 4.8
누적 회원수 100,000+
지금 오늘학습을
시작해보세요
지금 시작하기
문제 선택