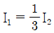
3상 농형 유도전동기를 Y-△ 기동방식으로 기동할 때 전류 I1(A)과 △결선으로 직입(전전압) 기동할 때 전류 I2(A)의 관계는?
지금 시작하기 →

・・・ 문제은행 소방설비기사(전기분야)(2022년 1회) 33번

소방설비기사(전기분야) 2022년 03월 33번

3상 농형 유도전동기를 Y-△ 기동방식으로 기동할 때 전류 I1(A)과 △결선으로 직입(전전압) 기동할 때 전류 I2(A)의 관계는?

1
2
3
4
단축키
이전 문제로 이동은 키를 누르고, 다음 문제로 이동은 키를 누르세요
이전 문제 , 다음 문제
문제(80)
37 각 상의 임피던스가 Z=6+j8(Ω)인 △결선의 평형 3상 부하에 선간전압이 220v인 대칭 3상 전압을 가했을 때 이 부하로 흐르는 선전류의 크기는 약 몇 A 인가? 38 전기화재의 원인 중 하나인 누설전류를 검출하기 위해 사용되는 것은? 39 그림의 블록선도에서 을 구하면? 40 한 변의 길이가 150mm인 정방형 회로에 1A의 전류가 흐를 때 회로 중심에서의 자계의 세기는 약 몇 AT/m 인가? 41 화재예방, 소방시설 설치·유지 및 안전관리에 관한 법령상 건축허가등을 할 때 미리 소방본부장 또는 소방서장의 동의를 받아야 하는 건축물 등의 범위가 아닌 것은? 42 소방기본법령상 일반음식점에서 음식조리를 위해 불을 사용하는 설비를 설치하는 경우 지켜야 하는 사항으로 틀린 것은? 43 소방시설공사업법령상 소방시설업의 감독을 위하여 필요할 때에 소방시설업자나 관계인에게 필요한 보고나 자료 제출을 명할수 있는 사람이 아닌 것은? 44 화재가 발생할 우려가 높거나 화재가 발생하는 경우 그로 인하여 피해가 클 것으로 예상되는 지역을 화재예방강화지구로 지정할 수 있는 자는? 45 소방시설공사업법령상 소방시설업에 대한 행정처분기준에서 1차 행정처분 사항으로 등록취소에 해당하는 것은? 46 소방시설공사업법령상 소방시설업자가 소방시설공사등을 맡긴 특정소방대상물의 관계인에게 지체 없이 그 사실을 알려야 하는 경우가 아닌 것은? 47 화재예방, 소방시설 설치·유지 및 안전관리에 관한 법령에 따라 2급 소방안전관리대상물의 소방안전관리자 선임 기준으로 틀린 것은? 48 소방시설공사업법령상 감리업자는 소방시설공사가 설계도서 또는 화재안전기준에 적합하지 아니한 때에는 가장 먼저 누구에게 알려야 하는가?
49 화재예방, 소방시설 설치·유지 및 안전관리에 관한 법령상 특정소방대상물의 수용인원 산정방법으로 옳은 것은? 50 위험물안전관리법령상 제조소등이 아닌 장소에서 지정수량 이상의 위험물 취급에 대한 설명으로 틀린 것은? 51 소방시설공사업법령상 소방시설업 등록의 결격사유에 해당되지 않는 법인은? 52 화재예방, 소방시설 설치·유지 및 안전관리에 관한 법령상 특정소방대상물의 소방시설 설치의 면제기준에 따라 연결살수설비를 설치면제 받을 수 있는 경우는? 53 소방시설공사업 법령상 소방공사감리업을 등록한 자가 수행하여야 할 업무가 아닌 것은? 54 소방기본법령상 소방업무의 응원에 대한 설명 중 틀린 것은? 55 소방기본법령상 이웃하는 다른 시·도지사와 소방업무에 관하여 시·도지사가 체결할 상호응원협정 사항이 아닌 것은? 56 위험물안전관리 법령상 옥내주유취급소에 있어서 당해 사무소 등의 출입구 및 피난구와 당해 피난구로 통하는 통로·계단 및 출입구에 설치해야 하는 피난설비는? 57 위험물안전관리법령상 위험물 및 지정수량에 대한 기준 중 다음 ( ) 안에 알맞은 것은? 58 위험물안전관리법령상 제조소등의 관계인은 위험물의 안전관리에 관한 직무를 수행하게 하기 위하여 제조소등마다 위험물의 취급에 관한 자격이 있는 자를 위험물안전관리자로 선임하여야 한다. 이 경우 제조소등의 관계인이 지켜야 할 기준으로 틀린 것은? 59 다음 중 소방기본법령상 한국소방안전원의 업무가 아닌 것은? 60 화재예방, 소방시설 설치·유지 및 안전관리에 관한 법령상 소방시설의 종류에 대한 설명으로 옳은 것은?
61 비상콘센트설비의 성능인증 및 제품검사의 기술기준에 따라 비상콘센트설비의 절연된 충전부와 외함 간의 절연내력은 정격전압 150V이하의 경우 60Hz의 정현파에 가까운 실효전압 1000V 교류전압을 가하는 시험에서 몇 분간 견디어야 하는가? 62 누전경보기의 형식승인 및 제품검사의 기술기준에 따라 비호환성형 수신부는 신호입력회로에 공칭작동전류치의 42%에 대응하는 변류기의 설계출력전압을 가하는 경우 몇 초 이내에 작동하지 아니하여야 하는가? 63 자동화재탐지설비 및 시각경보장치의 화재안전기준(NFSC 203)에 따른 감지기의 시설기준으로 옳은 것은? 64 누전경보기의 화재안전기준(NFSC 205)에 따라 경계전로의 누설전류를 자동적으로 검출하여 이를 누전경보기의 수신부에 송신하는 것은? 65 비상방송설비의 화재안전기준(NFSC 202)에 따라 전원회로의 배선으로 사용할 수 없는 것은? 66 층수가 5층 이상으로서 연면적 3000m2를 초과하는 특정소방대상물의 2층에서 발화한 때의 경보 기준으로 옳은 것은? (단, 비상방송설비의 화재안전기준(NFSC 202)에 따른다.) 67 자동화재탐지설비 및 시각경보장치의 화재안전기준(NFSC 203)에 따라 감지기회로의 도통시험을 위한 종단저항의 설치기준으로 틀린 것은? 68 경종의 우수품질인증 기술기준에 따른 기능시험에 대한 내용이다. 다음 ( ) 에 들어갈 내용으로 옳은 것은? 69 「유통산업발전법」제2조 제3호에 따른 대규모점포(지하상가 및 지하역사는 제외한다)와 영화상영관에는 보행거리 몇 m 이내마다 휴대용비상조명등을 3개 이상 설치하여야 하는가? (단, 비상조명등의 화재안전기준(NFSC 304)에 따른다.) 70 자동화재탐지설비 및 시각경보장치의 화재안전기준(NFSC 203)에 따라 전화기기실, 통신기기실 등과 같은 훈소화재의 우려가 있는 장소에 적응성이 없는 감지기는? 71 자동화재속보설비의 속보기의 성능인증 및 제품검사의 기술기준에 따른 속보기의 기능에 대한 내용이다. 다음 ( ) 에 들어갈 내용으로 옳은 것은? 72 비상콘센트설비의 화재안전기준(NFSC 504)에 따른 비상콘센트설비의 전원회로(비상콘센트에 전력을 공급하는 회로를 말한다)의 설치기준으로 틀린 것은?
App Store Google Play
오늘학습 예시 이미지

시험에 합격하려면
복습을 제대로 해야 합니다.

오늘학습은 스스로 기억을 떠올리고 계획적으로 복습할 수 있도록 설계돼 있어요.
그것도, 가장 과학적인 방식으로요!

능동적 회상

능동적 회상
(Active Recall)

배운 내용을 단순 읽으며 반복하는 것이 아니라,
능동적으로 기억하고 있는지를
스스로 테스트하며
공부할 수 있는
학습 환경을 제공해 학습 효과를 높여요

간격 반복 학습

간격 반복 학습
(Spaced Repetition)

에빙하우스 망각곡선을 바탕으로
가장 최적의 시점에 복습을 제공하여
배운 내용이 잊히지 않도록 장기 기억화해요

Data 기반의
뇌과학적 복습 시스템

학습 결과 Data를 분석해, 문제별 최적화된
반복 학습량을
자동으로 분배해요.
학습에 소요되는 시간을 최소화하는
동시에
단기 기억을 장기 기억으로 전환해줘요.

36만 개 이상의
기출문제 무료 제공

공무원 및 약 300여종의 자격증 시험 기출문제
36만개
이상을 무료로 이용할 수 있어요.
여러 앱을 설치할 필요
없이, 오늘학습 하나로
모든 시험을 준비할 수 있어요.

다양한 문제 유형으로 만드는
나만의 단어장&문제집

기출 외에도 외워야 하는 내용은
객관식, 주관식, 카드, 빈칸
등 다양한 형식으로
직접 만들어 보세요. 내 학습 스타일에
맞게
나만의 단어장과 문제집을 만들 수 있어요.

시험별 체계적인
문제 관리

시험에 문제를 추가해 체계적으로
관리할 수 있어요.
주제나 단원별로
분류하고 싶다면,
시험에 챕터를 만들어
문제를 추가할 수도 있어요.

수십만 명이
오늘학습을 사랑합니다

앱 스토어 평점 4.9
구글 플레이 평점 4.8
누적 회원수 100,000+
지금 오늘학습을
시작해보세요
지금 시작하기
문제 선택