분류기를 사용하여 내부저항이 RA인 전류계의 배율을 9로 하기 위한 분류기의 저항 RS(Ω)은?
지금 시작하기 →

・・・ 문제은행 소방설비기사(전기분야)(2021년 1회) 39번

소방설비기사(전기분야) 2021년 03월 39번

분류기를 사용하여 내부저항이 RA인 전류계의 배율을 9로 하기 위한 분류기의 저항 RS(Ω)은?

1
2
3
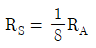
RS=8RA
4
RS=9RA
단축키
이전 문제로 이동은 키를 누르고, 다음 문제로 이동은 키를 누르세요
이전 문제 , 다음 문제
문제(80)
25 2차 제어시스템에서 무제동으로 무한 진동이 일어나는 감쇠율(damping ratio) δ는? 26 블록선도의 전달함수 (C(s)/R(s))는? 27 3상 유도전동기의 특성에서 토크, 2차 입력, 동기속도의 관계로 옳은 것은? 28 어떤 회로에 v(t)=150sinωt(V)의 전압을 가하니 i(t)=12sin(ωt-30°)(A)의 전류가 흘렀다. 이 회로의 소비전력(유효전력)은 약 몇 W 인가? 29 평행한 두 도선 사이의 거리가 r이고, 각 도선에 흐르는 전류에 의해 두 도선 간의 작용력이 F1일 때, 두 도선 사이의 거리를 2r로 하면 두 도선 간의 작용력 F2 는? 30 200V의 교류전압에서 30A의 전류가 흐르는 부하가 4.8KW의 유효전력을 소비하고 있을 때 이 부하의 리액턴스(Ω)는? 31 정전용량이 0.02㎌인 커패시터 2개와 정전용량이 0.01㎌인 커패시터 1개를 모두 병렬로 접속하여 24V의 전압을 가하였다. 이 병렬회로의 합성 정전용량(㎌)과 0.01㎌의 커패시터에 축적되는 전하량(C)은? 32 그림과 같은 다이오드 회로에서 출력전압 Vo는? (단, 다이오드의 전압강하는 무시한다.) 33 데브난의 정리를 이용하여 그림(a)의 회로를 그림 (b)와 같은 등가회로로 만들고자 할 때 Vth(V)와 Rth(Ω)은? 34 LC 직렬회로에 직류전압 E를 t=0(s)에 인가했을 때 흐르는 전류 I(t)는? 35 다음 소자 중에서 온도 보상용으로 쓰이는 것은? 36 변위를 압력으로 변환하는 장치로 옳은 것은?
37 저항 R1(Ω), 저항 R2(Ω), 인덕턴스 L(H)의 직렬회로가 있다. 이 회로의 시정수(s)는? 38 자기 인덕턴스 L1, L2가 각각 4mH, 9mH인 두 코일이 이상적인 결합이 되었다면 상호 인덕턴스는 몇 mH인가? (단, 결합계수는 1이다.) 39 분류기를 사용하여 내부저항이 RA인 전류계의 배율을 9로 하기 위한 분류기의 저항 RS(Ω)은? 40 그림의 논리회로와 등가인 논리 게이트는? 41 소방기본법령상 저수조의 설치기준으로 틀린 것은? 42 소방시설공사업법령상 소방시설업 등록을 하지 아니하고 영업을 한 자에 대한 벌칙은? 43 화재예방, 소방시설 설치/유지 및 안전관리에 관한 법령상 대통령령 또는 화재안전기준이 변경되어 그 기준이 강화되는 경우 기존 특정소방대상물의 소방시설 중 강화된 기준을 적용하여야 하는 소방시설은? 44 소방기본법령상 화재조사의 종류 중 화재원인조사에 해당하지 않는 것은? 45 소방기본법령상 소방신호의 방법으로 틀린 것은? 46 화재예방, 소방시설 설치/유지 및 안전관리에 관한 법령상 특정소방대상물의 관계인이 수행하여야 하는 소방안전관리 업무가 아닌 것은? 47 소방기본법에서 정의하는 소방대의 조직구성원이 아닌 것은? 48 위험물안전관리법령상 인화성액체위험물(이황화탄소를 제외)의 옥외탱크저장소의 탱크주위에 설치하여야 하는 방유제의 기준 중 틀린 것은?
49 위험물안전관리법상 시ㆍ도지사의 허가를 받지 아니하고 당해 제조소등을 설치 할 수 있는 기준 중 다음 ( )안에 알맞은 것은? 50 화재예방, 소방시설 설치ㆍ유지 및 안전관리에 관한 법령상 건축허가등의 동의대상물의 범위기준 중 틀린 것은? 51 화재예방, 소방시설 설치/유지 및 안전관리에 관한 법령상 지하가는 연면적이 최소 몇m2이상이어야 스프링클러설비를 설치하여야 하는 특정소방대상물에 해당하는가? (단, 터널은 제외한다.) 52 화재예방, 소방시설 설치ㆍ유지 및 안전관리에 관한 법령상 소방안전관리대상물의 소방계획서에 포함되어야 하는 사항이 아닌 것은? 53 위험물안전관리법상 업무상 과실로 제조소등에서 위험물을 유출ㆍ방출 또는 확산시켜 사람의 생명ㆍ신체 또는 재산에 대하여 위험을 발생시킨 자에 대한 벌칙기준은? 54 소방기본법령상 소방용수시설의 설치기준 중 급수탑의 급수배관의 구경은 최소 몇mm 이상이어야 하는가? 55 소방시설공사업법령상 공사감리자 지정대상 특정소방대상물의 범위가 아닌 것은? 56 화재예방, 소방시설 설치ㆍ유지 및 안전관리에 관한 법령상 자동화재탐지설비를 설치하여야 하는 특정소방대상물에 대한 기준 중 ( )에 알맞은 것은? 57 화재예방, 소방시설 설치/유지 및 안전관리에 관한 법령상 형식승인을 받지 아니한 방용품을 판매하거나 판매목적으로 진열하거나 소방시설공사에 사용한 자에 대한 벌칙 기준은? 58 소방기본법에서 정의하는 소방대상물에 해당하지 않는 것은? 59 화재예방, 소방시설 설치/유지 및 안전관리에 관한 법령상 특정소방대상물의 소방시설 설치의 면제기준 중 다음 ( )안에 알맞은 것은? 60 위험물안전관리법령상 위험물의 유별 저장/취급의 공통기준 중 다음 ( )안에 알맞은 것은?
61 비상콘센트설비의 화재안전기준(NFSC 504)에 따라 하나의 전용회로에 단상교류 비상콘센트 6개를 연결하는 경우, 전선의 용량은 몇 kVA 이상이어야 하는가? 62 무선통신보조설비의 화재안전기준(NFSC 505)에 따라 지표면으로부터의 깊이가 몇m 이하인 경우에는 해당층에 한하여 무선통신보조설비를 설치하지 아니할 수 있는가? 63 자동화재속보설비의 속보기의 성능인증 및 제품검사의 기술기준에 따른 속보기의 구조에 대한 설명으로 틀린 것은? 64 공기관식 차동식 분포형감지기의 기능시험을 하였더니 검출기의 접점수고치가 규정이상으로 되어 있었다. 이때 발생되는 장애로 볼 수 있는 것은? 65 경종의 형식승인 및 제품검사의 기술기준에 따라 경종은 전원전압이 정격전압의 ± 몇%범위에서 변동하는 경우 기능에 이상이 생기지 아니하여야 하는가? 66 누전경보기의 화재안전기준(NFSC 205)에 따라 누전경보기의 수신부를 설치할 수 있는 장소는? (단, 해당 누전경보기에 대하여 방폭ㆍ방식ㆍ방습ㆍ방온ㆍ방진 및 정전기 차폐등의 방호조치를 하지 않은 경우이다.) 67 자동화재탐지설비 및 시각경보장치의 화재안전기준(NFSC 203)에 따라 특정소방대상물 중 화재신호를 발신하고 그 신호를 수신 및 유효하게 제어할 수 있는 구역을 무엇이라 하는가? 68 소방시설용 비상전원수전설비의 화재안전기준(NFSC 602) 용어의 정의에 따라 수용장소의 조영물(토지에 정착한 시설물 중 지붕 및 기둥 또는 벽이 있는 시설물을 말한다.)의 옆면 등에 시설하는 전선으로서 그 수용장소의 인입구에 이르는 부분의 전선은 무엇인가? 69 비상콘센트설비의 성능인증 및 제품검사의 기술기준에 따른 표시등의 구조 및 기능에 대한 내용이다. 다음 ( )에 들어갈 내용으로 옳은 것은? 70 감시기의 형식승인 및 제품검사의 기술기준에 따라 단독경보형감지기의 일반기능에 대한 내용이다. 다음 ( )에 들어갈 내용으로 옳은 것은? 71 일반적인 비상방송설비의 계통되다. 다음의 ( )에 들어갈 내용으로 옳은 것은? 72 자동화재탐지설비 및 시각경보장치의 화재안전기준(NFSC 203)에 따라 자동화재탐지설비의 주음향장치의 설치 장소로 옳은 것은?
73 비상조명등의 형식승인 및 제품검사의 기술기준에 따라 비상조명등의 일반구조로 광원과 전원부를 별도로 수납하는 구조에 대한 설명으로 틀린 것은? 74 누전경보기의 형식승인 및 제품검사의 기술기준에 따라 누전경보기에 사용되는 표시등의 구조 및 기능에 대한 설명으로 틀린 것은? 75 유도등의 형식승인 및 제품검사의 기술기준에 따라 영상표시소자(LED, LCD 및 PDP 등)를 이용하여 피난유도표시 형상을 영상으로 구현하는 방식은? 76 발신기의 형식승인 및 제품검사의 기술기준에 따라 발신기의 작동기능에 대한 내용이다. 다음 ( )에 들어갈 내용으로 옳은 것은? 77 유도등의 형식승인 및 제품검사의 기술기준에 따라 객석유도등은 바닥면 또는 디딤바닥면에서 높이 0.5m의 위치에 설치하고 그 유도등의 바로 및에서 0.3m 떨어진 위치에서의 수평조도가 몇 lx 이상이어야 하는가? 78 무선통신보조설비의 화재안전기준(NFSC 505)에 따라 무선통신보조설비의 주요구성요소가 아닌 것은? 79 소방시설용 비상전원수전설비의 화재안전기준(NFSC 602)에 따라 일반전기사업자로부터 특별고압 또는 고압으로 수전하는 비상전원 수전설비로 큐비클형을 사용하는 경우의 시설기준으로 틀린 것은? (단, 옥내에 설치하는 경우이다.) 80 비상방송설비의 화재안전기준에 따른 비상방송설비의 음향장치에 대한 내용이다. 다음 ( )에 들어갈 내용으로 옳은 것은?
App Store Google Play
오늘학습 예시 이미지

시험에 합격하려면
복습을 제대로 해야 합니다.

오늘학습은 스스로 기억을 떠올리고 계획적으로 복습할 수 있도록 설계돼 있어요.
그것도, 가장 과학적인 방식으로요!

능동적 회상

능동적 회상
(Active Recall)

배운 내용을 단순 읽으며 반복하는 것이 아니라,
능동적으로 기억하고 있는지를
스스로 테스트하며
공부할 수 있는
학습 환경을 제공해 학습 효과를 높여요

간격 반복 학습

간격 반복 학습
(Spaced Repetition)

에빙하우스 망각곡선을 바탕으로
가장 최적의 시점에 복습을 제공하여
배운 내용이 잊히지 않도록 장기 기억화해요

Data 기반의
뇌과학적 복습 시스템

학습 결과 Data를 분석해, 문제별 최적화된
반복 학습량을
자동으로 분배해요.
학습에 소요되는 시간을 최소화하는
동시에
단기 기억을 장기 기억으로 전환해줘요.

36만 개 이상의
기출문제 무료 제공

공무원 및 약 300여종의 자격증 시험 기출문제
36만개
이상을 무료로 이용할 수 있어요.
여러 앱을 설치할 필요
없이, 오늘학습 하나로
모든 시험을 준비할 수 있어요.

다양한 문제 유형으로 만드는
나만의 단어장&문제집

기출 외에도 외워야 하는 내용은
객관식, 주관식, 카드, 빈칸
등 다양한 형식으로
직접 만들어 보세요. 내 학습 스타일에
맞게
나만의 단어장과 문제집을 만들 수 있어요.

시험별 체계적인
문제 관리

시험에 문제를 추가해 체계적으로
관리할 수 있어요.
주제나 단원별로
분류하고 싶다면,
시험에 챕터를 만들어
문제를 추가할 수도 있어요.

수십만 명이
오늘학습을 사랑합니다

앱 스토어 평점 4.9
구글 플레이 평점 4.8
누적 회원수 100,000+
지금 오늘학습을
시작해보세요
지금 시작하기
문제 선택