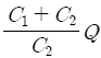
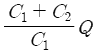
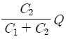
두 콘덴서 C1, C2를 병렬로 접속하고 전압을 인가하였더니 전체 전하량이 Q[C]이었다. C2에 충전된 전하량은?
지금 시작하기 →

・・・ 문제은행 소방설비기사(전기분야)(2019년 1회) 35번

소방설비기사(전기분야) 2019년 03월 35번

두 콘덴서 C1, C2를 병렬로 접속하고 전압을 인가하였더니 전체 전하량이 Q[C]이었다. C2에 충전된 전하량은?

1
2
3
4
단축키
이전 문제로 이동은 키를 누르고, 다음 문제로 이동은 키를 누르세요
이전 문제 , 다음 문제
문제(80)
37 전기화재의 원인이 되는 누전전류를 검출하기 위해 사용되는 것은? 38 공기 중에 2m의 거리에 10μC, 20μC의 두 점전하가 존재할 때 이 두 전하 사이에 작용하는 정전력은 약 몇 N인가? 39 100V, 1㎾의 니크롬선을 3/4의 길이로 잘라서 사용할 때 소비전력은 약 몇 W인가? 40 줄의 법칙에 관한 수식으로 틀린 것은? 41 아파트로 층수가 20층인 특정소방대상물에서 스프링클러설비를 하여야 하는 층수는? (단, 아파트는 신축을 실시하는 경우이다.) 42 1급 소방안전관리대상물이 아닌 것은? 43 다음 중 중급기술자의 학력ㆍ경력자에 대한 기준으로 옳은 것은? (단, 학력ㆍ경력자란고등학교ㆍ대학 또는 이와 같은 수준 이상의 교육기관의 소방관련학과의 정해진 교육 과정을 이수하고 졸업하거나 그 밖의 관계 법령에 따라 국내 또는 외국에서 이와 같은 수준 이상의 학력이 있다고 인정되는 사람을 말한다.) 44 소방특별조사 결과에 따른 조치명령으로 손실을 입어 손실을 보상하는 경우 그 손실을 입은 자는 누구와 손실보상을 협의하여야 하는가? 45 소방기본법령상 특수가연물의 저장 및 취급 기준 중 석탄ㆍ목탄류를 발전용으로 저장하는 경우 쌓는 부분의 바닥면적은 몇 m2 이하인가? (단, 살수설비를 설치하거나 방사능력 범위에 해당 특수가연물이 포함되도록 대형수동식소화기를 설치하는 경우이다.) (문제 오류로 실제 시험에서는 모두 정답처리 되었습니다. 여기서는 3번을 누르면 정답 처리 됩니다.) 46 소방기본법상 명령권자가 소방본부장, 소방서장 또는 소방대장에게 있는 사항은? 47 경유의 저장량이 2,000리터, 중유의 저장량이 4,000리터, 등유의 저장량이 2,000리터인 저장소에 있어서 지정수량의 배수는? 48 소방용수시설 중 소화전과 급수탑의 설치기준으로 틀린 것은?
49 특정소방대상물의 관계인이 소방안전관리자를 해임한 경우 재선임 신고를 해야 하는 기준은? (단, 해임한 날부터를 기준일로 한다.) (문제 오류로 실제 시험에서는 모두 정답처리 되었습니다. 여기서는 3번을 누르면 정답 처리 됩니다.) 50 화재예방, 소방시설 설치ㆍ유지 및 안전관리에 관한 법령상 소방안전관리대상물의 소방안전관리자 업무가 아닌 것은? (문제 오류로 실제 시험에서는 모두 정답처리 되었습니다. 여기서는 1번을 누르면 정답 처리 됩니다.) 51 문화재보호법의 규정에 의한 유형문화재와 지정문화재에 있어서는 제조소 등과의 수평거리를 몇 m 이상 유지하여야 하는가? 52 화재예방, 소방시설 설치ㆍ유지 및 안전관리에 관한 법령상 소방시설 등에 대한 자체 점검을 하지 아니하거나 관리업자 등으로 하여금 정기적으로 점검하게 하지 아니한자에 대한 벌칙 기준으로 옳은 것은? 53 소방기본법령상 소방본부 종합상황실 실장이 소방청의 종합상황실에 서면ㆍ모사전송 또는 컴퓨터통신 등으로 보고하여야 하는 화재의 기준에 해당하지 않는 것은? 54 소방시설공사업법령상 상주공사감리 대상기준 중 다음 ㉠, ㉡, ㉢에 알맞은 것은? 55 화재예방, 소방시설 설치ㆍ유지 및 안전관리에 관한 법령상 소방특별조사위원회의 위원에 해당하지 아니하는 사람은? 56 제3류 위험물 중 금수성 물품에 적응성이 있는 소화약제는? 57 화재가 발생하는 경우 인명 또는 재산의 피해가 클 것으로 예상되는 때 소방대상물의 개수ㆍ이전ㆍ제거, 사용금지 등의 필요한 조치를 명할 수 있는 자는? 58 소방기본법령상 소방본부장 또는 소방서장은 소방상 필요한 훈련 및 교육을 실시하고자 하는 때에는 화재예방강화지구 안의 관계인에게 훈련 또는 교육 며칠 전까지 그 사실을 통보하여야 하는가? 59 소방기본법상 보일러, 난로, 건조설비, 가스ㆍ전기시설, 그 밖에 화재 발생 우려가 있는 설비 또는 기구 등의 위치ㆍ구조 및 관리와 화재 예방을 위하여 불을 사용할 때 지켜야 하는 사항은 무엇으로 정하는가? 60 위험물운송자 자격을 취득하지 아니한 자가 위험물 이송탱크저장소 운전 시의 벌칙으로 옳은 것은?
61 경계전로의 누설전류를 자동적으로 검출하여 이를 누전경보기의 수신부에 송신하는 것을 무엇이라고 하는가? 62 누전경보기의 5~10회로까지 사용할 수 있는 집합형 수신기 내부결선도에서 구성요소가 아닌 것은? 63 비상콘센트설비의 화재안전기준에서 정하고 있는 저압의 정의는?(오류 신고가 접수된 문제입니다. 반드시 정답과 해설을 확인하시기 바랍니다.) 64 비상방송설비의 음향장치는 정격전압의 몇 % 전압에서 음향을 발할 수 있는 것으로 하여야 하는가? 65 자가발전설비, 비상전원수전설비 또는 전기저장장치(외부 전기에너지를 저장해 두었다가 필요한 때 전기를 공급하는 장치)를 비상콘센트설비의 비상전원으로 설치하여야하는 특정소방대상물로 옳은 것은? 66 불꽃감지기의 설치기준으로 틀린 것은? 67 무선통신보조설비의 무선기기 접속단자 중 지상에 설치하는 접속단자는 보행거리 최대 몇 m 이내마다 설치하여야 하는가? 68 정온식 감지선형 감지기에 관한 설명으로 옳은 것은? 69 축전지의 자기방전을 보충함과 동시에 상용 부하에 대한 전력공급은 충전기가 부담하도록 하되 충전기가 부담하기 어려운 일시적인 대전류는 부하는 축전지로 하여금 부담하게 하는 충전방식은? 70 단독경보형 감지기 중 연동식감지기의 무선 기능에 대한 설명으로 옳은 것은? 71 정온식감지기의 설치 시 공칭작동온도가 최고주위온도보다 최소 몇 ℃ 이상 높은 것으로 설치하여야 하나? 72 무선통신보조설비의 누설동축케이블의 설치기준으로 틀린 것은?
App Store Google Play
오늘학습 예시 이미지

시험에 합격하려면
복습을 제대로 해야 합니다.

오늘학습은 스스로 기억을 떠올리고 계획적으로 복습할 수 있도록 설계돼 있어요.
그것도, 가장 과학적인 방식으로요!

능동적 회상

능동적 회상
(Active Recall)

배운 내용을 단순 읽으며 반복하는 것이 아니라,
능동적으로 기억하고 있는지를
스스로 테스트하며
공부할 수 있는
학습 환경을 제공해 학습 효과를 높여요

간격 반복 학습

간격 반복 학습
(Spaced Repetition)

에빙하우스 망각곡선을 바탕으로
가장 최적의 시점에 복습을 제공하여
배운 내용이 잊히지 않도록 장기 기억화해요

Data 기반의
뇌과학적 복습 시스템

학습 결과 Data를 분석해, 문제별 최적화된
반복 학습량을
자동으로 분배해요.
학습에 소요되는 시간을 최소화하는
동시에
단기 기억을 장기 기억으로 전환해줘요.

36만 개 이상의
기출문제 무료 제공

공무원 및 약 300여종의 자격증 시험 기출문제
36만개
이상을 무료로 이용할 수 있어요.
여러 앱을 설치할 필요
없이, 오늘학습 하나로
모든 시험을 준비할 수 있어요.

다양한 문제 유형으로 만드는
나만의 단어장&문제집

기출 외에도 외워야 하는 내용은
객관식, 주관식, 카드, 빈칸
등 다양한 형식으로
직접 만들어 보세요. 내 학습 스타일에
맞게
나만의 단어장과 문제집을 만들 수 있어요.

시험별 체계적인
문제 관리

시험에 문제를 추가해 체계적으로
관리할 수 있어요.
주제나 단원별로
분류하고 싶다면,
시험에 챕터를 만들어
문제를 추가할 수도 있어요.

수십만 명이
오늘학습을 사랑합니다

앱 스토어 평점 4.9
구글 플레이 평점 4.8
누적 회원수 100,000+
지금 오늘학습을
시작해보세요
지금 시작하기
문제 선택