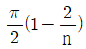
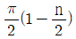
대칭 n상의 환상결선에서 선전류와 상전류(환상전류) 사이의 위상차는?
지금 시작하기 →

・・・ 문제은행 소방설비기사(전기분야)(2020년 2회) 39번

소방설비기사(전기분야) 2020년 08월 39번

대칭 n상의 환상결선에서 선전류와 상전류(환상전류) 사이의 위상차는?

1
2
3
4
단축키
이전 문제로 이동은 키를 누르고, 다음 문제로 이동은 키를 누르세요
이전 문제 , 다음 문제
문제(80)
37 그림과 같은 논리회로의 출력 Y는? 38 단상변압기 3대를 △결선하여 부하에 전력을 공급하고 있는 중 변압기 1대가 고장 나서 V결선으로 바꾼 경우에 고장 전과 비교하여 몇 % 출력을 낼 수 있는가? 39 대칭 n상의 환상결선에서 선전류와 상전류(환상전류) 사이의 위상차는? 40 공기중에서 50kW 방사 전력이 안테나에서 사방으로 균일하게 방사될 때, 안테나에서 1km 거리에 있는 점에서의 전계의 실효값은 약 몇 V/m 인가? 41 소방기본법령상 화재피해조사 중 재산피해조사의 조사범위에 해당하지 않는 것은? 42 위험물안전관리법령상 제조소의 기준에 따라 건축물의 외벽 또는 이에 상당하는 공작물의 외측으로부터 제조소의 외벽 또는 이에 상당하는 공작물의 외측까지의 안전거리 기준으로 틀린 것은? (단, 제6류 위험물을 취급하는 제조소를 제외하고, 건축물에 불연재료로 된 방화상 유효한 담 또는 벽을 설치하지 않은 경우이다.) 43 위험물안전관리법령상 허가를 받지 아니하고 당해 제조소등을 설치하거나 그 위치·구조 또는 설비를 변경할 수 있으며, 신고를 하지 아니하고 위험물의 품명·수량 또는 지정수량의 배수를 변경할 수 있는 기준으로 옳은 것은? 44 소방시설공사업법령상 공사감리자 지정대상 특정소방대상물의 범위가 아닌 것은? 45 다음 중 소방기본법령상 특수가연물에 해당하는 품명별 기준수량으로 틀린 것은? 46 소방기본법령상 소방대장의 권한이 아닌 것은? 47 화재예방, 소방시설 설치·유지 및 안전관리에 관한 법령상 단독경보형 감지기를 설치하여야 하는 특정소방대상물의 기준으로 틀린 것은?(문제 오류로 가답안 발표시 1번으로 발표되었지만 확정답안 발표시 1, 3번이 정답처리 되었습니다. 여기서는 가답안인 1번을 누르시면 정답 처리 됩니다.) 48 소방기본법령상 시장지역에서 화재로 오인할 만한 우려가 있는 불을 피우거나 연막소독을 하려는 자가 신고를 하지 아니하여 소방자동차를 출동하게 한 자에 대한 과태료 부과·징수권자는?
49 화재예방, 소방시설 설치·유지 및 안전관리에 관한 법령상 1급 소방안전관리 대상물에 해당하는 건축물은?(오류 신고가 접수된 문제입니다. 반드시 정답과 해설을 확인하시기 바랍니다.) 50 화재예방, 소방시설 설치·유지 및 안전관리에 관한 법령상 수용인원 산정 방법 중 침대가 없는 숙박시설로서 해당 특정소방대상물의 종사자의 수는 5명, 복도, 계단 및 화장실의 바닥면적을 제외한 바닥 면적이 158m2인 경우의 수용인원은 약 몇 명인가? 51 화재예방, 소방시설 설치·유지 및 안전관리에 관한 법령상 소방특별조사 결과 소방대상물의 위치 상황이 화재 예방을 위하여 보완될 필요가 있을 것으로 예상되는 때에 소방대상물의 개수·이전·제거, 그 밖의 필요한 조치를 관계인에게 명령할 수 있는 사람은? 52 화재예방, 소방시설 설치·유지 및 안전관리에 관한 법령상 지하가 중 터널로서 길이가 1천미터일 때 설치하지 않아도 되는 소방시설은? 53 소방시설공사업법령상 소방시설공사의 하자보수 보증기간이 3년이 아닌 것은? 54 화재예방, 소방시설 설치·유지 및 안전관리에 관한 법령상 스프링클러설비를 설치하여야 하는 특정소방대상물의 기준으로 틀린 것은? (단, 위험물 저장 및 처리 시설 중 가스시설 또는 지하구는 제외한다.) 55 국민의 안전의식과 화재에 대한 경각심을 높이고 안전문화를 정착시키기 위한 소방의 날은 몇 월 며칠인가? 56 위험물안전관리법령상 위험물시설의 설치 및 변경 등에 관한 기준 중 다음 ( ) 안에 들어갈 내용으로 옳은 것은? 57 위험물안전관리법령상 위험물취급소의 구분에 해당하지 않는 것은? 58 소방기본법령상 화재가 발생하였을 때 화재의 원인 및 피해 등에 대한 조사를 하여야 하는 자는? 59 화재예방, 소방시설 설치·유지 및 안전관리에 관한 법령상 1년 이하의 징역 또는 1천만원 이하의 벌금 기준에 해당하는 경우는? 60 다음 중 화재예방, 소방시설 설치·유지 및 안전관리에 관한 법령상 소방시설관리업을 등록할 수 있는 자는?
61 자동화재속보설비의 속보기의 성능인증 및 제품검사의 기술기준에 따라 교류입력측과 외함 간의 절연저항은 직류 500V의 절연저항계로 측정한 값이 몇 MΩ 이상이어야 하는가? 62 무선통신보조설비의 화재안전기준(NFSC 505)에 따라 금속제 지지금구를 사용하여 무선통신 보조설비의 누설동축케이블을 벽에 고정시키고자 하는 경우 몇 m 이내마다 고정시켜야 하는가? (단, 불연재료로 구획된 반자 안에 설치하는 경우는 제외한다.) 63 비상경보설비 및 단독경보형감지기의 화재안전기준(NFSC 201)에 따라 비상벨설비의 음향장치의 음량은 부착된 음향장치의 중심으로부터 1m 떨어진 위치에서 몇 dB 이상이 되는 것으로 하여야 하는가? 64 자동화재탐지설비 및 시각경보장치의 화재안전기준(NFSC 203)에 따라 외기에 면하여 상시 개방된 부분이 있는 차고·주차장·창고 등에 있어서는 외기에 면하는 각 부분으로부터 몇 m 미만의 범위 안에 있는 부분은 경계구역의 면적에 산입하지 아니 하는가? 65 누전경보기의 형식승인 및 제품검사의 기술기준에 따른 누전경보기 수신부의 기능검사 항목이 아닌 것은? 66 비상방송설비의 화재안전기준(NFSC 202)에 따른 음향장치의 구조 및 성능에 대한 기준이다. 다음 ( )에 들어갈 내용으로 옳은 것은? 67 비상조명등의 화재안전기준(NFSC 304)에 따라 조도는 비상조명등이 설치된 장소의 각 부분의 바닥에서 몇 lx 이상이 되도록 하여야 하는가? 68 비상방송설비의 화재안전기준(NFSC 202)에 따른 용어의 정의에서 소리를 크게 하여 멀리까지 전달될 수 있도록 하는 장치로써 일명 “스피커”를 말하는 것은? 69 자동화재탐지설비 및 시각경보장치의 화재안전기준(NFSC 203)에 따른 중계기에 대한 시설기준으로 틀린 것은? 70 비상콘센트설비의 화재안전기준(NFSC 504)에 따라 비상콘센트용의 풀박스 등은 방청도장을 한 것으로서, 두께 몇 mm 이상의 철판으로 하여야 하는가? 71 누전경보기의 형식승인 및 제품검사의 기술기준에 따라 누전경보기의 변류기는 경계전로에 정격전류를 흘리는 경우, 그 경계전로의 전압강하는 몇 V 이하이어야 하는가? (단, 경계전로의 전선을 그 변류기에 관통시키는 것은 제외한다.) 72 자동화재탐지설비 및 시각경보장치의 화재안전기준(NFSC 203)에 따른 배선의 시설기준으로 틀린 것은?
App Store Google Play
오늘학습 예시 이미지

시험에 합격하려면
복습을 제대로 해야 합니다.

오늘학습은 스스로 기억을 떠올리고 계획적으로 복습할 수 있도록 설계돼 있어요.
그것도, 가장 과학적인 방식으로요!

능동적 회상

능동적 회상
(Active Recall)

배운 내용을 단순 읽으며 반복하는 것이 아니라,
능동적으로 기억하고 있는지를
스스로 테스트하며
공부할 수 있는
학습 환경을 제공해 학습 효과를 높여요

간격 반복 학습

간격 반복 학습
(Spaced Repetition)

에빙하우스 망각곡선을 바탕으로
가장 최적의 시점에 복습을 제공하여
배운 내용이 잊히지 않도록 장기 기억화해요

Data 기반의
뇌과학적 복습 시스템

학습 결과 Data를 분석해, 문제별 최적화된
반복 학습량을
자동으로 분배해요.
학습에 소요되는 시간을 최소화하는
동시에
단기 기억을 장기 기억으로 전환해줘요.

36만 개 이상의
기출문제 무료 제공

공무원 및 약 300여종의 자격증 시험 기출문제
36만개
이상을 무료로 이용할 수 있어요.
여러 앱을 설치할 필요
없이, 오늘학습 하나로
모든 시험을 준비할 수 있어요.

다양한 문제 유형으로 만드는
나만의 단어장&문제집

기출 외에도 외워야 하는 내용은
객관식, 주관식, 카드, 빈칸
등 다양한 형식으로
직접 만들어 보세요. 내 학습 스타일에
맞게
나만의 단어장과 문제집을 만들 수 있어요.

시험별 체계적인
문제 관리

시험에 문제를 추가해 체계적으로
관리할 수 있어요.
주제나 단원별로
분류하고 싶다면,
시험에 챕터를 만들어
문제를 추가할 수도 있어요.

수십만 명이
오늘학습을 사랑합니다

앱 스토어 평점 4.9
구글 플레이 평점 4.8
누적 회원수 100,000+
지금 오늘학습을
시작해보세요
지금 시작하기
문제 선택