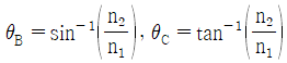
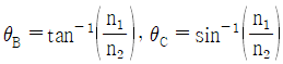
굴절률이 n1인 매질로부터 n2인 매질로 전파되는 광에 대하여 경계면에서의 브루스터각(Brewster angle, θB)과 임계각(critical angle, θC)에 대한 표현이 옳은 것은? (단, n1>n2 이다.)
지금 시작하기 →

・・・ 문제은행 광학기사(2020년) 30번

광학기사 2020년 06월 30번

굴절률이 n1인 매질로부터 n2인 매질로 전파되는 광에 대하여 경계면에서의 브루스터각(Brewster angle, θB)과 임계각(critical angle, θC)에 대한 표현이 옳은 것은? (단, n1>n2 이다.)

1
2
3
4
단축키
이전 문제로 이동은 키를 누르고, 다음 문제로 이동은 키를 누르세요
이전 문제 , 다음 문제
문제(80)
1 광선에 대한 설명으로 틀린 것은? 2 굴절률 1.520인 초자로 한 면이 평면이고 다른 한쪽면이 볼록한 초점거리 25cm의 렌즈를 만들고자 한다. 볼록면의 곡률반경을 계산하면? 3 얇은 볼록렌즈의 전방 20cm 지점에 놓인 물체로부터 나온 광선이 렌즈를 통과한 후 렌즈의 후방 80cm인 곳에 상을 형성하였다. 이 렌즈의 종방향 배율(longitudinal magnification)은 얼마인가? 4 같은 유리로 만든 초점거리가 각각 f1, f2인 2개의 렌즈를 이용하여 색수차를 제거하고자 할 때 두 렌즈의 간격(d)은? 5 대물렌즈의 초점거리가 15cm인 망원경이 어떤 물체를 30배 확대시킬 수 있다면 이 망원경의 대안렌즈 초점거리(cm)는? 6 밤하늘 별의 고도가 실제보다 높게 보이는 것과 하늘이 파랗게 보이는 현상으로 조합된 것은? 7 유효초점거리가 50mm인 확대경의 물체측 초점에 놓여 있는 물체를 확대경을 통하여 볼 때, 이 확대경의 각배율은 얼마인가? 8 30mm의 초점거리를 갖는 양면 볼록렌즈(Biconvwx)를 굴절률이 1.5인 유리로 제작하려고 한다. 한쪽면의 곡률반경 R2를 다른 면의 곡률반경 R1 의 3배가 되도록 하려고 한다면 곡률반경 R1은 얼마가 되어야 하는가? 9 자이델 수차 중 선명도와 관계없는 것은? 10 어떤 매질의 광속도가 1.5×108 m/s 일 때 이 매질의 굴절률은? (단, 진공에서의 빛의 속도는 3.0×108 m/s 이다.) 11 애플릿넷(Aplanat)이란 어떤 수차가 제거된 광학계를 의미하는가? 12 굴절율 1.5인 유리로 제작된 양볼록렌즈의 곡률반경은 각각 50cm, 10cm 이며, 렌지의 두께가 1.5cm이면 이 렌즈의 굴절능은?
13 초점거리가 +10cm인 볼록렌즈가 초점거리가 –10cm 인 오목렌즈를 동일 광축 위에 나란히 놓았다. 두 렌즈 사이의 간격이 10cm 일 때, 전체 광학계의 유효초점거리는? 14 렌즈의 구경이 100% 증가하고, 화각이 50% 감소할 때 다음 설명 중 틀린 것은? (단, 보기항의 설명들은 광선수차이며, 3차 수차를 기준으로 한다.) 15 초점거리가 10cm인 볼록렌즈에 그림과 같이 각도 10°로 광선이 입사되는 경우에 렌즈의 초점면에서 이 광선이 교차하는 지점의 광축으로부터의 높이(h)는 약 얼마인가? (단, 근축광선이론을 적용하여 풀이하도록 한다.) 16 거울앞 10cm에 있는 헤드라이트의 필라멘트의 상을 거울앞 3m의 스크린위에 형성시키려면 어떤 종류의 거울이 필요한가? 17 초점거리 0.5m인 볼록렌즈 앞 1m되는 곳에 물체가 있고, 볼록렌즈 뒤 2m 떨어진 곳에 평면거울이 있다. 평면거울이 광축과 수직이라면 관측자가 렌즈를 통하여 거울을 볼 때 최종 상의 위치는 렌즈앞에서 얼마나 떨어져 있는가? 18 대물렌지의 초점거리가 10cm, 대안렌지의 초점거리가 5cm이고, 경통의 길이가 15cm인 현미경의 배율의 크기는? 19 핀홀 카메라에 대한 설명 중 틀린 것은? 20 종색수차를 최소화하는 방법으로 옳은 것은? 21 굴절률 1.5인 유리에 어떤 물질을 1층 증착시켜 물속에서 수직으로 사용할 때, 반사율이 최소가 되게 하려고 한다. 굴절률이 어떤 값을 갖는 물질을 증착해야 가장 효과가 크겠는가? 22 광학매질들 중 선형편광된 빛이 들어가서 편광 방향이 회전하여 나오는 광할성(optical activity) 물질로 틀린 것은? 23 홀로그램의 특성으로 틀린 것은? 24 그물망 물체의 스펙트럼에 수직으로 좁은 슬릿을 놓아서 수직방향으로 고차 회절 무늬만을 통과시켰을 때 상표면 A에 보이는 결과로 옳은 것은?
25 영문자 A를 영상처리하여 여러 개를 복사하려 할 때 마스크로서 적당한 것은? 26 빛이 광섬유 내를 전파하면서 발생하는 손실량에 대한 설명으로 틀린 것은? 27 면적 10×10cm2 인 면 위에 500개의 격자선이 그어진 반사형 회절격자가 있다. 격자 전체 면을 사용할 경우, 1차 회절광의 파장 오차는 얼마인가? 28 격자선수가 500 lines/mm 이고, 전체폭이 10cm인 회절격자의 1차 분해능은? 29 눈을 가늘게 뜨면 흐렸던 물체의 형태가 개략적으로 분명하게 보인다. 이와 관련된 물리적 설명으로 틀린 것은? 30 굴절률이 n1인 매질로부터 n2인 매질로 전파되는 광에 대하여 경계면에서의 브루스터각(Brewster angle, θB)과 임계각(critical angle, θC)에 대한 표현이 옳은 것은? (단, n1>n2 이다.) 31 굴절률 ns인 기판 위에 굴절률이 n1, n2인 유전체 물질(각각 L과 H로 표기)을 1/4 파장 광학 두게씩 차례로 코팅하고자 한다. ([공기|LH|기판]) 공기중에서 무반사 조건을 만족하기 위한 굴절률 관계로 옳은 것은? 32 x축과 y축 방향 편광 성분이 진폭이 각각 1과 2인 타원 편광파가 x축으로부터 30° 기울어진 편광판을 통과하였다. 입사광에 대한 투과광의 강도비는? 33 그림은 광섬유 측단면을 나타낸 것이다. 허용각(acceptance angle) α를 표현한 것으로 옳은 것은? (단, 코어와 클래딩의 굴절률은 각각 n1, n2 이며, 공기의 굴절률 n0는 1 이다.) 34 그림과 같이 폭 0.1mm인 틈(slit)이 있는 불투명 종이에 파장 5000Å인 빛이 수직으로 비추어진다고 할 때 이 빛이 틈을 지난 뒤에는 어떻게 되겠는가? 35 진공 중에서의 파장이 450nm인 빛이 굴절률 1.5인 매질을 통과할 때 매질 내에서의 파장은? 36 파장 λ인 빛을 굴절율 ns인 유리판에 수직으로 비춘다. 이 유리판에 굴절율 n(n>ns)인 물질을 광학적 두께가 λ/4가 되게 입혀 주면 빛의 반사도는 막을 입히기 전과 비교하여 어떻게 변하는가?
37 다음과 같은 푸리에(Fourier) 변환에 관한 물리적 의미가 옳은 것은? (단, 렌즈를 이용한 푸리에 변환과 연관하여 설명하며, 는 푸리에 변환을 의미한다.) 38 이중슬릿을 이용한 Young의 간섭실험에서 슬릿 사이의 간격은 0.5mm, 슬릿과 스크린 사이의 거리는 1m, 사용된 빛의 파장은 600nm일 때, 스크린에 생긴 간섭무늬를 사이의 거리는 1.2mm 이었다. 한쪽 슬릿의 뒤에 굴절률 1.5, 두께 0.01mm의 유리를 설치했을 때 간섭무늬가 이동하는 거리는? 39 굴절률이 n인 비누막이 공기 중에 있을 때 파장이 λ인 광파가 수직으로 입사 후 비누막 윗면과 아랫면에서 반사하였다. 이 두 반사광이 1차 보강간섭을 일으키기 위한 비누막의 광학적 두께는? 40 직경 1mm인 원형구멍에 500nm의 레이저광을 비추었다. 이 때 원형구멍으로부터 2m 떨어진 스크린 중앙에 생기는 가장 밝은 에어리(Airy) 원판의 반지름은? 41 굴절률이 nH인 물질과 nL인 물질을 교대로 주기적으로 쌓아 고반사율 다층 박막을 만들 수 있다. nH > nL 일 때, 공기 중의 파장 λ에 대해 반사율을 크게 만들려면 각 물질의 두께는 얼마인가? 42 빛이 공기 중에서 굴절률 n인 물질로 수직 입사했을 때 반사율(reflectance)의 값은? 43 광학유리는 렌즈 또는 프리즘 등을 이용하여 광학계에서 상을 전달할 때 사용되는데, 이때 상의 결함을 수차라 부른다. 자이델(Seidel)의 5가지 수차에 해당하지 않는 것은? 44 굴절률이 1.45인 평유리 4장을 겹쳐 포개면 입사에너지의 약 몇 %가 투과 하는가? (단, 유리의 의한 흡수는 무시하며, 유리-공기의 투과율은 공기-유리의 투과율과 같다고 가정한다.) 45 복사세기가 I인 점광원에서 거리 R만큼 떨어진 곳의 복사입사율이 E0 일 때, 거리 2R에서의 복사 입사율은 얼마인가? 46 대형 망원경은 대개 굴절형이 아니고 반사형이다. 그 이유에 대한 설명으로 틀린 것은? 47 핀홀 카메라에 의한 상의 형태는? 48 회절격자를 이용한 단색화 장치의 입력 슬릿과 출력 슬릿의 폭을 결정할 때 고려 할 사항으로 가장 중요한 것은?
61 광축이 z축인 단축결정체(uniazial crystal)에 외부로부터 가해지는 전자장이 없는 때, 이 결정체의 굴절률-타원체의 방정식이 될 수 있는 것은? (단, 여기서 x, y, z는 결정축을 나타내며, no, ne는 각각 정상광선과 이상광선의 굴절률이다.) 62 파장이 λ인 선형 편광된 레이저 빛을 원형 편광된 레이저 빛으로 변환시키려고 할 때 사용하여야 할 광학소자는? 63 레이저 천공의 장점으로 틀린 것은? 64 평면 거울과 평면 부분 반사경으로 구성된 레이저 공진기 길이가 1cm 일 때, 이 공진기에서 발진된 레이저의 종모드 주파수로 옳은 것은? (단, 공진기 내부는 진공이다.) 65 파장 0.6328 μm인 He-Ne 레이저의 경우 레이저 공진기의 길이를 50cm라 할 때, 종모드의 간격은 얼마인가? 66 횡모드(transverse mode)의 공간적 분포가 그림과 같은 레이저가 있다. 이 레이저의 공간 모드는? 67 파장이 1065nm인 네오디뮴 야그(Nd YAG) 레이저의 진동수(Hz)는? 68 결정에 전압을 걸어 주었을 때 가해준 전기장의 세기에 비례하여 굴절률이 변화하는 효과는? 69 두께 L = 6.25×10-3mm의 단축 결정체(uniaxial crystal)에 그림과 같이 5000Å의 선편광된 빛이 입사되었다. 결정체를 지난 빛이 원편광되어 나온다면, 이 결정체의 λ = 5000Å에 대한 상광선과 이상광선의 굴절률의 차(△ = no - ne)는 얼마인가? 70 광 결정체의 유전 텐서(dielectric tensor)는 언제나 와 같이 대각화할 수 있다. 다음 중 쌍축 결정(biaxial crystal)의 경우는 어느 것인가? 71 등방성 물질은 클로로포름에서 관찰할 수 있는 효과는? 72 파장 500nm의 이상적인 레이저 광속을 w0가 5μm가 되도록 그림과 같이 집속하였다. Beam waist에서 z만큼 떨어진 곳에서 파면의 곡률반경을 R(z)라 할 때, R(z)의 최솟값은 얼마인가?(문제 오류로 가답안 발표시 3번으로 발표되었지만 확정답안 발표시 모두 정답처리 되었습니다. 여기서는 가답안인 3번을 누르면 정답 처리 됩니다.)(모두 확정답안 처리된 이유는 실제 시험에서 그림이 누락되어서 입니다. 참고하세요.)
App Store Google Play
오늘학습 예시 이미지

시험에 합격하려면
복습을 제대로 해야 합니다.

오늘학습은 스스로 기억을 떠올리고 계획적으로 복습할 수 있도록 설계돼 있어요.
그것도, 가장 과학적인 방식으로요!

능동적 회상

능동적 회상
(Active Recall)

배운 내용을 단순 읽으며 반복하는 것이 아니라,
능동적으로 기억하고 있는지를
스스로 테스트하며
공부할 수 있는
학습 환경을 제공해 학습 효과를 높여요

간격 반복 학습

간격 반복 학습
(Spaced Repetition)

에빙하우스 망각곡선을 바탕으로
가장 최적의 시점에 복습을 제공하여
배운 내용이 잊히지 않도록 장기 기억화해요

Data 기반의
뇌과학적 복습 시스템

학습 결과 Data를 분석해, 문제별 최적화된
반복 학습량을
자동으로 분배해요.
학습에 소요되는 시간을 최소화하는
동시에
단기 기억을 장기 기억으로 전환해줘요.

36만 개 이상의
기출문제 무료 제공

공무원 및 약 300여종의 자격증 시험 기출문제
36만개
이상을 무료로 이용할 수 있어요.
여러 앱을 설치할 필요
없이, 오늘학습 하나로
모든 시험을 준비할 수 있어요.

다양한 문제 유형으로 만드는
나만의 단어장&문제집

기출 외에도 외워야 하는 내용은
객관식, 주관식, 카드, 빈칸
등 다양한 형식으로
직접 만들어 보세요. 내 학습 스타일에
맞게
나만의 단어장과 문제집을 만들 수 있어요.

시험별 체계적인
문제 관리

시험에 문제를 추가해 체계적으로
관리할 수 있어요.
주제나 단원별로
분류하고 싶다면,
시험에 챕터를 만들어
문제를 추가할 수도 있어요.

수십만 명이
오늘학습을 사랑합니다

앱 스토어 평점 4.9
구글 플레이 평점 4.8
누적 회원수 100,000+
지금 오늘학습을
시작해보세요
지금 시작하기
문제 선택