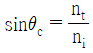
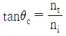
굴절률 ni 인 매질에서 굴절률 nt(< ni)인 매질로 빛이 입사할 때 전반사가 일어나는 임계각 θc에 대한 표현 중 옳은 것은?
지금 시작하기 →

・・・ 문제은행 광학기사(2022년) 38번

광학기사 2022년 04월 38번

굴절률 ni 인 매질에서 굴절률 nt(< ni)인 매질로 빛이 입사할 때 전반사가 일어나는 임계각 θc에 대한 표현 중 옳은 것은?

1
2
3
4
단축키
이전 문제로 이동은 키를 누르고, 다음 문제로 이동은 키를 누르세요
이전 문제 , 다음 문제
문제(80)
1 종구면 광선수차의 크기와 광이 렌즈에 입사한 점의 광축에서 높이 h와의 관계로 옳은 것은? 2 굴절률이 1.5, 양면의 곡률반경이 10cm로 동일한 얇은 양볼록 렌즈의 굴절능(power)은? 3 굴절률 1.5인 유리로 제작한 초승달 모양의 오목렌즈(negative meniscus)의 곡률반경 r1과 r2가 각각 50cm, 25cm 이고, 렌즈의 왼쪽은 공기, 오른쪽은 기름일 때 오목렌즈의 굴절능은 얼마인가? (단, 기름의 굴절률은 1.6 이며, 렌즈는 얇은 렌즈로 가정하여 계산한다.) 4 간섭계를 사용하여 측정된 광학계의 파면오차와 간섭무늬가 다음과 같을 때, 가장 관련 있는 수차는? 5 초점거리 10cm인 렌즈의 왼쪽 12cm인 거리에 물체가 놓여 있다. 초점거리 12.5cm인 두 번째 렌즈가 첫 번째 렌즈의 오른쪽 20cm 거리에 있을 때 상의 횡배율은 얼마인가? 6 굴절능이 +6 디옵터인 크라운 렌즈의 색수차를 제거하기 위해서 플린트 렌즈와 결합시켰다. 이 플린트 렌즈의 굴절능은? (단, 크라운 렌즈의 아베수는 60이고, 플린트 유리의 아베수는 30 이다.) 7 상측 NA가 0.5인 원형개구 무수차 광학계에서 파장 0.55μm 인 빛으로 결상할 때, Rayleigh 기준에 따른 공간분해능 한계는? 8 n = 1.5, v = 64, f = 10cm 일 때, 페츠발(Petzval) 곡률 반경은? 9 두 점 A와 B가 12cm 떨어져 있을 때 두 점 사이를 굴절률이 1.5인 액체로 채운다면 B에 있는 관측자에게 A는 얼마나 떨어져 있는 것으로 보이는가? 10 광선이 자오면(Meridional Plane)에 놓여 있을 때, 얇은 렌즈 앞면의 굴절능(k)을 구하는 식은? (단, 렌즈 재질의 굴절률은 n, 앞면의 곡률반경은 r1 이다.) 11 출사동이 무한대에 있는 상측 텔레센트릭 광학계로 구성하고자 할 때, 조리개가 설치되어야 하는 위치는? 12 직경 50mm, 초점거리 25cm인 렌즈가 평행으로 입사하는 빛에 대해 3mm의 종구면수차를 가지고 있다면 횡구면수차는?
13 두 개의 렌즈로 이루어진 광학계에서 F1, F2는 초점이다. 0 의 위치에 그림과 같이 물체를 두면 어떻게 되는가? 14 곡률반경이 각각 r1 = -15cm, r2 = -5cm 인 구면으로 만들어진 렌지의 형태계수를 구하면 얼마인가? 15 광선이 크라운 유리 표면에 50°의 입사각으로 입사한다. 이 때 굴절광의 각도 r은? (단, 크라운 유리의 굴절률은 1.5 이다.) 16 굴절률이 1.5인 유리에서 굴절률이 1.3인 물로 빛이 진행할 때 전반사가 일어날 수 있는 임계각은? 17 두 평면거울이 서로 45°의 각을 이루고 있다. 이들 사이에 한 물체가 놓여 있을 때 적당한 위치에서 볼 수 있는 상은 최대 몇 개인가? (단, 물체가 두 거울의 각의 이등분선상에 있을 필요는 없다.) 18 3cm 크기의 물체가 곡률반경 20cm인 볼록거울 앞 20cm 지점에 있을 때, 상의 위치와 특성은? 19 광축상(on-axis)에서만 생기는 수차는? 20 정상적인 사람의 눈에 대한 설명으로 틀린 것은? 21 기판에 유전체 물질을 코팅하여 광대역 투과 필터를 만들려고 할 때, 박막의 구조로 옳은 것은? (단, H와 L은 파장의 1/4 두께를 갖는 고굴절 물질과 저굴절 물질을 나타낸다.) 22 그림과 같은 삼각형의 유리 프리즘에 백색광을 입사시킬 때, 프리즘을 통과한 후 색의 배열이 옳은 것은? 23 파장 0.5μm의 광원으로부터 0.5m 떨어진 곳에 놓인 직경 0.5mm의 원형동공(circular aperture)이 광축에 수직으로 놓여 있다. 이 동공을 투과한 광의 강도가 최대인 곳은 동공으로부터 얼마 떨어진 광축상의 점인가? 24 너비 a인 단일슬릿에 500nm 파장의 빛을 통과시켰다. 슬릿의 중심으로부터 θ = 30°에서 첫 번째 극소(어두운무늬)가 나타나기 위한 a값은 얼마인가?
25 함수 f(x)의 푸리에 변환이 F(k)이다. f(x)를 평행 이동시킨 f(x-a)의 푸리에 변환식은? (단, 이다.) 26 두 개의 론치 격자(Ronchi grating)를 겹치면 무아레 무늬를 관찰할 수 있다. 이 무늬에 대한 설명으로 틀린 것은? 27 굴절률이 3.5인 유전체 표면에 공기로부터 빛이 수직 입사하는 경우 표면에서 빛에 대한 반사도는 얼마인가? 28 물체로부터 출발한 광파의 파면형태를 기준으로 홀로그램을 구분할 때 렌즈에 의해서 물체의 실상이 맺히는 위치에 건판을 두어 기록한 홀로그램은? 29 세기가 I(x) = 5sin 5x + 20 으로 표현되는 일차원 공간상의 간섭무늬가 있다. 이 간섭무늬의 가시도(visibility)는 얼마인가? 30 공기 중에서 굴절률 n인 유리판으로 입사각이 0도가 되게 빛이 입사할 때, 유리면에서의 반사도(reflectance)는? 31 파장이 0.514 μm인 Ar+ 레이저를 이용하여 홀로그래픽 회절격자를 만들려고 한다. 두 레이저광이 60°의 각도로 필름 면에 대칭 입사하는 경우 만들어진 격자의 홈 간격은? 32 홀로그래피는 레이저가 발명된 후 급속히 발전되었다. 이는 레이저의 어떤 성질 때문에 기인하는 것인가? 33 영(Young)의 이중 슬릿 실험을 물 속에서 수행하면, 공기 중에서 수행할 때와 비교하여 간섭 무늬 사이의 간격은 어떻게 변하는가? 34 파장 633nm의 헬륨-네온 레이저 광속을 간섭시켜서 홀로그래픽 평면 회절격자를 제작하려고 한다. 1mm당 1000개의 격자선(groove)을 갖는 격자를 얻으려면 두 간섭광파 사이의 각도를 얼마로 유지시켜야 하는가? 35 굴절률 타원체 방정식이 0.3x2 + 0.3y2 + 0.4z2 = 1 로 표현되는 광학 매질에서 z축 방향으로 진행하는 광에 대한 굴절률은 얼마인가? 36 ND 필터(neutral density filter)의 광학밀도(optical density, OD)를 바르게 표현한 것은? (단, IO는 입사광의 세기, IT는 투과광의 세기이다.)
37 반사율이 99%인 평면거울로 길이가 10cm 인 패브리-페롯(Fabry-Perot) 간섭계를 만든 경우, 중심파장이 500nm인 광에 대해서 얼마의 파장 차이를 분해할 수 있는가? 38 굴절률 ni 인 매질에서 굴절률 nt(< ni)인 매질로 빛이 입사할 때 전반사가 일어나는 임계각 θc에 대한 표현 중 옳은 것은? 39 다음 중 파면분할을 이용한 것은? 40 그림과 같이 평면유리 위에 plano-convex lens를 올려놓고 위에서 λ의 파장을 갖는 광을 쬐여 줄 때, 형성되는 간섭무늬를 Newtons ring이라 한다. 간섭무늬의 첫 번째 어두운 부분까지의 반경이 1mm라면 사용된 광원의 파장은? (단, plano-convex lens의 곡률반경은 4m 이다.) 41 레어지와 그 레이저에서 밀도 반전(population inversion)을 일으키는 방법의 연결이 틀린 것은? 42 다음 중 자동시준기(auto collimator)를 이용하여 측정할 수 없는 것은? 43 어떤 사람 눈의 도수가 59 디옵터일 때 눈의 초점거리는 약 얼마인가? 44 방해석(calcite)을 통과하는 빛에 관한 다음 설명 중 옳은 것은? 45 nF = 1.58208, nd = 1.57250, nc = 1.56861 인 유리의 아베수(Abbe numbers)는 약 얼마인가? 46 크기가 큰 대부분의 복사 광원의 방사 각도에 따른 복사휘도 세기 J에 관한 람베르트(Lambert) 법칙을 근사적으로 표현할 수 있다. 다음 중 람베르트(Lambert) 법칙으로 옳은 것은? 47 다음 중 광선의 방향을 바꾸기 위하여 만들어진 프리즘이 아닌 것은? 48 초점거리가 10cm, 굴절률이 1.6, V수가 64인 단일렌즈에 대한 Petzval 조건이 만족될 곡률반경 R은?
49 박막의 두께를 측정하기 위해 토란스키 간섭계를 사용하여 그림과 같은 간섭무늬를 얻었다. 박막의 두께 t를 바르게 나타낸 것은? (단, λ는 빛의 파장이다.) 50 광학 유리의 제조공정 중 ( ) 안에 들어갈 내용으로 알맞은 것은? 51 다음 중 결정의 비선형성(non-linearity)과 관련이 있는 현상은? 52 눈의 조절작용을 통하여 초점거리가 25cm인 확대경으로 물체를 본다면 몇 배의 각배율로 물체가 보이는가? 53 다음 중 구면계(spherometer)를 이용하여 측정할 수 있는 것은? 54 복사계측학(Radiometry)에서 에너지 전달율인 파워(Power)의 기본 단위인 와트(Watt)에 대응하는 측광학(Photometry)의 단위는? 55 평행광선이 수정체를 통과한 후 망막 앞에 상이 생겨 망막에서의 초점이 흐려지는 눈의 굴절이상의 명칭과 교정방법이 옳은 것은? 56 완전히 비평광된(unpolarized) 빛이 굴절률 1.5인 유리에 브루스터 각(Brewster’s angle)으로 입사하였을 때의 설명으로 옳지 않은 것은? 57 분광 광도계(Spectrophotometer)에 관한 설명으로 옳지 않은 것은? 58 광축에 평행하게 입사한 상면 조도에 대해, 광축과 θ의 각도를 이루며 입사하는 빛에 의한 상면 조도의 비율로 옳은 것은? 59 다음 중 가시광선 영역에 속하는 것은? 60 60° 프리즘을 이용한 프리즘 분광기의 분해능을 높이기 위해서는 어떤 프리즘을 사용해야 하는가?
61 파장 500nm의 laser에서 측정된 beam waist 의 반지름 w가 31.83μm 발산각 θ가 10 mrad 일 때, 이 레이저의 M2-factor는 약 얼마인가? 62 CO2 레이저가 높은 효율로 발진할 수 있는 주원인으로 틀린 것은? 63 결정구조를 지닌 재료 중 광학적으로 단축(uniaxial) 성질을 보여주는 것은? 64 레이저 공진기(resonator)의 두 거울의 반사율이 각각 99%이고 길이가 0.5m 일 때 단일 모드로 공진 시 선폭은 약 몇 kHz 인가? 65 광전효과에 대한 설명 중 틀린 것은? 66 다음 사진과 같은 에너지 공간 분포를 가지는 레이저의 공간 모드는? 67 전기광학(Electro-optic) Q-스위치에 쓰이는 재료가 아닌 것은? 68 CO2 레이저(λ = 10.6 μm)에서 나온 광속허리의 직경이 5mm 폭일 때 작은 점 0.1mm의 직경으로 광속의 초점을 맺고 싶으면, 이때 필요한 렌즈의 초점거리는 얼마인가? 69 광섬유 통신에서 레이저 광원의 빛을 광섬유 속으로 많이 입사시키기 위해서는 발산 각이 크지 않은 거이 좋다. 빔 허리반경(radiusof beam waist)이 25μm이고 파장이 633nm인 헬륨-네온 레이저를 사용할 경우 가우스 광속의 발산 각을 구하면 얼마인가? 70 반도체 레이저의 복사는 두 가지 유형의 물질 사이의 좁은 접합점에서 일어난다. 만일 파장이 780nm이고 접합점의 폭 즉, 슬릿의 폭이 5μm 라면 광속의 총발산각(full angle divergence)은 얼마인가? 71 매질의 굴절률이 가해지는 외부 전기장에 비례(∝ E)하여 변하는 현상은? 72 레이저를 광원으로 사용하여 홀로그램을 제작할 수 있다. 제작된 홀로그램 필름에 레어지를 비추어 상을 재생할 수 있는데, 이러한 재생과정은 빛의 어떤 성질을 이용한 것인가?
App Store Google Play
오늘학습 예시 이미지

시험에 합격하려면
복습을 제대로 해야 합니다.

오늘학습은 스스로 기억을 떠올리고 계획적으로 복습할 수 있도록 설계돼 있어요.
그것도, 가장 과학적인 방식으로요!

능동적 회상

능동적 회상
(Active Recall)

배운 내용을 단순 읽으며 반복하는 것이 아니라,
능동적으로 기억하고 있는지를
스스로 테스트하며
공부할 수 있는
학습 환경을 제공해 학습 효과를 높여요

간격 반복 학습

간격 반복 학습
(Spaced Repetition)

에빙하우스 망각곡선을 바탕으로
가장 최적의 시점에 복습을 제공하여
배운 내용이 잊히지 않도록 장기 기억화해요

Data 기반의
뇌과학적 복습 시스템

학습 결과 Data를 분석해, 문제별 최적화된
반복 학습량을
자동으로 분배해요.
학습에 소요되는 시간을 최소화하는
동시에
단기 기억을 장기 기억으로 전환해줘요.

36만 개 이상의
기출문제 무료 제공

공무원 및 약 300여종의 자격증 시험 기출문제
36만개
이상을 무료로 이용할 수 있어요.
여러 앱을 설치할 필요
없이, 오늘학습 하나로
모든 시험을 준비할 수 있어요.

다양한 문제 유형으로 만드는
나만의 단어장&문제집

기출 외에도 외워야 하는 내용은
객관식, 주관식, 카드, 빈칸
등 다양한 형식으로
직접 만들어 보세요. 내 학습 스타일에
맞게
나만의 단어장과 문제집을 만들 수 있어요.

시험별 체계적인
문제 관리

시험에 문제를 추가해 체계적으로
관리할 수 있어요.
주제나 단원별로
분류하고 싶다면,
시험에 챕터를 만들어
문제를 추가할 수도 있어요.

수십만 명이
오늘학습을 사랑합니다

앱 스토어 평점 4.9
구글 플레이 평점 4.8
누적 회원수 100,000+
지금 오늘학습을
시작해보세요
지금 시작하기
문제 선택