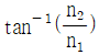
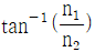
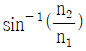
굴절률이 n1인 매질에서 n2인 매질로 광파가 입사하고 있다. n1>n2인 경우에 임계각의 표현방법은?
지금 시작하기 →

・・・ 문제은행 광학기사(2019년) 35번

광학기사 2019년 04월 35번

굴절률이 n1인 매질에서 n2인 매질로 광파가 입사하고 있다. n1>n2인 경우에 임계각의 표현방법은?

1
2
3
4
단축키
이전 문제로 이동은 키를 누르고, 다음 문제로 이동은 키를 누르세요
이전 문제 , 다음 문제
문제(80)
1 공기 중에서 초점거리가 5cm, 얇은 렌즈 2개를 서로 밀착시켰을 경우, 이 렌즈계의 초점거리는? 2 한 물체가 곡률반경이 –6cm인 오목거울로부터 앞쪽으로 12cm가 되는 지점에 있을 때 거울에서 상까지의 거리는? (단, 거리는 모두 양(+)의 값을 가진다.) 3 그림과 같이 off-axis ray의 입사높이와 시야각에 따라 상평면상에 빛이 모이는 점이 변화하는 수차와 거리가 먼 것은? 4 렌즈의 버전스(vergence)에 관한 다음 설명 중 옳은 것은? 5 두께 1cm인 평행판 유리에 법선으로부터 0.1rad의 각도로 입사한 광이 유리를 통과할 때 출사광은 입사광의 연장선으로부터 얼마만큼 변위되는가? (단, 유리의 굴절률은 1.5 이다.) 6 다음 중 주경이 오목거울, 부경이 볼록거울로 구성된 망원경은? 7 다음 그림에서 똑같은 렌즈 앞뒤를 바꾸어서 같은 광성은 입사시킬 경우 구면수차에 대한 설명으로 옳은 것은? 8 다음 중 상을 상하좌우 반전시키는 프리즘이 아닌 것은? 9 빛을 평면거울에 입사시킬 때, 평면거울을 10도 회전시키면 반사광은 얼마나 회전하겠는가? 10 꼭지각이 30°인 프리즘의 굴절률이 파란색 광선에 대해서는 1.65이고, 빨간색 광선에 대해서는 1.61이라면 두 파장 범위 내에서 각분산(angular dispersion)은? 11 어떤 오목거울의 앞 60cm의 위치에 물체를 놓았더니 물체 크기가 5배가 되는 실상이 생겼따면, 이 오목거울의 초점거리는 얼마인가? 12 다음 그림은 빛이 공기 중에서 굴절률이 다른 두 물질 속을 지나는 경로이다. 공기, 물질 Ⅰ, 물질 Ⅱ에서 빛의 속력을 c, c1, c2 라 할 때 다음 중 관계가 옳은 것은?
13 각각 +10D의 굴절능을 가진 두 개의 얇은 렌즈가 4cm 만큼 떨어져 있다. 만일 두 번째 렌즈로부터 초점까지의 거리가 3cm 라면 광학계의 제2주요면은 두 번째 렌즈로부터 얼마나 멀리 떨어져 있는가? 14 경통길이(tube length)가 160mm인 현미경에서 초점거리가 20mm인 대물렌즈의 배율은 얼마인가? 15 초점거리가 10cm인 볼록렌즈의 좌측전방 5cm 인 곳에 물체가 놓여 있다. 상의 위치와 종류 중 옳은 것은? 16 얇은 렌즈에의해 그림과 같이 결상될 때 물체로부터 제1초점까지의 거리가 z, 제1초점거리가 f, 제2초점거리가 f′ 그리고 제2초점으로부터 상까지의 거리가 z′ 일 때 Newton의 방정식은? 17 그림과 같이 원래의 상이 찌그러진 상으로 나타나는 이유는 어떤 현상 때문인가? 18 공기 중에서 점광원의 빛을 구면수차 없이 한 점에 결상시키려면 경계면 반사경의 모양을 어떤 형태로 해야 하는가? 19 공기 중에서 파장이 600nm인 빛이 굴절률 1.5인 매질 내로 입사하였을 때 매질 내에서의 파장(λ)과 진동수(f)의 값은? 20 투명한 물체의 굴절률을 실험적으로 측정하기 위해서 그 물체를 삼각형의 얇은 프리즘 모양으로 만들어서 이용하며 프리즘을 통과한 단색의 광선이 최소편의가 일어나는 상태가 되도록 조절한다. 이때 프리즘의 굴절률을 구하기 위해서 측정해야 할 것은? 21 Na의 이중선(λ1 = 5895.9 Å, λ2 = 5890.0 Å)을 삼차 회절광에서 분리시키기 위해서는 격자 위에서 빛이 비추는 영역 안의 총 격자선이 몇 줄이어야 되는가? 22 얇은 렌즈의 곡률반경이 R이고, 이 렌즈와 평판사이의 굴절률이 n인 뉴톤링 실험장치가 있다. 반사광에 의한 뉴톤링 무늬에서 첫 번째 어두운 무늬의 반경은 얼마인가? (단, 사용된 파장은 λ 이다.) 23 굴절률 1.5인 유리 표면에서의 반사를 방지하기 위하여 굴절률 1.38인 MgF2 으로 무반사 코팅을 하고자 한다. 550nm 파장의 광에 대한 반사가 최소이기 위한 박막의 최소 두께는 약 얼마인가? 24 지구에서 30억(3×109)km 떨어진 어떤 별이 중심파장이 500nm인 빛을 방출하고 있다. 망원경 앞에 이중슬릿을 놓고 간섭무늬가 없어질 때까지 슬릿사이 간격을 조절하여 횡코헤런스폭(transverse coherence width)이 6mm임을 알았을 때, 이별의 지름은 약 얼마인가?
37 폴라로이드 편광판(plastic sheet 형태)의 동작원리에 해당하는 것은? 38 코어의 굴절률이 1.48이고 클래딩의 굴절률이 1.46인 광섬유의 개구수(numerical aperture)는? 39 방해석에서 광축에 평행한 방향으로 진행하는 빛에 대한 설명으로 옳은 것은? 40 광원의 주파수 선폭이 △ν = 108 Hz 일 때 대략적인 시간 가간섭성 길이(temporal coherence length)는? 41 태양의 색 온도는 약 5600K 이고 최대 방출 에너지의 파장은 약 500m 이다. 색 온도가 3200K 인 텅스텐 필라멘트에서 최대 에너지를 방출하는 빛의 파장은 얼마인가? 42 카메라의 렌즈에는 무반사 코팅을 하여 피사체로부터 오는 빛의 반사를 막는다. 렌즈의 굴절률이 1.5, 코팅 재료의 굴절률은 1.3일 때, 가시광선의 중간 파장인 550nm에 대해 수직입사 시 무반사 코팅을 하고자 하면 코팅막의 최소 두께는 약 얼마인가? 43 다음 그림과 같이 점광원에서 나오는 복사 조도의 비율은 어떻게 변화하는가? 44 어떤 사진기의 렌즈 초점거리가 10cm, 구경이 2cm 일 때, 렌즈의 f 값은? 45 다음 중 원평관된 빛(circular polarized light)을 만드는 방법으로 옳은 것은? 46 가시광에서 유전상수(dielectric constant)가 2.5인 유리의 굴절률은 약 얼마인가? 47 레이저를 이용한 길이 측정법 중 가장 먼 거리를 측정할 수 있는 방법은? 48 사진기에서 Auto Focusing을 위한 렌즈의 거리 이동에 대한 설명으로 맞는 것은?
49 다음 중 광학매질이 복굴절성을 이용한 프리즘이 아닌 것은? 50 가시광선의 파장 범위로 가장 적절한 것은? 51 평면 거울을 각 a 만큼 회전시켰을 때 거울에서 반사되는 빛은 몇 도 회전하는가? 52 다음 그림에서 이동거울의 위치가 a지점과 b지점에 있을 경우 검출기에서 빛의 밝기가 가장 어두웠다고 하였을 때, a에서 b까지의 거리가 될 수 없는 것은? (단, 레이저(파장 = 600nm)를 이용한 간섭계이다.) 53 현미경에서 대물렌즈의 배율이 Mo 이고, 접안렌즈의 배율이 Me 라면 이 현미경의 배율은? 54 대물렌즈의 초점거리가 500mm, 접안렌즈의 초점거리가 20mm인 천체 망원경의 배율은 몇 배인가? 55 현미경의 대물렌즈 경통에 10/0.25 이라고 쓰여 있다. 각각은 무엇을 표시하는가? 56 망원경의 입사동은 어디에 있는가? 57 어떤 유리의 굴절률이 ηC = 1.6205, ηD = 1.6231, ηF = 1.6294로 주어져 있다. 이 초자의 분산력의 역수(ν)는 약 얼마인가? 58 그림과 같은 렌즈배열에서 첫 번째 렌즈(초점거리 f1)의 후방 초점 거리내에 오목렌즈(초점거리 f2)가 위치한 경우 이 렌즈군은 어떤 광학계로 사용될 수 있는가? 59 광학유리의 굴절률에 관한 일시적 설명으로 맞는 것은? 60 초점기리 5mm인 접안렌즈와 초점거리 40mm인 대물렌즈로 현미경을 제작하였을 때, 광학경통의 길이가 160mm라면 이 현미경의 배율은 얼마인가?
App Store Google Play
오늘학습 예시 이미지

시험에 합격하려면
복습을 제대로 해야 합니다.

오늘학습은 스스로 기억을 떠올리고 계획적으로 복습할 수 있도록 설계돼 있어요.
그것도, 가장 과학적인 방식으로요!

능동적 회상

능동적 회상
(Active Recall)

배운 내용을 단순 읽으며 반복하는 것이 아니라,
능동적으로 기억하고 있는지를
스스로 테스트하며
공부할 수 있는
학습 환경을 제공해 학습 효과를 높여요

간격 반복 학습

간격 반복 학습
(Spaced Repetition)

에빙하우스 망각곡선을 바탕으로
가장 최적의 시점에 복습을 제공하여
배운 내용이 잊히지 않도록 장기 기억화해요

Data 기반의
뇌과학적 복습 시스템

학습 결과 Data를 분석해, 문제별 최적화된
반복 학습량을
자동으로 분배해요.
학습에 소요되는 시간을 최소화하는
동시에
단기 기억을 장기 기억으로 전환해줘요.

36만 개 이상의
기출문제 무료 제공

공무원 및 약 300여종의 자격증 시험 기출문제
36만개
이상을 무료로 이용할 수 있어요.
여러 앱을 설치할 필요
없이, 오늘학습 하나로
모든 시험을 준비할 수 있어요.

다양한 문제 유형으로 만드는
나만의 단어장&문제집

기출 외에도 외워야 하는 내용은
객관식, 주관식, 카드, 빈칸
등 다양한 형식으로
직접 만들어 보세요. 내 학습 스타일에
맞게
나만의 단어장과 문제집을 만들 수 있어요.

시험별 체계적인
문제 관리

시험에 문제를 추가해 체계적으로
관리할 수 있어요.
주제나 단원별로
분류하고 싶다면,
시험에 챕터를 만들어
문제를 추가할 수도 있어요.

수십만 명이
오늘학습을 사랑합니다

앱 스토어 평점 4.9
구글 플레이 평점 4.8
누적 회원수 100,000+
지금 오늘학습을
시작해보세요
지금 시작하기
문제 선택