전기스파크의 최소발화에너지를 구하는 공식은?
지금 시작하기 →

・・・ 문제은행 산업안전산업기사(2017년 2회) 62번

산업안전산업기사 2017년 05월 62번

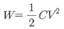
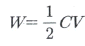
전기스파크의 최소발화에너지를 구하는 공식은?

1
2
3
W=2CV2
4
W=2C2V
단축키
이전 문제로 이동은 키를 누르고, 다음 문제로 이동은 키를 누르세요
이전 문제 , 다음 문제
문제(100)
61 다음 중 접지공사의 종류에 해당되지 않는 것은?(관련 규정 개정전 문제로 여기서는 기존 정답인 1번을 누르면 정답 처리됩니다. 자세한 내용은 해설을 참고하세요.) 62 전기스파크의 최소발화에너지를 구하는 공식은? 63 허용접촉전압이 종별 기준과 서로 다른 것은? 64 감전을 방지하기 위하여 정전작업 요령을 관계근로자에 주지시킬 필요가 없는 것은? 65 누전에 의한 감전위험을 방지하기 위하여 감전방지용 누전차단기의 접속에 관한 일반사항으로 틀린 것은? 66 방폭전기설비의 설치시 고려하여야 할 환경조건으로 가장 거리가 먼 것은? 67 다음 중 방폭구조의 종류와 기호가 올바르게 연결된 것은? 68 페인트를 스프레이로 뿌려 도장작업을 하는 작업 중 발생할 수 있는 정전기 대전으로만 이루어진 것은? 69 제3종 접지 공사시 접지선에 흐르는 전류가 0.1A 일 때 전압강하로 인한 대지 전압의 최대값은 몇 V 이하이어야 하는가?(관련 규정 개정전 문제로 여기서는 기존 정답인 1번을 누르면 정답 처리됩니다. 자세한 내용은 해설을 참고하세요.) 70 다음 중 대전된 정전기의 제거방법으로 적당하지 않은 것은? 71 휘발유를 저장하던 이동저장탱크에 등유나 경유를 이동저장탱크의 밑 부분으로부터 주입할 때에 액표면의 높이가 주입관의 선단의 높이를 넘을 때까지 주입속도는 몇 m/s이하로 하여야 하는가? 72 다음 중 증류탑의 원리로 거리가 먼 것은?
85 지반의 조사방법 중 지질의 상태를 가장 정확히 파악할 수 있는 보링방법은? 86 철근의 인력 운반 방법에 관한 설명으로 옳지 않는 것은? 87 사다리식 통로를 설치할 때 사다리의 상단은 걸쳐 놓은 지점으로부터 최소 얼마 이상 올라가도록 하여야 하는가? 88 차량계 건설기계의 작업계획서 작성 시 그 내용에 포함되어야 할 사항이 아닌 것은? 89 개착식 굴착공사(Open cut)에서 설치하는 계측기기와 거리가 먼 것은? 90 콘크리트 측압에 관한 설명으로 옳지 않은 것은? 91 차량계 하역운반기계 등을 이송하기 위하여 자주(自走) 또는 견인에 의하여 화물자동차에 싣거나 내리는 작업을 할 때 발판·성토 등을 사용하는 경우 기계의 전도 또는 전락에 의한 위험을 방지하기 위하여 준수하여야 할 사항으로 옳지 않은 것은? 92 다음 중 차량계 건설기계에 속하지 않는 것은? 93 거푸집 해체 시 작업자가 이행해야 할 안전수칙으로 옳지 않은 것은? 94 강관비계의 구조에서 비계기둥 간의 최대 허용 적재 하중으로 옳은 것은? 95 다음 셔블계 굴착장비 중 좁고 깊은 굴착에 가장 적합한 장비는? 96 추락방지망의 달기로프를 지지점에 부착할 때 지지점의 간격이 1.5m 인 경우 지지점의 강도는 최소 얼마 이상이어야 하는가?(단, 연속적인 구조물이 방망 지지점인 경우)
App Store Google Play
오늘학습 예시 이미지

시험에 합격하려면
복습을 제대로 해야 합니다.

오늘학습은 스스로 기억을 떠올리고 계획적으로 복습할 수 있도록 설계돼 있어요.
그것도, 가장 과학적인 방식으로요!

능동적 회상

능동적 회상
(Active Recall)

배운 내용을 단순 읽으며 반복하는 것이 아니라,
능동적으로 기억하고 있는지를
스스로 테스트하며
공부할 수 있는
학습 환경을 제공해 학습 효과를 높여요

간격 반복 학습

간격 반복 학습
(Spaced Repetition)

에빙하우스 망각곡선을 바탕으로
가장 최적의 시점에 복습을 제공하여
배운 내용이 잊히지 않도록 장기 기억화해요

Data 기반의
뇌과학적 복습 시스템

학습 결과 Data를 분석해, 문제별 최적화된
반복 학습량을
자동으로 분배해요.
학습에 소요되는 시간을 최소화하는
동시에
단기 기억을 장기 기억으로 전환해줘요.

36만 개 이상의
기출문제 무료 제공

공무원 및 약 300여종의 자격증 시험 기출문제
36만개
이상을 무료로 이용할 수 있어요.
여러 앱을 설치할 필요
없이, 오늘학습 하나로
모든 시험을 준비할 수 있어요.

다양한 문제 유형으로 만드는
나만의 단어장&문제집

기출 외에도 외워야 하는 내용은
객관식, 주관식, 카드, 빈칸
등 다양한 형식으로
직접 만들어 보세요. 내 학습 스타일에
맞게
나만의 단어장과 문제집을 만들 수 있어요.

시험별 체계적인
문제 관리

시험에 문제를 추가해 체계적으로
관리할 수 있어요.
주제나 단원별로
분류하고 싶다면,
시험에 챕터를 만들어
문제를 추가할 수도 있어요.

수십만 명이
오늘학습을 사랑합니다

앱 스토어 평점 4.9
구글 플레이 평점 4.8
누적 회원수 100,000+
지금 오늘학습을
시작해보세요
지금 시작하기
문제 선택