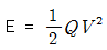
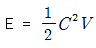
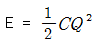
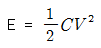
최소 착화에너지를 측정하기 위해 콘덴서를 이용하여 불꽃 방전 실험을 하고자 한다. 콘덴서의 전기용량을 C, 방전전압을 V, 전기량을 Q 라 할 때 착화에 필요한 최소전기에너지 E 를 옳게 나타낸 것은?
지금 시작하기 →

・・・ 문제은행 위험물산업기사(2016년 1회) 30번

위험물산업기사 2016년 03월 30번

최소 착화에너지를 측정하기 위해 콘덴서를 이용하여 불꽃 방전 실험을 하고자 한다. 콘덴서의 전기용량을 C, 방전전압을 V, 전기량을 Q 라 할 때 착화에 필요한 최소전기에너지 E 를 옳게 나타낸 것은?

1
2
3
4
단축키
이전 문제로 이동은 키를 누르고, 다음 문제로 이동은 키를 누르세요
이전 문제 , 다음 문제
문제(60)
25 드라이아이스의 성분을 옳게 나타낸 것은? 26 화재발생 시 소화방법으로 공기를 차단하는 것이 효과가 있으며, 연소물질을 제거하거나 액체를 인화점 이하로 냉각시켜 소화할 수도 있는 위험물은? 27 위험물안전관리법령에 따른 옥내소화전설비의 기준에서 펌프를 이용한 가압송수장치의 경우 펌프의 전양정 H 는 소정의 산식에 의한 수치 이상이어야 한다. 전양정 H 를 구하는 식으로 옳은 것은? (단, h1 은 소방용 호스의 마찰손실수두, h2 는 배관의 마찰손실수두, h3 는 낙차이며, h1, h2, h3 의 단위는 모두 m 이다.) 28 위험물안전관리법령상 물분무소화설비가 적응성이 있는 위험물은? 29 다음 제1류 위험물 중 물과의 접촉의 가장 위험한 것은? 30 최소 착화에너지를 측정하기 위해 콘덴서를 이용하여 불꽃 방전 실험을 하고자 한다. 콘덴서의 전기용량을 C, 방전전압을 V, 전기량을 Q 라 할 때 착화에 필요한 최소전기에너지 E 를 옳게 나타낸 것은? 31 제1석유류를 저장하는 옥외탱크저장소에 특형 포방출구를 설치하는 경우, 방출율은 액표면적 1m2 당 1분에 몇 리터 이상이어야 하는가? 32 분말 소화약제를 종별로 주 성분을 바르게 연결한 것은? 33 할론 2402를 소화약제로 사용하는 이동식할로겐화물소화설비는 20℃의 온도에서 하나의 노즐마다 분당 방사되는 소화약제의 양(kg)을 얼마 이상으로 하여야 하는가? 34 위험물안전관리법령상 전기설비에 적응성이 없는 소화설비는? 35 가연물에 대한 일반적인 설명으로 옳지 않은 것은? 36 분말소화약제로 사용되는 탄산수소칼륨(중탄산칼륨)의 착색 색상은?
App Store Google Play
오늘학습 예시 이미지

시험에 합격하려면
복습을 제대로 해야 합니다.

오늘학습은 스스로 기억을 떠올리고 계획적으로 복습할 수 있도록 설계돼 있어요.
그것도, 가장 과학적인 방식으로요!

능동적 회상

능동적 회상
(Active Recall)

배운 내용을 단순 읽으며 반복하는 것이 아니라,
능동적으로 기억하고 있는지를
스스로 테스트하며
공부할 수 있는
학습 환경을 제공해 학습 효과를 높여요

간격 반복 학습

간격 반복 학습
(Spaced Repetition)

에빙하우스 망각곡선을 바탕으로
가장 최적의 시점에 복습을 제공하여
배운 내용이 잊히지 않도록 장기 기억화해요

Data 기반의
뇌과학적 복습 시스템

학습 결과 Data를 분석해, 문제별 최적화된
반복 학습량을
자동으로 분배해요.
학습에 소요되는 시간을 최소화하는
동시에
단기 기억을 장기 기억으로 전환해줘요.

36만 개 이상의
기출문제 무료 제공

공무원 및 약 300여종의 자격증 시험 기출문제
36만개
이상을 무료로 이용할 수 있어요.
여러 앱을 설치할 필요
없이, 오늘학습 하나로
모든 시험을 준비할 수 있어요.

다양한 문제 유형으로 만드는
나만의 단어장&문제집

기출 외에도 외워야 하는 내용은
객관식, 주관식, 카드, 빈칸
등 다양한 형식으로
직접 만들어 보세요. 내 학습 스타일에
맞게
나만의 단어장과 문제집을 만들 수 있어요.

시험별 체계적인
문제 관리

시험에 문제를 추가해 체계적으로
관리할 수 있어요.
주제나 단원별로
분류하고 싶다면,
시험에 챕터를 만들어
문제를 추가할 수도 있어요.

수십만 명이
오늘학습을 사랑합니다

앱 스토어 평점 4.9
구글 플레이 평점 4.8
누적 회원수 100,000+
지금 오늘학습을
시작해보세요
지금 시작하기
문제 선택