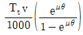
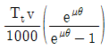
평벨트 전동장치에서 벨트 속도 v[m/s], 긴장측 장력 Tt[N], 마찰계수 μ, 벨트 접촉각 θ[rad]가 주어졌을 때, 최대 전달동력[kW]은? (단, 벨트의 원심력은 무시한다)
지금 시작하기 →

・・・ 문제은행 9급 지방직 공무원 기계설계(2018년) 13번

9급 지방직 공무원 기계설계 2018년 05월 13번

평벨트 전동장치에서 벨트 속도 v[m/s], 긴장측 장력 Tt[N], 마찰계수 μ, 벨트 접촉각 θ[rad]가 주어졌을 때, 최대 전달동력[kW]은? (단, 벨트의 원심력은 무시한다)

1
2
3
4
단축키
이전 문제로 이동은 키를 누르고, 다음 문제로 이동은 키를 누르세요
이전 문제 , 다음 문제
문제(20)
1 1줄 겹치기 리벳이음을 한 두께 10mm인 판재가 있다. 리벳 구멍지름 20mm, 리벳이음 피치 50mm일 때, 인장력을 받고 있는 판재의 효율[%]은? 2 롤러체인을 이용하여 동력을 전달하고자 한다. 구동 스프로킷 휠의 잇수 20개, 롤러체인의 피치 12.5mm, 롤러체인 평균속도가 3m/s일 때 구동 스프로킷 휠의 회전속도[rpm]는? 3 그림과 같이 아이볼트(eye bolt)에 축방향 하중(P) 2kN이 작용할 때, 하중을 지지하기 위한 아이볼트의 최소 골지름(d)[mm]은? (단, 아이볼트의 허용인장응력은 80N/mm2이며, 아이볼트는 골지름 단면에서 파괴된다고 가정한다) 4 치수와 공차에 대한 설명으로 옳지 않은 것은? 5 기본 동적 부하용량 64kN인 볼베어링에 동등가하중 8kN이 작용하고 있다. 이 볼베어링을 롤러베어링으로 교체할 때, 롤러베어링의 정격수명[회전]은? (단, 교체한 롤러베어링에는 볼베어링과 같은 동등가하중이 작용하며, 롤러베어링의 기본 동적 부하용량은 볼베어링과 같다) 6 S-N 곡선(Stress versus Number of cycles curve)과 내구한도에 대한 설명으로 옳지 않은 것은? 7 나사에 대한 설명으로 옳지 않은 것은? 8 그림과 같이 유니버설 조인트 2개 사이에 중간축을 삽입하여 회전을 전달하고 있다. 한 쪽의 교차각 α1과 다른 쪽의 교차각 α2가 같을 때, 각속도비()에 대한 설명으로 옳은 것은? (단, α1과 α2는 30° 이하이고, 그림의 모든 축은 동일 평면 상에 있다.) 9 소선 지름 8mm인 코일스프링이 축방향 하중 100N을 받아 20mm의 처짐이 발생하였다. 코일스프링의 스프링지수가 4, 전단탄성계수가 8GPa일 때, 이 스프링의 유효감김수는? (단, 처짐은 코일의 비틀림모멘트에 의해서만 발생하는 것으로 가정한다) 10 피치면이 원추(cone) 형태이면서, 같은 평면 상의 평행하지 않은 두 축을 연결하기 위해 사용하는 기어는? 11 미끄럼베어링에 요구되는 재료 특성으로 옳지 않은 것은? 12 마찰이 없는 양단지지형 겹판스프링에 하중이 작용하여 최대 처짐 δmax가 발생하였다. 이 겹판스프링에서 판의 두께만 2배로 증가시킬 때 최대 처짐은?
App Store Google Play
오늘학습 예시 이미지

시험에 합격하려면
복습을 제대로 해야 합니다.

오늘학습은 스스로 기억을 떠올리고 계획적으로 복습할 수 있도록 설계돼 있어요.
그것도, 가장 과학적인 방식으로요!

능동적 회상

능동적 회상
(Active Recall)

배운 내용을 단순 읽으며 반복하는 것이 아니라,
능동적으로 기억하고 있는지를
스스로 테스트하며
공부할 수 있는
학습 환경을 제공해 학습 효과를 높여요

간격 반복 학습

간격 반복 학습
(Spaced Repetition)

에빙하우스 망각곡선을 바탕으로
가장 최적의 시점에 복습을 제공하여
배운 내용이 잊히지 않도록 장기 기억화해요

Data 기반의
뇌과학적 복습 시스템

학습 결과 Data를 분석해, 문제별 최적화된
반복 학습량을
자동으로 분배해요.
학습에 소요되는 시간을 최소화하는
동시에
단기 기억을 장기 기억으로 전환해줘요.

36만 개 이상의
기출문제 무료 제공

공무원 및 약 300여종의 자격증 시험 기출문제
36만개
이상을 무료로 이용할 수 있어요.
여러 앱을 설치할 필요
없이, 오늘학습 하나로
모든 시험을 준비할 수 있어요.

다양한 문제 유형으로 만드는
나만의 단어장&문제집

기출 외에도 외워야 하는 내용은
객관식, 주관식, 카드, 빈칸
등 다양한 형식으로
직접 만들어 보세요. 내 학습 스타일에
맞게
나만의 단어장과 문제집을 만들 수 있어요.

시험별 체계적인
문제 관리

시험에 문제를 추가해 체계적으로
관리할 수 있어요.
주제나 단원별로
분류하고 싶다면,
시험에 챕터를 만들어
문제를 추가할 수도 있어요.

수십만 명이
오늘학습을 사랑합니다

앱 스토어 평점 4.9
구글 플레이 평점 4.8
누적 회원수 100,000+
지금 오늘학습을
시작해보세요
지금 시작하기
문제 선택