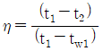
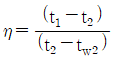
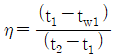
에어와셔 단열 가습시 포화효율(η)은 어떻게 표시하는가? (단, 입구공기의 건구온도 t1, 출구공기의 건구온도 t2, 입구공기의 습구온도 tw1, 출구공기의 습구온도 tw2 이다.)
지금 시작하기 →

・・・ 문제은행 공조냉동기계기사(2022년 1회) 13번

공조냉동기계기사 2022년 03월 13번

에어와셔 단열 가습시 포화효율(η)은 어떻게 표시하는가? (단, 입구공기의 건구온도 t1, 출구공기의 건구온도 t2, 입구공기의 습구온도 tw1, 출구공기의 습구온도 tw2 이다.)

1
2
3
4
단축키
이전 문제로 이동은 키를 누르고, 다음 문제로 이동은 키를 누르세요
이전 문제 , 다음 문제
문제(80)
13 에어와셔 단열 가습시 포화효율(η)은 어떻게 표시하는가? (단, 입구공기의 건구온도 t1, 출구공기의 건구온도 t2, 입구공기의 습구온도 tw1, 출구공기의 습구온도 tw2 이다.) 14 정방실에 35kW의 모터에 의해 구동되는 정방기가 12대 있을 때 전력에 의한 취득열량(kW)은 얼마인가? (단, 전동기와 이것에 의해 구동되는 기계가 같은 방에 있으며, 전동기의 가동율은 0.74 이고, 전동기 효율은 0.87, 전동기 부하율은 0.92 이다.) 15 보일러의 시운전 보고서에 관한 내용으로 가장 관련이 없는 것은? 16 다음 용어에 대한 설명으로 틀린 것은? 17 증기난방과 온수난방의 비교 설명으로 틀린 것은? 18 공기조화 시스템에 사용되는 댐퍼의 특성에 대한 설명으로 틀린 것은? 19 공기조화시 T.A.B 측정 절차 중 측정요건으로 틀린 것은? 20 강제순환식 온수난방에서 개방형 팽창탱크를 설치하려고 할 때, 적당한 온수의 온도는? 21 부피가 0.4m3인 밀폐된 용기에 압력 3MPa, 온도 100℃의 이상기체가 들어있다. 기체의 정압비열 5 kJ/kg·K, 정적비열 3 kJ/kg·K 일 때 기체의 질량(kg)은 얼마인가? 22 온도 100℃, 압력 200kPa의 이상기체 0.4kg이 가역단열과정으로 압력이 100kPa로 변화하였다면, 기체가 한 일(kJ)은 얼마인가? (단, 기체 비열비 1.4, 정적비열 0.7 kJ/kg·K 이다.) 23 70kPa에서 어떤 기체의 체적이 12m3이었다. 이 기체를 800kPa 까지 폴리트로픽 과정으로 압축했을 때 체적이 2m3으로 변화했다면, 이 기체의 폴리트로픽 지수는 약 얼마인가? 24 공기 정압비열(CP, kJ/kg·℃)이 다음과 같을 때 공기 5kg을 0℃에서 100℃까지 일정한 압력하에서 가열하는데 필요한 열량(kJ)은 약 얼마인가? (단, 다음 식에서 t는 섭씨온도를 나타낸다.)
25 흡수식 냉동기의 냉매의 순환 과정으로 옳은 것은? 26 이상기체 1kg이 초기에 압력 2kPa, 부피 0.1m3를 차지하고 있다. 가역등온과정에 따라 부피가 0.3m3로 변화했을 때 기체가 한 일(J)은 얼마인가? 27 증기터빈에서 질량유량이 1.5kg/s 이고, 열손실율이 8.5kW이다. 터빈으로 출입하는 수증기에 대하여 그림에 표시한 바와 같은 데이터가 주어진다면 터빈의 출력(kW)은 약 얼마인가? 28 냉동사이클에서 응축온도 47℃, 증발온도 –10℃이면 이론적인 최대 성적계수는 얼마인가? 29 압축기의 체적효율에 대한 설명으로 옳은 것은? 30 냉동장치에서 플래쉬 가스의 발생원인으로 틀린 것은? 31 프레온 냉동장치에서 가용전에 대한 설명으로 틀린 것은? 32 흡수식 냉동기에 사용되는 흡수제의 구비조건으로 틀린 것은? 33 클리어런스 포켓이 설치된 압축기에서 클리어런스가 커질 경우에 대한 설명으로 틀린 것은? 34 이상기체 1kg을 일정 체적 하에 20℃로부터 100℃로 가열하는데 836kJ의 열량이 소요되었다면 정압비열(kJ/kg·K)은 약 얼마인가? (단, 해당가스의 분자량은 2이다.) 35 20℃의 물로부터 0℃의 얼음을 매 시간당 90kg을 만드는 냉동기의 냉동능력(kW)은 얼마인가? (단, 물의 비열 4.2kJ/kg·K, 물의 응고 잠열 335kJ/kg이다.) 36 2차유체로 사용되는 브라인의 구비 조건으로 틀린 것은?
App Store Google Play
오늘학습 예시 이미지

시험에 합격하려면
복습을 제대로 해야 합니다.

오늘학습은 스스로 기억을 떠올리고 계획적으로 복습할 수 있도록 설계돼 있어요.
그것도, 가장 과학적인 방식으로요!

능동적 회상

능동적 회상
(Active Recall)

배운 내용을 단순 읽으며 반복하는 것이 아니라,
능동적으로 기억하고 있는지를
스스로 테스트하며
공부할 수 있는
학습 환경을 제공해 학습 효과를 높여요

간격 반복 학습

간격 반복 학습
(Spaced Repetition)

에빙하우스 망각곡선을 바탕으로
가장 최적의 시점에 복습을 제공하여
배운 내용이 잊히지 않도록 장기 기억화해요

Data 기반의
뇌과학적 복습 시스템

학습 결과 Data를 분석해, 문제별 최적화된
반복 학습량을
자동으로 분배해요.
학습에 소요되는 시간을 최소화하는
동시에
단기 기억을 장기 기억으로 전환해줘요.

36만 개 이상의
기출문제 무료 제공

공무원 및 약 300여종의 자격증 시험 기출문제
36만개
이상을 무료로 이용할 수 있어요.
여러 앱을 설치할 필요
없이, 오늘학습 하나로
모든 시험을 준비할 수 있어요.

다양한 문제 유형으로 만드는
나만의 단어장&문제집

기출 외에도 외워야 하는 내용은
객관식, 주관식, 카드, 빈칸
등 다양한 형식으로
직접 만들어 보세요. 내 학습 스타일에
맞게
나만의 단어장과 문제집을 만들 수 있어요.

시험별 체계적인
문제 관리

시험에 문제를 추가해 체계적으로
관리할 수 있어요.
주제나 단원별로
분류하고 싶다면,
시험에 챕터를 만들어
문제를 추가할 수도 있어요.

수십만 명이
오늘학습을 사랑합니다

앱 스토어 평점 4.9
구글 플레이 평점 4.8
누적 회원수 100,000+
지금 오늘학습을
시작해보세요
지금 시작하기
문제 선택