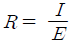
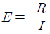
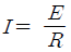
직류회로에서 전류를 I, 전압을 E, 저항을 R 이라 할 때 상호 관계식으로 알맞은 것은?
지금 시작하기 →

・・・ 문제은행 자기비파괴검사기사(구)(2012년 2회) 2번

자기비파괴검사기사(구) 2012년 08월 2번

직류회로에서 전류를 I, 전압을 E, 저항을 R 이라 할 때 상호 관계식으로 알맞은 것은?

1
2
3
4
I=ER2
단축키
이전 문제로 이동은 키를 누르고, 다음 문제로 이동은 키를 누르세요
이전 문제 , 다음 문제
문제(100)
13 할로겐누설시험에서 가열양극 할로겐법의 장점을 설명한 것으로 틀린 것은? 14 침투탐상검사의 적용에 관한 설명으로 옳은 것은? 15 와전류탐상시험으로 탐상하기 가장 어려운 것은? 16 자분탐상검사의 검사액(자분현탁액)에 물을 쓰는 주된 이유는? 17 결함의 생성 중에서 검출이 용이하지만 결함의 생성이 정지된 상태에서는 검출이 어려운 비파괴검사법은? 18 와전류탐상시험의 특징을 설명한 것 중 틀린 것은? 19 침투탐상검사에서 침투에 영향을 미치는 요인을 설명한 것 중 옳은 것은? 20 내압시험은 고압가스용기와 보일러 등의 내압용기가 사용 중의 압력에 잘 견디는지의 여부를 알기 위한 시험이다. 그렇다면 시험압력은 최고사용압력(설계압력)의 몇 배까지 가압하여야 하는가? 21 자분탐상검사에서 축통전법(direct contract technique)을 적용하는 경우 시험면에서의 자계의 세기(H)를 구하는 공식으로 다음 중 맞는 것은? (단, 시험편의 반지름을 r(m), 자화전류의 세기를 I(A), 시험체의 전기저항을 R(Ω) 이라고 한다.) 22 형광 습식자분탐상 검사액의 성능 점검 항목으로 가장 거리가 먼 것은? 23 다음 중 홀효과(Hall effect)의 설명으로 틀린 것은? 24 자분탐상검사 후 시험체를 탈자해야 하는 경우 전류를 조금씩 감쇠시키는 이유로 가장 적합한 것은?
37 형광자분탐상시험시 사용되는 자외선등의 가장 이상적인 파장은? 38 습식자분에 사용되는 강자성체 분말의 크기로 적합한 것은? 39 비형광 자분탐상검사 결과, 검출된 자분모양에서 반사되는 빛의 반사량은 입사광량의 어느 정도가 되는 가? 40 자분탐상시험에서 자화 전류와 자분의 종류에 따라 분류한 시험방법 중 깊은 결함에 대하여 감도가 좋은 순서대로 나열된 것은? 41 보일러 및 압력용기에 대한 자분탐상검사(ASME Sec.V. Art.7)에서의 프로드(Prod)법에 대한 설명으로 틀린 것은? 42 철강 재료의 자분탐상 시험방법 및 자분모양의 분류(KS D 0213)에 따라 자화전류를 선택할 때 고려해야 하는 항목으로 옳은 것은? 43 보일러 및 압력용기에 대한 표준자분탐상검사(ASME Sec.V. Art.25 SE-709)에서 비형광자분 검사 액의 조정수(conditioned water)의 알칼리성은 pH 측정기로 측정하였을 때 어느 범위(pH) 이어야 하는가? 44 보일러 및 압력용기에 대한 표준자분탐상검사(ASME Sec.V. Art.25 SE-709)에서 규정한 전류계의 정밀도에 대한 최대 교정주기로 옳은 것은? 45 보일러 및 압력용기에 대한 자분탐상검사의 합격기준(ASME Sec.Ⅷ Div.1, App.6)에 따라 검출된 관련자분모양이 길이 9mm, 폭 3mm 일 때 자분모양의 평가는? 46 보일러 및 압력용기에 대한 자분탐상검사(ASME Sec.V. Art.7)에 따른 자화 장치의 교정주기와 장치 계기의 허용 오차 범위를 옳게 나타낸 것은? 47 다음 중 탈자 후 재시험하면 없어지는 유사지시는? 48 보일러 및 압력용기에 대한 표준자분탐상검사(ASME Sec.V. Art.25 SE-709)의 검사장비 점검 권고 기간을 나타낸 것으로 틀린 것은?
49 철강 재료의 자분탐상 시험방법 및 자분모양의 분류(KS D 0213)에 따라 자화를 시킬 때 고려할 사항중 잘못된 것은? 50 철강 재료의 자분탐상 시험방법 및 자분모양의 분류(KS D 0213)의 장치 기록 사항이다. ( ) 안에 올바른 것은 어느 것인가? 51 철강 재료의 자분탐상 시험방법 및 자분모양의 분류(KS D 0213)의 B형 대비시험편에 대한 설명으로 옳은 것은? 52 보일러 및 압력용기에 대한 자분탐상검사(ASME Sec. V. Art 7)에 의거 그림과 같은 환봉을 코일법으로 검사하고자 할 때 필요한 자회전류[A]는? (단, 권선수는 4회로 한다.) 53 철강 재료의 자분탐상 시험방법 및 자분모양의 분류(KS D 0213)에 따른 동일 직선상에 길이 10mm, 나비 2mm인 지시(A)와 길이 8mm, 나비 3mm인 지시 (B)가 3mm 간격으로 검출되었을 때 설명으로 옳은 것은? 54 보일러 및 압력용기에 대한 표준자분탐상검사(ASME Sec.V. Art.25 SE-709)에서 전파직류(FWDC)를 사용한 전류관통법으로 외격 2인치의 속이 빈 관을 자화하기 위해 필요한 자화전류 범위로 옳은 것은? 55 철강 재료의 자분탐상 시험방법 및 자분모양의 분류(KS D 0213)에서 검사액 속의 자분 분산 농도에 대한 설명으로 틀린 것은? 56 보일러 및 압력용기에 대한 자분탐상검사의 합격기준(ASME Sec.Ⅷ Div.1 App.6)에 따라 지시를 평가할 경우 의심스러운 지시에 대한 올바른 조치는? 57 보일러 및 압력용기에 대한 자분탐상검사(ASME Sec.V. Art.7)에 따라 검사 절차서를 작성할 때 다음중 필수 변수에 포함하지 않아도 되는 것은? 58 보일러 및 압력용기에 대한 자분탐상검사의 합격기준(ASME Sec.Ⅷ Div.1 App.6)에 의해 크기가 2mm 인 원형지시 4개가 일렬로 배열되어 검출되었을 때 불합격으로 판정할 수 있는 최대 결함사이 간격의 합은? 59 철강 재료의 자분탐상 시험방법 및 자분모양의 분류(KS D 0213)에서 시험체의 재질, 표면 상황 및 홈의 성질에 따른 자분의 적당한 조건은? 60 철강 재료의 자분탐상 시험방법 및 자분모양의 분류(KS D 0213)에 따라 자회전류로 직류를 사용했을 때 자분모양이 표면의 홈 또는 표면근처 내부 홈에 의한 것인지를 구별하기 위한 조치로 올바른 것은?
App Store Google Play
오늘학습 예시 이미지

시험에 합격하려면
복습을 제대로 해야 합니다.

오늘학습은 스스로 기억을 떠올리고 계획적으로 복습할 수 있도록 설계돼 있어요.
그것도, 가장 과학적인 방식으로요!

능동적 회상

능동적 회상
(Active Recall)

배운 내용을 단순 읽으며 반복하는 것이 아니라,
능동적으로 기억하고 있는지를
스스로 테스트하며
공부할 수 있는
학습 환경을 제공해 학습 효과를 높여요

간격 반복 학습

간격 반복 학습
(Spaced Repetition)

에빙하우스 망각곡선을 바탕으로
가장 최적의 시점에 복습을 제공하여
배운 내용이 잊히지 않도록 장기 기억화해요

Data 기반의
뇌과학적 복습 시스템

학습 결과 Data를 분석해, 문제별 최적화된
반복 학습량을
자동으로 분배해요.
학습에 소요되는 시간을 최소화하는
동시에
단기 기억을 장기 기억으로 전환해줘요.

36만 개 이상의
기출문제 무료 제공

공무원 및 약 300여종의 자격증 시험 기출문제
36만개
이상을 무료로 이용할 수 있어요.
여러 앱을 설치할 필요
없이, 오늘학습 하나로
모든 시험을 준비할 수 있어요.

다양한 문제 유형으로 만드는
나만의 단어장&문제집

기출 외에도 외워야 하는 내용은
객관식, 주관식, 카드, 빈칸
등 다양한 형식으로
직접 만들어 보세요. 내 학습 스타일에
맞게
나만의 단어장과 문제집을 만들 수 있어요.

시험별 체계적인
문제 관리

시험에 문제를 추가해 체계적으로
관리할 수 있어요.
주제나 단원별로
분류하고 싶다면,
시험에 챕터를 만들어
문제를 추가할 수도 있어요.

수십만 명이
오늘학습을 사랑합니다

앱 스토어 평점 4.9
구글 플레이 평점 4.8
누적 회원수 100,000+
지금 오늘학습을
시작해보세요
지금 시작하기
문제 선택