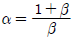
트랜지스터의 전류증폭률 α와 β의 관계는?
지금 시작하기 →

・・・ 문제은행 전자기기기능사(2012년 2회) 2번

전자기기기능사 2012년 04월 2번

트랜지스터의 전류증폭률 α와 β의 관계는?

1
2
3
4
단축키
이전 문제로 이동은 키를 누르고, 다음 문제로 이동은 키를 누르세요
이전 문제 , 다음 문제
문제(60)
25 컴퓨터가 직접 인식하여 실행할 수 있는 언어로서, 2진수 “0” 과 “1” 만을 이용하여 명령어와 데이터를 나타내는 언어는? 26 다음 중 “0”에서부터 “9”까지의 10진수를 4비트의 2진수로 표현하는 코드는? 27 속도가 빠른 중앙처리장치와 속도가 느린 주기억장치 사이에 위치하며 두 장치간의 속도 차를 줄여 컴퓨터의 전체적인 동작 속도를 빠르게 하는 기억장치는? 28 각 세그먼트를 하나의 프로그램이 되도록 연결하고, 어셈블러가 번역한 목적프로그램을 실행 모듈로 바꾸어 주는 프로그램은? 29 내부저항이 20[kΩ]인 전압계의 측정 범위를 크게 하려고 80[kΩ]의 배율기를 직렬로 연결했을 때, 전압계의 지시값이 50[V]였다면 측정 전압은? 30 적산전력계의 알루미늄 원판에 유기되는 전류는? 31 일반적으로 1[Ω]이하 10-5[Ω]정도의 저저항 정밀측정에 사용되는 브리지는? 32 표준신호발생기의 필요조건으로 옳지 않은 것은? 33 오실로스코프에서 휘도(intensity)를 조정하는 것은? 34 자동평형식 기록계기의 구성요소가 아닌 것은? 35 유도형 계기의 특징에 대한 설명 중 옳지 않은 것은? 36 저주파 증폭기의 출력 측에서 기본파의 전압이 50[V], 제2고조파의 전압이 4[V], 제3고조파의 전압이 3[V]임을 측정으로 알았다면, 이 때 일그러짐율[%]은?
App Store Google Play
오늘학습 예시 이미지

시험에 합격하려면
복습을 제대로 해야 합니다.

오늘학습은 스스로 기억을 떠올리고 계획적으로 복습할 수 있도록 설계돼 있어요.
그것도, 가장 과학적인 방식으로요!

능동적 회상

능동적 회상
(Active Recall)

배운 내용을 단순 읽으며 반복하는 것이 아니라,
능동적으로 기억하고 있는지를
스스로 테스트하며
공부할 수 있는
학습 환경을 제공해 학습 효과를 높여요

간격 반복 학습

간격 반복 학습
(Spaced Repetition)

에빙하우스 망각곡선을 바탕으로
가장 최적의 시점에 복습을 제공하여
배운 내용이 잊히지 않도록 장기 기억화해요

Data 기반의
뇌과학적 복습 시스템

학습 결과 Data를 분석해, 문제별 최적화된
반복 학습량을
자동으로 분배해요.
학습에 소요되는 시간을 최소화하는
동시에
단기 기억을 장기 기억으로 전환해줘요.

36만 개 이상의
기출문제 무료 제공

공무원 및 약 300여종의 자격증 시험 기출문제
36만개
이상을 무료로 이용할 수 있어요.
여러 앱을 설치할 필요
없이, 오늘학습 하나로
모든 시험을 준비할 수 있어요.

다양한 문제 유형으로 만드는
나만의 단어장&문제집

기출 외에도 외워야 하는 내용은
객관식, 주관식, 카드, 빈칸
등 다양한 형식으로
직접 만들어 보세요. 내 학습 스타일에
맞게
나만의 단어장과 문제집을 만들 수 있어요.

시험별 체계적인
문제 관리

시험에 문제를 추가해 체계적으로
관리할 수 있어요.
주제나 단원별로
분류하고 싶다면,
시험에 챕터를 만들어
문제를 추가할 수도 있어요.

수십만 명이
오늘학습을 사랑합니다

앱 스토어 평점 4.9
구글 플레이 평점 4.8
누적 회원수 100,000+
지금 오늘학습을
시작해보세요
지금 시작하기
문제 선택