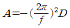
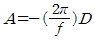
발파에 의해 발생한 지반진동을 단순조화진동(정현진동)으로 모사한다면, 지반진동을 표시하는 가속도(A)와 변위(D=D0sinωt)의 관계는? (단, D0: 변위진폭, ω: 각속도, t: 시간, f: 주파수이다.)
지금 시작하기 →

・・・ 문제은행 화약류관리기사(2020년 1회) 29번

화약류관리기사 2020년 06월 29번

발파에 의해 발생한 지반진동을 단순조화진동(정현진동)으로 모사한다면, 지반진동을 표시하는 가속도(A)와 변위(D=D0sinωt)의 관계는? (단, D0: 변위진폭, ω: 각속도, t: 시간, f: 주파수이다.)

1
2
3
A=-(2πf)D
4
A=-(2πf)2D
단축키
이전 문제로 이동은 키를 누르고, 다음 문제로 이동은 키를 누르세요
이전 문제 , 다음 문제
문제(100)
25 일반 계단식 발파에서 Langefors식을 이용하여 발파공 하부의 최대저항선을 산출할 때 고려해야 할 변수로 거리가 먼 것은? 26 다음은 심빼기 발파 중 평행천공의 한 방법을 나타낸 그림이다. 그림이 도시하고 있는 발파법은? 27 발파계수에 관계되는 설명 중 틀린 것은?F 28 비산에 대한 설명 중 틀린 것은? 29 발파에 의해 발생한 지반진동을 단순조화진동(정현진동)으로 모사한다면, 지반진동을 표시하는 가속도(A)와 변위(D=D0sinωt)의 관계는? (단, D0: 변위진폭, ω: 각속도, t: 시간, f: 주파수이다.) 30 누두지수의 함수 중 Brallion의 제안식으로 옳은 것은? 31 벤치발파 시 파쇄입도는 암반이 균일할수록 보다 쉽게 필요로 하는 입도를 얻을 수 있다. 다음 중 큰 파쇄입도를 얻기 위한 방법으로 가장 적당한 것은? 32 천공간격(S)이 6m, 벤치높이(H)가 10m로 MS 발파를 할 때 저항선(B)은 얼마인가? 33 발파공의 지름이 Amm, 폭약의 지름이 Bmm일 때 Decoupling 지수가 가장 큰 경우는? 34 발파현장 인근에 보안물건으로 인하여 분산장약(Deck charge)을 적용하고자 한다. 발파공내가 건조한 경우와 습윤된 경우의 삽입 전색장은 각각 얼마인가? (단, 발파공의 직경은 75mm이다.) 35 발파 폭풍압의 구성요인 중 RPP(Rock Pressure Pulse)란 무엇인가? 36 조절발파방법으로서 굴착 예정면의 발파공들을 본 발파에 앞서 발파하는 방법은?
37 폭속은 화약의 위력을 나타내는 일반적인 인자로서 사용 및 저장조건에 따라 달라진다. 폭속을 지배하는 요인 중 관계가 없는 것은? 38 구조물해체에 대한 주요 공정을 올바르게 나열한 것은? 39 발파해체 공법의 특성에 대한 설명으로 틀린 것은? 40 누두지수(n)=1.3일 때 Marescott 공식에 의해 누두지수의 함수 f(n) 값을 구하면 얼마인가? 41 암반의 변형개수를 측정하기 위한 시험이 아닌 것은? 42 암반의 변형특성에 대한 설명으로 틀린 것은? 43 지름이 3cm, 길이가 6cm인 원주형 암석 시편에 5kN의 인장하중을 가한 결과 시편의 길이가 0.01mm 늘어났다면, 이때의 응력(σt)과 영률(E)은? 44 시험법과 내용이 올바르게 짝지어진 것은? 45 평판 상부면과 45° 기울어진 평판 내 경사면에 발생하는 수직응력(σ)과 전단응력(τ)의 값은? (단, 평면응력 상태에서 σy=100MPa, σx=50MPa이다.) (문제 복원 오류로 보기 내용이 정확하지 않습니다. 정확한 내용을 아시는 분께서는 오류신고 또는 게시판에 작성 부탁드립니다.) 46 사면에서의 암반분류법으로 사용되는 SMR(Slop Mass Rating)법에서 고려되는 요소가 아닌 것은? 47 암반분류 방법인 RMR 분류법에 대한 설명으로 틀린 것은? 48 응력-변형률의 관계는 등반탄성체에서 평면응력의 경우 σ=[D]ε과 같은 행렬식으로 간단히 표현할 수 있다. 이때의 행렬식이 다음식과 같다면 (A)에 알맞은 것은? (단, E: 영률, v: 푸아송 비이다.)
49 암석의 물리적 성질에 대한 설명으로 틀린 것은? 50 지름 50mm, 길이 30mm의 압열인장시험편(Brazilian Disk)에 대한 간접인장강도 시험 결과 파괴하중이 5kN이었다면, 이 암석의 압열인장강도는? 51 일정수직하중 조건의 절리면 직접전단시험에서 얻어진 전단변위에 대한 수직변위 곡선의 기울기각을 무엇이라 하는가? 52 터널의 분류 중 시공 방법에 따른 분류에 속하지 않는 것은? 53 일정수직하중 조건 하에서 톱으로 자른 매끄러운 절리면에 대해 직접전단시험을 실시하는 경우 발생할 수 잇는 거동으로 옳은 것은? 54 일축압축강도가 100MPa인 암석에 대해 봉압이 3MPa인 삼축압축시험에서 얻어진 파괴 강도는 110MPa이었다면, 무결암(Intacrock)에 대한 Hoek-Brown 상수 m의 값은 얼마인가? 55 Londe는 사면의 안정성을 정의할 때 고려되는 변수들에 대해 서로 다른 안전율을 제시하였는데, 다음 중 가장 낮은 안전율이 적용되는 변수는? 56 암석시험 조건이 암석의 압축강도에 미치는 일반적인 영향으로 옳은 것은? 57 스프링(spring)과 대시포트(dashpot)를 직렬로 연결한 역학적 모형으로 표시할 수 있는 복합체는? 58 초기지압 측정법 중 응력개방법에 해당되는 것은? 59 다음 중 tension cut-off로서 가장 적당한 것은? 60 종파속도(Vv)와 횡파속도(Vs)를 이용한 암석의 동적 물성 산정식 중 올바른 것은? (단, Ed: 영률, v: 푸아송 비, ρ: 암반의 밀도)
85 암반의 초기응력을 구하기 위한 방법 중 일축압축시험에서 얻어진 응력-변형률 곡선의 기울기의 변화로부터 초기응력을 산정하는 방법은? 86 터널 굴착 중 일상적으로 시행되어야 하는 시공중 조사는? 87 지하에 침투유가 존재하지 않고 점차력이 없는 암반사면의 경사각이 α, 마찰각이 ø일 때 다음 중 가장 안전한 사면은? 88 사면보강공법 중 록앵커(rock anchor) 공법에 대한 설명으로 틀린 것은? 89 지반조건에 따라 일상계측에 추가하여 선정하는 정밀계측에 해당하는 것은? 90 터널공사에서 터널의 안정성을 확보하기 위해 사용하는 보조공법 중 막장의 천반을 안정화시키기 위한 보조공법이 아닌 것은? 91 터널 내 환기에 있어서 압력손실에 대한 설명으로 옳은 것은? 92 NATM 공법의 기본원이로서 옳은 것은? 93 암석의 밀도가 2500kg/m3이고 중력가속도가 10m/s2일 때, 지표면으로부터 깊이 500m인 지점에서의 수직응력의 크기는? 94 그림과 같이 반무한 탄성암체 표면의 한 점인 P점에 2000kN의 집중하중이 연직방향으로 작용할 경우 P점의 연직방향과 30°, 직선거리 20m되는 지점 A의 수직응력(σZ)은? 95 튼튼한 강재의 통을 지반 중에 밀어넣고 진행시켜 그 선단부 지반의 붕괴를 막으면서 굴착하고 후방부에 복공을 구축하는 공법은? 96 흙의 통일분류법에서 실트질 모래를 나타내는 기호는?
App Store Google Play
오늘학습 예시 이미지

시험에 합격하려면
복습을 제대로 해야 합니다.

오늘학습은 스스로 기억을 떠올리고 계획적으로 복습할 수 있도록 설계돼 있어요.
그것도, 가장 과학적인 방식으로요!

능동적 회상

능동적 회상
(Active Recall)

배운 내용을 단순 읽으며 반복하는 것이 아니라,
능동적으로 기억하고 있는지를
스스로 테스트하며
공부할 수 있는
학습 환경을 제공해 학습 효과를 높여요

간격 반복 학습

간격 반복 학습
(Spaced Repetition)

에빙하우스 망각곡선을 바탕으로
가장 최적의 시점에 복습을 제공하여
배운 내용이 잊히지 않도록 장기 기억화해요

Data 기반의
뇌과학적 복습 시스템

학습 결과 Data를 분석해, 문제별 최적화된
반복 학습량을
자동으로 분배해요.
학습에 소요되는 시간을 최소화하는
동시에
단기 기억을 장기 기억으로 전환해줘요.

36만 개 이상의
기출문제 무료 제공

공무원 및 약 300여종의 자격증 시험 기출문제
36만개
이상을 무료로 이용할 수 있어요.
여러 앱을 설치할 필요
없이, 오늘학습 하나로
모든 시험을 준비할 수 있어요.

다양한 문제 유형으로 만드는
나만의 단어장&문제집

기출 외에도 외워야 하는 내용은
객관식, 주관식, 카드, 빈칸
등 다양한 형식으로
직접 만들어 보세요. 내 학습 스타일에
맞게
나만의 단어장과 문제집을 만들 수 있어요.

시험별 체계적인
문제 관리

시험에 문제를 추가해 체계적으로
관리할 수 있어요.
주제나 단원별로
분류하고 싶다면,
시험에 챕터를 만들어
문제를 추가할 수도 있어요.

수십만 명이
오늘학습을 사랑합니다

앱 스토어 평점 4.9
구글 플레이 평점 4.8
누적 회원수 100,000+
지금 오늘학습을
시작해보세요
지금 시작하기
문제 선택