탄성체가 z방향으로 구속된 평면변형률 상태에서 x,y방향의 응력이 σx, σy이며, 푸아송 비가 v일 때 z방향의 응력 σz는?
지금 시작하기 →

・・・ 문제은행 화약류관리기사(2021년 1회) 46번

화약류관리기사 2021년 03월 46번

탄성체가 z방향으로 구속된 평면변형률 상태에서 x,y방향의 응력이 σx, σy이며, 푸아송 비가 v일 때 z방향의 응력 σz는?

1
σz=(1-v)(σxy)
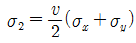
2
σz=(1+v)(σxy)
3
σz=v(σxy)
4
단축키
이전 문제로 이동은 키를 누르고, 다음 문제로 이동은 키를 누르세요
이전 문제 , 다음 문제
문제(100)
25 발파로 인해 발생한 전단파가 토양층을 통과한다. 공명주파수가 가장 크게 측정되는 토양층 두께는? (단, 통과하는 전단파의 속도는 동일하다.) 26 비산의 방지대책으로 틀린 것은? 27 Trim blasting을 실시하려고 한다. 장약공의 지름이 50mm일 때, 발파설계 내용으로 틀린 것은? 28 직교하는 2자유면의 암석발파에서 최소 저항선은 120cm이며 공간격도 최소저항선과 동이하다. 이때 천공깊이를 150cm 수직 천공하여 발파할 경우 공당 채석량은? (단, 암석 비중은 1.9이다.) 29 Lilly의 발파지수(Bl, Blastability Index)를 나타내는 식이 아래와 같을 때 이 식에서 JPO가 의미하는 것은? 30 2자유면 이상의 발파에 있어서 최소저항선이 130cm이고, 장약의 길이는 공경의 10배일 때 천공심도는? (단, 구멍의 반지름은 15mm이다.) 31 제안자에 따른 수두지수 함수의 연결로 틀린 것은? 32 갱도굴착 단면적이 20m2이고, 천공장이 1.7m, 암석항력계수가 1인 암석갱도를 굴질하려고 한다. 1발파당 굴진장을 천공장의 90%로 보았을 때 발파당 폭약량은 약 얼마인가? (단, 폭약 위력계수 e=1, 전색계수 d=1이다.) 33 아래와 같은 조건에서 발파를 실시할 때 적용되는 생활진동 규제기준은? 34 발파에 의한 가옥의 피해 손상정도를 판단하는 기준으로 가옥에 미세한 크랙(crack)이 발생하고, 벽토의 붕락이 일어나는 V/C 값으로 가장 적합한 것은? (단, V/C는 Langefors가 제안한 기초지반에서의 탄성파 속도 C(km/s)에 대한 지반진동속도 V(cm/s)의 비이다.) 35 수직천공과 비교한 경사천공의 장점으로 틀린 것은? 36 계단식 발파에서 작은 파쇄입도를 얻기 위한 방법으로 옳은 것은?
49 점하증강도 시험에서 축방향시험 시 점하중강도지수(IS)를 구하는 식은? (단, 하중, W는 시험편의 지름, D는 시험편의 두 접촉점 사이의 거리이다.) 50 암반사면에서 평면파괴가 일어나기 위해 만족되어야 하는 기하학적인 조건으로 틀린 것은? 51 삼축압축시험에서 봉압이 증가할 때 일어나는 현상은? 52 지반을 개개의 강성 블록으로 모델링하고 불연속면에서의 변위가 블록 자체의 변형보다 대단히 큰 경우 효과적으로 적용할 수 있는 수치해석법은? 53 2차원 상태의 미소평면에 σx=2MPa, σy=40MPa, τxy=5MPa의 응력이 작용하고 있을 때 2차원 Mohr 응원력의 반지름은? 54 Griffith 파괴이론에 의하면 일축압축강도는 인장강도의 몇 배인가? 55 암석의 인장강도를 구하고자 압열인장 강도시험(Brazilian test)을 실시하여 아래와 같은 결과를 얻었다면 이 암석의 인장강도는? 56 절리면 전단시험 시 시험편의 전단거동특성에 대한 설명으로 틀린 것은? 57 평사투영법(stereographic projection)에 의해 불연속면들의 극정(pole)을 분석한 결과, 극점이 사면방향과 같은 방향으로 두 곳에 집중되었다. 이 지역에서 예상되는 사면파괴의 형태는? 58 건조된 어떤 암석 시료의 겉보기 밀도는 2.6g/cm3이고, 이 시료를 이루는 입자들의 밀도는 3.4g/cm3이다. 이 시료의 공극률은? 59 암석에 있어서 크리프 현상에 대한 설명으로 틀린 것은? 60 지하공동의 폭이 20m, ESR이 1인 경우 등가 굴착크기(Equivalent dimension)는?
61 허가를 받지 아니하고 제조할 수 있는 화학류의 수량으로 옳은 것은? (단, 학교ㆍ연구소등 공인된 기관에서 물리ㆍ화학상의 실험목적으로 사용하기 위한 것이며, 신호염관ㆍ신호화전 또는 꽃불류의 원료용 화약 및 폭약을 제조하는 경우) 62 대발파의 기술상의 기준으로 옳지 않은 것은? 63 화약류를 양도 또는 양수하고자 하는 사람은 누구의 허가를 받아야 하는가? (단, 예외사항 제외) 64 화약류와 관련한 장부의 비치 등에 대한 설명으로 옳은 것은? 65 화약류관리보안책임자의 면허를 받을 수 있는 사람은? 66 다음 ( )안에 들어갈 수치를 차례대로 옳게 나타낸 것은? 67 1급저장소와 보안물건 간의 보안거리의 기준으로 옳은 것은? (단, 저장된 폭약량은 20톤이며, 철도가 있음) 68 총포ㆍ도검ㆍ화약류 등의 안전관리에 관한 법령상 다음 ( )안에 알맞은 내용은? 69 화약류관리보안책임자의 선임기준으로 옳지 않은 것은? 70 화약류를 운반하는 사람은 운반과정에 화약류운반신고증명서를 지니고 있어야 한다. 이를 위반할 때 받는 처벌은? 71 다음의 화약류 중 제조, 수출ㆍ입에 관하여는 총포ㆍ도검ㆍ화약류 등의 안전관리에 관한 법률의 적용을 받지만 판매, 소지에 관하여는 적용받지 않는 품목은? 72 폭약과 비슷한 파괴적 폭발에 사용될 수 있는 것으로서 대통령령이 정하는 것에 속하는 것은?
85 터널시공을 위한 지반조사를 실시하였을 때 터널시공에 문제가 되는 지반조건으로 가장 거리가 먼 것은? 86 터널계측은 일상적인 시공관리를 위한 일상계측(계측 A)과 정밀 분석을 위한 정밀계측(계측 B)으로 분류한다. 다음 중 일상계측에 해당하지 않는 것은? 87 숏크리트의 건ㆍ습식 공법에 대한 설명으로 틀린 것은? 88 사면안전공법 중 억지공법이 아닌 것은? 89 숏크리트의 작용 효과에 해당하지 않는 것은? 90 두께 4m의 포화 점토층이 지표로부터 8m깊이의 모래층 아래에 있으며, 지하수위는 지표면 아래 6m 깊이에 있다. 점토와 모래의 포화단위중량은 각각 19kN/m3, 20kN/m3이고, 지하수위 위에 있는 모래의 단위중량은 17kN/m3이다. 지표면 아래 12m 지점에서의 유효연직응력은? (단, 물의 단위중량은 9.8kN/m3이다.) 91 그림과 같이 암반사면 위에 무게 50kN의 암석 블록이 놓여 있다. 블록의 밑면적이 500cm2, 암반 사면의 경사각 30°, 미끄러짐면의 점착력이 200kN/m2, 마찰각 30°일 때 미끄러짐에 대한 안전율은? 92 화성암을 분류할 때 염기성암에 해당하는 것은? 93 록볼트의 지보효과가 아닌 것은? 94 Terzaghi의 암반 하중분류법에서 암반하중이 가장 크게 작용하는 암반상태로 옳은 것은? 95 에너지를 지하공동 내에 저장하는 경우, 활용이 기대되는 지하공간 특성으로 가장 거리가 먼 것은? 96 평탄한 탄성지반의 지표면에 집중하중 200kN이 작용할 경우, 여기서 지표면상에 가로 3m, 세로 4m 떨어진 A지점이 있다. A지점의 지표면 아래 10m 지점에서 이 집중하중에 의해서 발생되는 연직응력의 증가량은?
App Store Google Play
오늘학습 예시 이미지

시험에 합격하려면
복습을 제대로 해야 합니다.

오늘학습은 스스로 기억을 떠올리고 계획적으로 복습할 수 있도록 설계돼 있어요.
그것도, 가장 과학적인 방식으로요!

능동적 회상

능동적 회상
(Active Recall)

배운 내용을 단순 읽으며 반복하는 것이 아니라,
능동적으로 기억하고 있는지를
스스로 테스트하며
공부할 수 있는
학습 환경을 제공해 학습 효과를 높여요

간격 반복 학습

간격 반복 학습
(Spaced Repetition)

에빙하우스 망각곡선을 바탕으로
가장 최적의 시점에 복습을 제공하여
배운 내용이 잊히지 않도록 장기 기억화해요

Data 기반의
뇌과학적 복습 시스템

학습 결과 Data를 분석해, 문제별 최적화된
반복 학습량을
자동으로 분배해요.
학습에 소요되는 시간을 최소화하는
동시에
단기 기억을 장기 기억으로 전환해줘요.

36만 개 이상의
기출문제 무료 제공

공무원 및 약 300여종의 자격증 시험 기출문제
36만개
이상을 무료로 이용할 수 있어요.
여러 앱을 설치할 필요
없이, 오늘학습 하나로
모든 시험을 준비할 수 있어요.

다양한 문제 유형으로 만드는
나만의 단어장&문제집

기출 외에도 외워야 하는 내용은
객관식, 주관식, 카드, 빈칸
등 다양한 형식으로
직접 만들어 보세요. 내 학습 스타일에
맞게
나만의 단어장과 문제집을 만들 수 있어요.

시험별 체계적인
문제 관리

시험에 문제를 추가해 체계적으로
관리할 수 있어요.
주제나 단원별로
분류하고 싶다면,
시험에 챕터를 만들어
문제를 추가할 수도 있어요.

수십만 명이
오늘학습을 사랑합니다

앱 스토어 평점 4.9
구글 플레이 평점 4.8
누적 회원수 100,000+
지금 오늘학습을
시작해보세요
지금 시작하기
문제 선택