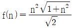
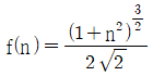
누두지수의 함수 중 Brallion의 제안식으로 옳은 것은?
지금 시작하기 →

・・・ 문제은행 화약류관리기사(2020년 2회) 21번

화약류관리기사 2020년 09월 21번

누두지수의 함수 중 Brallion의 제안식으로 옳은 것은?

1
2
3
4
단축키
이전 문제로 이동은 키를 누르고, 다음 문제로 이동은 키를 누르세요
이전 문제 , 다음 문제
문제(100)
25 아래와 같은 조건으로 시험발파를 하려고 할 때 표준장약량은? (단, Lares의 공식을 이용한다.) 26 전기발파 시 뇌관의 병렬 결선법에 대한 설명으로 틀린 것은? 27 다단식 발파기를 사용하여 기폭을 실시하려고 한다. 다음 설명 중 틀린 것은? 28 동절기에 사용하기 용이한 내한성 폭약에서 다른 폭약에 비해 함유량이 높은 물질은? 29 다음은 MS 지발 전기뇌관의 시차를 나타낸 것이다. 이들을 각각 발파에 사용한 결과 암석을 가장 작게 파쇄 시키는 것은? 30 수중발파의 장약방법이 아닌 것은? 31 발파진동 측정방법 중 배경진동 보정에 대한 설명으로 틀린 것은? (단, 소음·진동 공정시험기준에 의한다.) 32 백브레이크(Back break)와 오버행(Over hang)에 대한 설명으로 틀린 것은? 33 공경(d)이 25mm인 발파공 2개를 7.5cm의 간격으로 조합(집중)발파 하였을 때 저항선의 비(q)는 얼마인가? (단, 장약장(m) = 2d)(문제 오류로 가답안 발표시 2번으로 발표되었지만 확정답안 발표시 모두 정답처리 되었습니다. 여기서는 가답안인 2번을 누르면 정답 처리 됩니다.) 34 터널발파의 특징에 관한 설명으로 틀린 것은? 35 계단식 노철발파 시 비산의 발생을 적게 하기 위하여 고려해야 할 사항이 아닌 것은? 36 발파작업표준안전작업지침(고용노동부고시 제2020-6호)에 의하면 주택·아파트와 상가(금이 없는 상태)에 대한 각각의 건물 기초에서의 허용 진동치(cm/s)는?
37 수중천공발파 설계 중 옳지 않은 것은? 38 계단식 발파에서 수직천공과 비교하여 경사천공에 대한 설명으로 옳은 것은? 39 암반의 지질학적 특성을 고려하여 비장약량을 선정하여 발파패턴을 설계하는데 이용되는 Lilly의 발파지수(BI)와 관계된 요소가 아닌 것은? 40 암반 발파현장에서 지발당 장약량 0.25kg을 사용하여 시험발파를 실시하여 폭원으로부터 10m 거리에서15mm/s, 50m 거리에서 1mm/s 의 지반진동속도가 계측 되었을 때 자숭근 환산거리에 의한 발파진동식으로 옳은 것은? (단, 신뢰도 50% 추정식 도출) 41 정수압 P가 작용하는 암반 내에 원형공동을 굴착하였을 때 공동벽면에 집중되는 접선방향응력(σθ)의 크기는? (단, 암반은 균질, 등방성이며 탄성적이다.) 42 단면적 A, 길이 L인 원주형 시험편으로 일축압축시험을 하였더니 파괴하중이 10P였다. 동일한 시험편으로 직접인장시험을 하였더니 파괴하중이 P/2였다면 이 시험편의 취성도는? 43 암석의 탄성파속도에 대한 설명으로 틀린 것은? 44 평면응력(Plane Stress)상태의 탄성요소에 σx, σy, τxy의 세 응력이 작용할 때 응력과 변형률의 관계식으로 틀린 것은? 45 직접전단시험을 통해 구할 수 있는 절리면의 특성이 아닌 것은? 46 정수압 상태의 응력을 받고 있는 어느 암석의 영률이 2.0×105 MPa이고, 푸아송 수가 4이면 이 암석의 체적탄성계수(bulk modulus)는? 47 총 130cm의 시추코어에 대한 RQD가 60%였다. 시추코어 중 길이가 10cm 이상인 코어들의 길이의 합은? 48 심도 1000m에서 갱도를 굴착하려 한다. 상부층의 암석 밀도가 평균 2.5 t/m3이고 이 암반의 푸아송 비가 0.2이면 이론 수평응력은 얼마인가?
49 일정수직하중 조건하에서 실시된 직접전단시험에 의한 거친 절리면의 거동 특성으로 틀린 것은? 50 록볼트의 암반에 대한 정착효과를 확인하기 위한 시험법은? 51 일축압축시험에서 지름(D)이 2.5cm, 길이(H)가 5cm인 원주형 시험편의 강도가 90MPa 이었다면 이 시험편이 H/D=1 일 때의 일축압축강도는 얼마인가? 52 무결암(intact rock)의 역학적 특성이 아래와 같을 때 무결암을 Deere & Miller 분류법으로 분류한 결과로 옳은 것은? 53 다음 파괴이론 중 중간 주응력을 고려한 것은? 54 암석의 마모경도를 측정하는 시험장비는? 55 다음 그림과 같은 형상의 완전 건조된 사면에 지진이 발생하여 0.05g의 지진 가속도(α)가 사면에 가해졌다. 암괴의 중량(W) 0.1MN, 불연속면의 점착력 0, 불연속면의 경사각 30°, 불연속면의 마찰각 30°인 경우 사면의 안전율은? (단, 지진에 의한 가속도는 등가의 정적인 힘 αW로 대체한다.) 56 암석의 파괴인성에 대한 설명으로 옳은 것은? 57 탄성계수가 5×104MPa인 암석시료가 압축하중을 받는 동안 변형률이 0.0025까지 증가하였다. 단위체적 내 축적된 탄성변형률 에너지는 얼마인가? 58 역학적 모형 중 Maxwell 물체의 경우 하중을 매우 빠르게 증가시킬 때 어떤 거동을 보이는가? 59 풍화작용에 대한 암석의 저항성을 측정하는 시험으로 옳은 것은? 60 현지암반의 응력을 측정하기 위한 방법 중 암반의 탄성정수를 필요로 하지 않는 방법으로만 나열된 것은?
73 함수폭약의 주성분을 옳게 나타낸 것은? 74 화약류 운반방법의 기술상의 기준으로 맞는 것은? 75 화약류관리보안책임자의 감독업무중 틀린 설명은? 76 화약류의 사용허가를 받은 사람이 허가없이 용도를 변경하여 화약류를 사용하였을 경우 벌칙은? 77 동일차량에 함께 실을 수 있는 화약류 중 “폭약”과 함께 실을 수 없는 것은? 78 다음의 화약류저장소 및 운반과 관련한 설명으로 옳은 것은? 79 다음 중 화약류의 취급방법으로 옳지 않은 것은? (단, 초유폭약은 제외) 80 허가 또는 면허를 받은 사람이 허가증 또는 면허증의 기재사항에 변경이 있어 기재사항변경을 신청하려 할 때 변경사유가 발생한 날로부터 몇 일 이내에 허가관청 또는 면허관청에 신고하여야 하는가? 81 터널 시공에서 발생하는 진행성 여굴의 원인이 아닌 것은? 82 다음 중 기계굴착공법에 해당되지 않는 것은? 83 지하수위가 지표면과 일치되며 내부마찰각이 30°, 포화단위중량이 19.62 kN/m3인 사질토(점착력=0)로 된 반 무한사면이 15°로 경사져 있다. 이 때 이 사면의 안전율은? (단, 물의 단위중랴은 9.81 kN/m3 이다.) 84 지하유류비축시설에서 지하공동의 원유로부터 증발된 휘발성 기체의 유출을 막기 위해 지하공동 주위의 압력을 지하공동 내의 압력보다 높게 유지하여야 하는데 이를 위해 설치해야 하는 것은?
85 다음 중 광역변성암에 해당하지 않는 것은? 86 터널의 안전하고 효율적인 시공을 위해 터널의 지보재와 병용하여 사용되는 보조공법 중 천단부의 안정을 위한 지반강화를 목적으로 적용하는 공법이 아닌 것은? 87 흙의 포화단위중량이 21 kN/m3인 포화점토층을 45° 경사로 8m를 굴착하였다. 흙의 전단강도 정수인 Cu = 60 kN/m2, ø= 0이다. 그림과 같은 파괴면에 대하여 사면의 안전율은? (단, ABCD의 면적은 70m2이고, O점에서 ABCD의 무게 중심까지의 수직거리는4.5m이다.) 88 흙이 고체 상태에서 반고체 상태로 변하는 순간의 경계 함수비는? 89 지표면 아래 6m 지점에 지하수면이 존재하는 지반에서 심도 10m 지점의 유효응력은? (단, 이 지반의 전체단위중량(γt)은 16kN/m3, 포화단위중량(γsat)은 19kN/m3, 물의 단위중량(γw) 은 9.81kN/m3이다.) 90 유압식 착암기(Hydraulic Rock drill)의 기능이 아닌 것은? 91 다음 중 지표지질조사와 관계가 없는 것은? 92 토질사면의 전단강도를 감소시키는 요인으로 틀린 것은? 93 암석의 공극률에 대한 설명으로 틀린 것은? 94 수평방향 응력 28kN/m2와 연직방향 응력 40kN/m2가 작용하는 암반 내에 반경 4m의 원형터널을 굴착하였다. 수평방향의 벽면으로부터 2m 되는 지점의 반경방향의 수직응력은? 95 터널 내에 용수가 있는 경우 적용할 수 있는 배수공법이 아닌 것은? 96 암반의 초기응력 측정법이 아닌 것은?
App Store Google Play
오늘학습 예시 이미지

시험에 합격하려면
복습을 제대로 해야 합니다.

오늘학습은 스스로 기억을 떠올리고 계획적으로 복습할 수 있도록 설계돼 있어요.
그것도, 가장 과학적인 방식으로요!

능동적 회상

능동적 회상
(Active Recall)

배운 내용을 단순 읽으며 반복하는 것이 아니라,
능동적으로 기억하고 있는지를
스스로 테스트하며
공부할 수 있는
학습 환경을 제공해 학습 효과를 높여요

간격 반복 학습

간격 반복 학습
(Spaced Repetition)

에빙하우스 망각곡선을 바탕으로
가장 최적의 시점에 복습을 제공하여
배운 내용이 잊히지 않도록 장기 기억화해요

Data 기반의
뇌과학적 복습 시스템

학습 결과 Data를 분석해, 문제별 최적화된
반복 학습량을
자동으로 분배해요.
학습에 소요되는 시간을 최소화하는
동시에
단기 기억을 장기 기억으로 전환해줘요.

36만 개 이상의
기출문제 무료 제공

공무원 및 약 300여종의 자격증 시험 기출문제
36만개
이상을 무료로 이용할 수 있어요.
여러 앱을 설치할 필요
없이, 오늘학습 하나로
모든 시험을 준비할 수 있어요.

다양한 문제 유형으로 만드는
나만의 단어장&문제집

기출 외에도 외워야 하는 내용은
객관식, 주관식, 카드, 빈칸
등 다양한 형식으로
직접 만들어 보세요. 내 학습 스타일에
맞게
나만의 단어장과 문제집을 만들 수 있어요.

시험별 체계적인
문제 관리

시험에 문제를 추가해 체계적으로
관리할 수 있어요.
주제나 단원별로
분류하고 싶다면,
시험에 챕터를 만들어
문제를 추가할 수도 있어요.

수십만 명이
오늘학습을 사랑합니다

앱 스토어 평점 4.9
구글 플레이 평점 4.8
누적 회원수 100,000+
지금 오늘학습을
시작해보세요
지금 시작하기
문제 선택